← Home ← Back to /r9k/

Thread 82311154

34 posts 6 images /r9k/
Anonymous No.82311154 [Report] >>82311252 >>82311286 >>82311326 >>82311388 >>82311440 >>82311669 >>82311795 >>82312179 >>82312195 >>82312207
Meeting a virgin woman in college?
I'm 24, starting college, engineering so probably not many women there but is there some way to find virgin women to marry?
East euro btw.
Anonymous No.82311252 [Report] >>82311289
>>82311154 (OP)
it will be pretty hard to find women IN engineering, so you should try finding in other courses. try extracurricular courses like langauge learning, economy, finance or whatever, I assume you don't want to look for women in bars, parties and other whore places
I am on my second semester of electrical engineering and there is like 1 women for 30 men... it's tough
south america btw
Anonymous No.82311286 [Report] >>82311298
>>82311154 (OP)
The art girls at your university will be either huge sluts or socially retarded virgins, go for them
Anonymous No.82311289 [Report]
>>82311252
I'm only doing 1 year of actually attending physically before I move over to remote for my job so I'm kinda pressed, plus I have regular classes and a part time job, so I maybe have time to join one club or something, I don't know how i'd pull it off.
How do I even approach women there? Just walk up to them after class? Seems like that might get me in trouble.
Anonymous No.82311298 [Report] >>82311330
>>82311286
This uni only has music no art art
Anonymous No.82311326 [Report] >>82311441
>>82311154 (OP)
I have never heard of a college aged female being a virgin ever, anywhere. Especially if she goes to a college she has taken dick. Either find a teenager or find some shut in that is very mentally ill frok abuse and most likely morbidly obese. Virgin adult women barely exist.
Anonymous No.82311330 [Report] >>82311441
>>82311298
>music
Take the artfags but make them also autistic. Either way as the other anon said you won't find women in stem and if there are some there will be a bunch if guys orbiting them. If there are activities organized by your uni or other students do those or you'll just meet other guys
Anonymous No.82311388 [Report] >>82311441
>>82311154 (OP)
If you are physically attractive you stand a chance if you go for a young girl (not sure how brainrotted east bloc euros are yet, do they call you a PDF for going for 18 year olds?). Otherwise, it's time to temper your expectations.
Anonymous No.82311440 [Report]
>>82311154 (OP)
I wish me from the future could have stepped back in time to tell me that it will all lead to dead ends and disappointment, and to just ignore women entirely on campus and focus on getting the degree done as efficiently as possible. You're in college for resumemaxxing. That's literally it. Refresh your email for news on the job applications and internship applications you send out every day.
>but is there some way to find virgin women to marry?
Get baptized and attend Mass. There should be women from campus attending, however 99% of them will already be in long-term steady relationships so there isn't really a point.

It was unthinkable in the past that university students would do anything except study. But now it's the opposite. Regardless of the ability or even desire to profit from higher education, students are in college now to just meet arbitrary HR demands.
Anonymous No.82311441 [Report] >>82311503 >>82311503
>>82311326
That's not even true though, my first gf was a virgin and she was 24, half the women in my trade school aged 19-24 were virgins too.
>>82311330
okay man
>>82311388
No definitely not for going after 18yo, you might get some looks if you're going for 17 or 16 but most people think it's normal.
14 is legal but you will definitely get the stink eye understandably so.
>Otherwise, it's time to temper your expectations.
temper them how? I'm just looking for another virgin, I don't expect her to be a supermodel or a millionaire or anything
Anonymous No.82311444 [Report] >>82311461
First step is to stop hating math. That energy is allegoric to ladies and they are immediately turned off by your lack of appreciation of formulas for infinite sums
Anonymous No.82311461 [Report]
>>82311444
I wish I didn't have math so much, especially since I'm doing engineering and all.
I don't even know highschool shit desu like arithmetic series and shit
Anonymous No.82311503 [Report] >>82311523
>>82311441
>>82311441
>I'm just looking for another virgin
At a women's prime sexual opportunity. Your odds are very, very low.
>I don't expect her to be a supermodel or a millionaire or anything
Neither does Chad when he decides to pump and dump yet another girl for the night.
Anonymous No.82311523 [Report] >>82311573 >>82311605
>>82311503
>At a women's prime sexual opportunity.
Huh?
I feel like most of you are kinda mindbroken on this but maybe the US is really just that different.
It's not uncommon to meet virgin women in their 20s, they don't necessarily advertise it but not everyone is sleeping around.
Anonymous No.82311573 [Report] >>82311612
>>82311523
aren't eastern european women kind of trashy?
Anonymous No.82311605 [Report] >>82311625
>>82311523
Someone needs to teach you about women and their virtue signaling.
Anonymous No.82311612 [Report]
>>82311573
No? Maybe farther east they are? I really only hear that about russian and even that's only a stereotype cause of russian mail order bride business.
Anonymous No.82311617 [Report] >>82311637
>24
>eastern europe
>just starting college
The only way you could capture a virgin is if you're incredibly manipulative, which based on the circumstances you definitely aren't.
Anonymous No.82311625 [Report]
>>82311605
Don't really care, I just want to find a virgin woman who likes me. It happened once before so I know I'm not hopeless or so ugly that I can't get a woman.
Anonymous No.82311637 [Report]
>>82311617
Why would you think so?
If nothing else then I guess I can just marry an african girl or something.
Anonymous No.82311669 [Report] >>82311691
>>82311154 (OP)
Hello anon. I wish you luck on your journey. If I had advice, I would give it to you but unfortunately I don't.
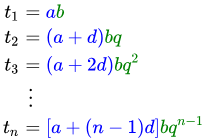
BTW, do there happen to be girls who look like picrel in Eastern Europe? Not asking for any particular reason.
Anonymous No.82311691 [Report] >>82311875
>>82311669
Honestly? I don't recall ever seeing someone who looks quite like this. Freckles aren't that common.
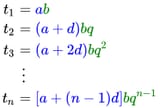
Anonymous No.82311776 [Report] >>82312221
>According to a 2025 report, approximately 40% of *my cuntree* young adults aged 20-24 have not had sexual intercourse
Wow we're doing pretty good over here according to Grok.
Anonymous No.82311795 [Report] >>82311859
>>82311154 (OP)
Do normies look at basic math like your pic and think it's magical ruins or something I always wondered.
Anonymous No.82311859 [Report]
>>82311795
Idk, I know it's simple and I can kinda understand at a glance but I also get overwhelmed with it for some reason, I think it's just because my teachers and parents made math and physics a living hell to study so I sort of have a mental block.
You're supposed to be able to calculate any number in the series is you have two of them by adding subtracting the number of numbers - 1 from the first number and diving it by the number of differences or something I think? I honestly don't know. I struggle with remembering the formulas and how to break them down.
Anonymous No.82311875 [Report] >>82311905 >>82311931
>>82311691
FUCK.
What about without the freckles? Just the general face shape. I could probably tattoo them on in her sleep or something.
Anonymous No.82311905 [Report] >>82312157
>>82311875
Still not the face of an eastern euro woman, at best some czech or austrian girl will look like that
Anonymous No.82311931 [Report] >>82312157
>>82311875
Idk she looks more nordic to me desu, especially the nose.
Women here usually have more pronouced cheekbones and different shaped faces, more roman typeish noses.
Anonymous No.82312157 [Report]
>>82311905
>>82311931
Okay. Girls in Weimarica look like this but I was looking for one to buy because foids hate be for being a gentleman. Oh well. I guess I'll have to kidnap one instead.
Anonymous No.82312179 [Report] >>82312580
>>82311154 (OP)
If you want any chance of having a relationship you need to drop the virgin preference. It won't be a happy relationship but it'll be a relationship
Anonymous No.82312195 [Report] >>82312580
>>82311154 (OP)
I'm 22 and also just started college but all the women on campus are whores. You won't find any.
Anonymous No.82312207 [Report] >>82312580
>>82311154 (OP)
Yeesh,
You need to find a woman in a small town who isn't a giga whore.
shocked you tards haven't figured this out yet.
Anonymous No.82312221 [Report] >>82312580
>>82311776
all of those incels are men lulz. The women are getting fucked by older men.
Anonymous No.82312580 [Report]
>>82312179
What's the point of having a relationship like that though?
Also it's definitely not as hard as you guys say, 40% of adults 20 to 24 are virgins in my cunt.
I've also already dated a girl who was a 24yo virgin, it didn't work out but this does tell me it's very much not impossible for me.
>>82312195
Maybe campus women are, I'll just look elsewhere if so.
>>82312207
How small we talking? Like a village?
>>82312221
Nah, guys definitely get around more here.