← Home ← Back to /sci/

Thread 16734712

34 posts 10 images /sci/
Anonymous No.16734712 [Report] >>16734716 >>16734881 >>16734906 >>16734926 >>16735017 >>16735098 >>16736692 >>16736697 >>16736705 >>16738059 >>16738968
Would extraterrestrial math be the same as ours?
Anonymous No.16734716 [Report]
>>16734712 (OP)
It's somehow hard to believe that they would conjure up the same axioms that we have commonly accepted, but all the constructions in math are very natural, and so they must surely arrive at pretty much the same places we do.
Anonymous No.16734743 [Report]
Obvious notational differences aside:
The core mathematics that you would learn for any profession other than "mathematician" would be nearly identical. Though some common formulas they use might be unfamiliar to us and vice-versa (see: "quadratic formula" vs. "pq formula") as a matter of convention.

"Pure math" stuff might get a little weird as their nerds would come up with different conjectures from our nerds but all the fundamentals would still basically be the same.
Anonymous No.16734746 [Report] >>16734911
they would use weird alien runes and unary numbers because they only have 1 finger and some super science people said that number base = fingers
also written top to bottom instead of left to right because aliens still use scrolls since books are hard to use with 1 finger
Anonymous No.16734881 [Report]
>>16734712 (OP)
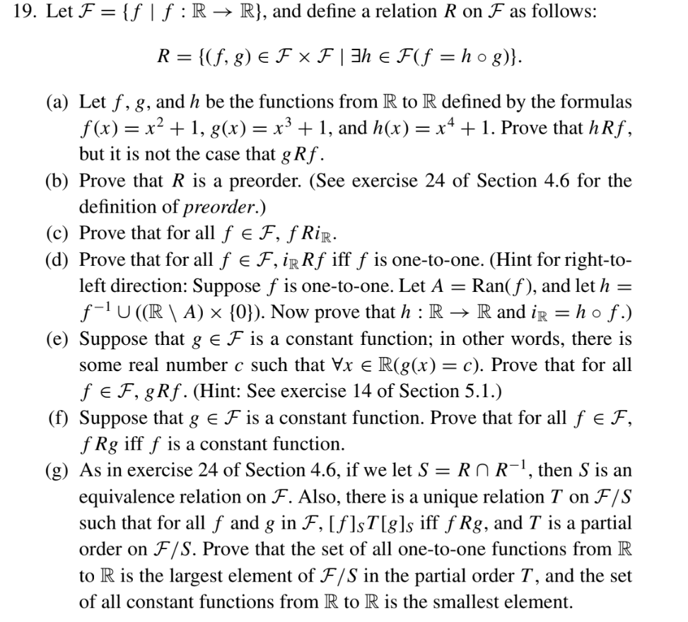
a. f,h are two-to-one (except at 0) but f is injective
b. if f=ag and g=bh then f=abh
c. f=f(id)
d. one direction takef^(-1) where defined, id everyehere else. other direction if f is not 1:1 then no hf is gonna be 1:1
e. g=gf
f. prev part one dorection, other direction is because if f is constant then hf is constant for all h
g. (d) inj forms a class (c) its the top one (f) const form a class (e) its the bottom one
Anonymous No.16734906 [Report]
>>16734712 (OP)
No, but it would explain the same phenomena, so we'd be able to translate back and forth.
Anonymous No.16734911 [Report] >>16734925
>>16734746
>number base = fingers
other choices exist
https://en.wikipedia.org/wiki/Conway%27s_base_13_function
https://en.wikipedia.org/wiki/Quater-imaginary_base
Anonymous No.16734925 [Report]
>>16734911
you can even count differently with the same fingers, for instance some cultures count with knucles so they can go to 12 on one hand, and I think the Babylonians were on base 60
Anonymous No.16734926 [Report] >>16735026
>>16734712 (OP)
Not at all. They would have none of this set theory infinity nonsense which consists of much of modern mathematics.
Anonymous No.16734960 [Report] >>16734976
The math used by accountants, tax collectors, banks etc would remain the same. Numbers were invented to keep track of money, multiplication for simple interest rates and tax brackets, exponentiation for composed interest rates.
Anonymous No.16734976 [Report] >>16735071
>>16734960
How do you know they'll have monetary systems?
Anonymous No.16735017 [Report] >>16738956
>>16734712 (OP)
This might blow your mind but using decimal numbers is already extra-terrestrial for White Europeans. There was even a resistance movement in the 15 and 16th century to forbid and stop the spread and usage of them.
Anonymous No.16735026 [Report] >>16735059 >>16735181
>>16734926

Tell me you are a fucking idiot without telling me you are a fucking idiot:
> Not at all. They would have none of this set theory infinity nonsense which consists of much of modern mathematics.
Anonymous No.16735059 [Report] >>16735065
>>16735026
Wow, what a fucking useless, pointless post. You just made a low iq insult and then copy pasted my post's contents. Try harder fucktard.
Anonymous No.16735065 [Report] >>16735087
>>16735059
Low iq insult is exactly what a low iq person needs. Explain to me how the fuck set theory and infinities are nonsense? They are the backbone of a lot of branches in math
Anonymous No.16735071 [Report]
>>16734976
Is literally just a counting system. Does it really matter if you are counting money for florbflops or blimflaps?
Anonymous No.16735073 [Report]
I guess they either going to be like us maybe extra dick or smth, or maybe 7"1 aliens I think they will have something in a completely different way beyond our understanding and our math would be the same for them, maybe they even talk from the anus we can't know
Anonymous No.16735087 [Report] >>16735166
>>16735065
>Explain to me how the fuck set theory and infinities are nonsense?
Nah, I'm not interested in talking to some clueless fucktard
Anonymous No.16735098 [Report]
>>16734712 (OP)
>Would extraterrestrial math be the same as ours?
Unless they are as stupid as we are, they will recognize that 0 is not a number and that the reals are just rationals.
I fully expect to take some flak for this post. I said it because it's true, not because it's popular.
Anonymous No.16735166 [Report]
>>16735087
I'm personally invested. I've always thought they were bs too. Why do you think so?
Anonymous No.16735181 [Report]
>>16735026
>Baaah! Baaaaaaah!
The herd is always right, isn't it Sheepie.
Anonymous No.16735210 [Report]
If you accept the purportedly (mental) property as an object of the mind then ostensibly the negative quality of properties as they pertain to their instantiations in variables or constants isn't merely their to circumvent some perceptual limitation that needs to be ascertained through deduction, but also some positive quality that subsists independently to, right?
Anonymous No.16736692 [Report]
>>16734712 (OP)
If the aliens got a way to solve Riemann's hypothesis, we would really like to know.
Anonymous No.16736697 [Report]
>>16734712 (OP)
No because math is invented not discovered. It's like asking if their cars would be the same.
Anonymous No.16736705 [Report] >>16738059
>>16734712 (OP)
Probably not. Math is just shorthand to explain measurements. They'd have their own symbology and language. If they use some kind of consistent symbology you should be able to figure it out easily enough and vice versa.
Anonymous No.16738059 [Report] >>16738159
>>16734712 (OP)
It depends on how big they are and how fast they move. It's natural from our perspective to want to count your stacks of gold coins, measure the weight of your wheat crop, and so on, as >>16736705
points out. However, if these aliens are regularly subjected to the effects of special relativity, and other non Newtonian physical phenomenon, I suspect their math would reflect that
Anonymous No.16738068 [Report]
yes it would be exactly the same
theyd even use the same numbers and call them the same thing that white men do
Anonymous No.16738159 [Report]
>>16738059
could be something analogous to Bra–ket notation
Anonymous No.16738956 [Report]
>>16735017
oh man my mind is literally blown by this
Anonymous No.16738959 [Report] >>16739036
No.
Anonymous No.16738968 [Report]
>>16734712 (OP)
No, while arabs and asians and europeans all do math a bit different, extraterrestrials will be exactly the same as the image you posted.
Anonymous No.16739036 [Report] >>16739038
>>16738959
I'm scared of the future
Anonymous No.16739038 [Report] >>16739040
>>16739036
It's fake. But it's a good example of how math is not universal and has to abide by artificial rules.
Anonymous No.16739040 [Report]
>>16739038
>artificial rules
>it is just ambiguity of notation
a square is a square no matter where in the universe you are.
the ratio between the diameter and perimeter of a circle is the same no matter where in the universe you are