← Home ← Back to /sci/

Thread 16779103

19 posts 30 images /sci/
Anonymous No.16779103 >>16779262 >>16779399 >>16779404 >>16779436
I wrote a paper on advanced waves.

https://drive.google.com/file/d/1MSYc_9BKC-LcRGWQ_iMvqLOi-el4lzxP/view?usp=drivesdk

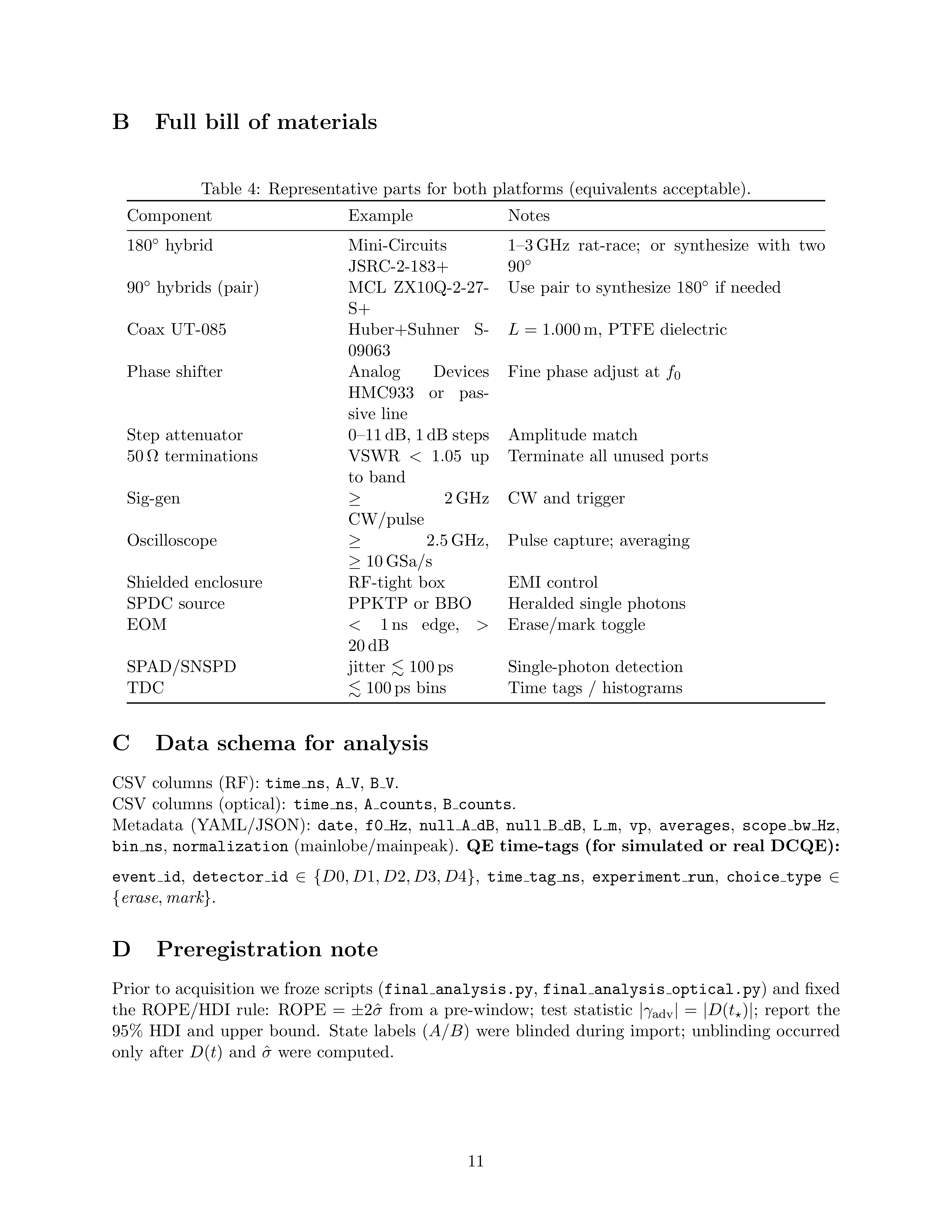
Would anyone be so kind as to review? I would like to point out also that the experiment is highly accessible β€” particularly the RF platform can be assembled for ~$500 worth of equipment, if starting from scratch.
Anonymous No.16779262
>>16779103 (OP)
No
Anonymous No.16779399
>>16779103 (OP)
Paste screenshots
Anonymous No.16779404
>>16779103 (OP)
Anonymous No.16779413
I don't like waves
Anonymous No.16779436
>>16779103 (OP)
Screenshot and include this with your paper. You're officially peer-reviewed by 4channelβ„’.
Anonymous No.16781283
Anonymous No.16781286
Anonymous No.16781287
Anonymous No.16781290
Anonymous No.16781293
Anonymous No.16781295
Anonymous No.16781298
Anonymous No.16781299
Anonymous No.16781301
Anonymous No.16781302
Anonymous No.16781303
Anonymous No.16781306
2msws
Anonymous No.16781307