← Home ← Back to /vg/

Thread 536231753

21 posts 8 images /vg/
Anonymous No.536231753 [Report] >>536236516
/bfg/ - Battlefield General
#32 - Schmovement Edition

Battlefield 6 Intel:
>Battlefield 6 Official Multiplayer Gameplay
https://www.youtube.com/watch?v=c_BRbvYxgOY&ab_channel=Battlefield
Gameplay Reveal Event
>Battlefield 6 Combat, Classes & Destruction
https://www.youtube.com/watch?v=dW00mXmP0bQ&ab_channel=Battlefield
>Battlefield 6 Maps, Modes & Portal
https://www.youtube.com/watch?v=92CHDiFW0wA&ab_channel=Battlefield

Battlefield News:
>"Road to Battlefield 6" Update hits 2042, bringing Iwo Jima map and final battlepass
https://www.gamereactor.eu/battlefield-2042-gets-massive-update-that-features-crossover-event-with-battlefield-6-1587353/
>BF6 Lead Producer confirms "large maps exist"
https://www.pcgamer.com/games/fps/battlefield-6-lead-producer-says-large-maps-exist-confirming-the-full-game-will-offer-bigger-battles-than-the-betas-cramped-chaotic-firefights/
>New Content Confirmed for Beta Weekend 2
https://www.gamesradar.com/games/battlefield/battlefield-6-is-getting-2-new-maps-and-modes-for-its-second-beta-weekend-like-the-fan-favorite-rush-mode-thats-set-to-dominate-my-weekend/

>Playing with /bfg/? Check the Squad List and add yourself
https://pastebin.com/hpEGpj7H (embed)

Last Thread: >>536109374
Anonymous No.536232297 [Report]
we're on 2042
Anonymous No.536232623 [Report]
geez spotting in 2042 feels pretty good. Why did they change it so much for 6.
Anonymous No.536235648 [Report]
it's over
Anonymous No.536236516 [Report] >>536237754
>>536231753 (OP)
these fags talk about 'movement' in the same way people talk about 'content' now
I must have been living under a rock but I don't recall this level of obsession over zoomzoom movement in any game before 2042
Anonymous No.536237754 [Report]
>>536236516
streamers need new content for their channels.
Anonymous No.536243478 [Report]
Thinking of them Friday night battlefield eats
Anonymous No.536246589 [Report]
/bfg/ is kill
Anonymous No.536250331 [Report]
if bf1 had friendly fire it'd be the perfect game
Anonymous No.536256735 [Report]
Don't feeling a big impact with the double xp weekend. The season pass progression is still painfully slow.
Anonymous No.536257132 [Report] >>536270363 >>536273942
no one plays this game anymore after the nerf,. just look at this general
Anonymous No.536260472 [Report] >>536262041
I've been on vacation for the duration of both betas. How was it?

Please summarize your thoughts for me.
Anonymous No.536262041 [Report]
>>536260472
2042 pretending to be bf4
Anonymous No.536270363 [Report]
>>536257132
nO OnE PlAYs BaTtLeFiElD AnYmORe! THiS GaME SuCkS!
Anonymous No.536271608 [Report] >>536272798
>>536229151
pretty sure "protein pancakes" have been a thing for a while
Anonymous No.536272798 [Report]
>>536271608
And protein bread exists too, there are flour mixes that have added protein. Normal flour does have protein in it too but only when fresh, the nutrients of flour diminish very quickly, before you can get your hands on it in a grocery store.
Adding stuff into the bread works too, seeds and nuts and even dried meat.
Anonymous No.536273942 [Report]
>>536257132
Which nerf? The Masterkey or the news about movement nerf? The movement nerf hasn't even happened yet, the game isn't out.
Besides didn't they say that the initial slide and jump will remain unchanged but chaining them together will slow you down? So it isn't really much of a nerf in the first place.
Anonymous No.536274275 [Report]
alright i think im gonna play battlefield 2042 and eat pizza and soda to relive my past.
whats a good strategy? I think I might just go engineer for the turret and lmg. How do i make this fun and effective?
Anonymous No.536274550 [Report]
Reminder to save the challenges for the end of the week instead of doing them immediately.

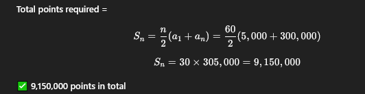
Each level of the battlepass adds 500 exp requirement to earn points (the dots) towards the level.

So doing challenges after grinding is the smartest thing, not doing them immediately. Also it takes 9,150,000 exp to complete the battlepass without challenges. Fuck dice.
Anonymous No.536274614 [Report]
real thread here if anyone is wondering
>>536219601
>>536219601
>>536219601
Anonymous No.536274809 [Report]
finally just got bf2042, last played it in beta, wasnt a fan but $3 and it has old maps so i said fuck it
but why does every populated portal server have bots?