← Home ← Back to /sci/

Thread 16767261

339 posts 84 images /sci/
Anonymous No.16767261 [Report] >>16767279 >>16767750 >>16767945 >>16770630 >>16777358
/mg/ mathematics general
[math]/\mathfrak{mg}/[/math]

The sea rises edition
Talk maths, formerly >>16745109
Anonymous No.16767277 [Report]
https://elements.ratherthanpaper.com/1.1

https://youtu.be/XLlThlqCFeg

desmos.com/geometry
Anonymous No.16767279 [Report] >>16767782 >>16767962 >>16768149 >>16769189
>>16767261 (OP)
i'm settling this once and for all: zero is a number because numbers are just abstractions to represent a value. "nothing" is still meaningful as both the negation and sum of all other values.
Anonymous No.16767749 [Report]
[math]/\mathfrak{f i l o s o f e m}/[/math]
Anonymous No.16767750 [Report] >>16769189
>>16767261 (OP)
I dislike The Rising Sea.
The concept of "you can also feel yourself into and intuit abstract math" should not be turned into the core foundation of your mathematical understanding.
Anonymous No.16767782 [Report]
>>16767279
People who argue for or against this have not get any real work done in their studies.
Some textbooks choose to exclude 0 from the natural numbers and that's for the sake of convenience.
Should I worry about this? Practically no.
If the n=0 case is trivial, I don't need to write that case in my homework
Anonymous No.16767791 [Report] >>16768118
>>16767413
You were brainwashed.
Anonymous No.16767794 [Report] >>16767814 >>16767825
>Philosophy of Mathematics and Deductive Structure in Euclid's Elements
https://libgen.li/ads.php?md5=1ed3fb67cac34480609d924f9dc37c7e

>Euclid and his Twentieth Century Rivals, Nathaniel Miller
https://www.unco.edu/nhs/mathematical-sciences/faculty/miller/pdf/euclid20thcenturyrivalsmiller.pdf

>A History of Greek Mathematics, Thomas Heath
https://archive.org/details/cu31924008704219

>An Introduction to the History of Science, George Sarton
https://archive.org/details/introductiontohi01sart

>Reviel Netz
https://en.wikipedia.org/wiki/Reviel_Netz#Selected_publications

>Proofs and Refutations:The Logic of Mathematical Discovery, Imre Lakatos
https://dl1.cuni.cz/pluginfile.php/730446/mod_resource/content/2/Imre%20Lakatos%3B%20Proofs%20and%20Refutations.pdf

>Mathematics and the Roots of Postmodern Thought, Vladimir Tasic
https://uberty.org/wp-content/uploads/2017/07/VladimirTasic-Mathematics-postmodern.pdf
Anonymous No.16767814 [Report] >>16767825
>>16767794
Are you nothing-replying the guy talking about Elements?

The key word is "history". Things have changed. I just discovered tropical geometry the other day.
Anonymous No.16767825 [Report] >>16767827 >>16767874 >>16769572 >>16771463
>>16767814
No, I am the guy talking about Elements, and I also posted >>16767794. Yeah things change, but not always (often not) for the reasons we're told. You are seriously deluded if you think public school isn't 100% brainwashing and dumbing down of the masses. I bet you think we stopped learning Latin because it just became outdated and English just evolved beyond it. Soon you'll be saying gender studies is more important than Greek.

https://en.wikipedia.org/wiki/Sputnik_crisis

https://en.wikipedia.org/wiki/New_Math
Anonymous No.16767827 [Report] >>16767836
>>16767825
Yeah I think you're right but I cannot imagine someone trying to do that in the form of Euclidian geometry.

I don't think big synthetic differential geometry started lobbying to make that happen. If you want to brainwash and dumb down the masses, I'd probably scrub instances of the Socratic method or deductive reasoning from textbooks.
Anonymous No.16767830 [Report]
This version of Elements has extensive commentary by the translator Thomas Heath. It's been enjoyable to read his commentary and ask chatgpt to elaborate on points along the way. It's also interesting to compare different versions of Elements, and different commentary, they're not all the same.

https://archive.org/details/euclid_heath_2nd_ed/1_euclid_heath_2nd_ed

https://en.wikipedia.org/wiki/Thomas_Heath_(classicist)
Anonymous No.16767836 [Report] >>16767854
>>16767827
>If you want to brainwash and dumb down the masses, I'd probably scrub instances of the Socratic method or deductive reasoning from textbooks.
which is exactly what they have done
Anonymous No.16767848 [Report]
There was a guy on /lit/ who had read Apollonius's Conics, and who talked about how proofs were discovered vs how they're presented, a shame he's not here. Anyway the books I linked should go into the discovery of proofs vs their presentation. This is something that interests me. He and I were discussing it but the discussion degenerated and the thread died, mostly because of him. Maybe someone here can elaborate on the subject, or on the example he posted here:

>>>/lit/24659019

Proofs and Refutations by Imre Lakatos seems like an interesting book, I will try to read it. Did anyone here read it?

https://www.goodreads.com/book/show/434707.Proofs_and_Refutations

https://en.wikipedia.org/wiki/Proofs_and_Refutations
Anonymous No.16767854 [Report]
>>16767836
>scrub instances of the Socratic method or deductive reasoning from textbooks.
>which is exactly what they have done
Formal logic classes still teach these things though
Anonymous No.16767859 [Report] >>16767881 >>16767960 >>16772077
>>16767144
Anonymous No.16767874 [Report]
>>16767825
Latin *is* a dead language. Its sole use really was as an elitist gatekeeping tool. You can argue that alone is the reason worth learning, to crack the elites of the past or whatever. But it is dead and outdated.
Anonymous No.16767875 [Report]
How come Adamek's recent monograph on initial algebras/terminal coalgebras still hasn't been uploaded to any shadow library?
The usual repos are generally quite good when it comes to hosting Cuckbridge University Press texts, but for some reason Adamek's handbook is still missing despite having been published over half a year ago. :(

Also please don't engage with /lit/ tourists that evidently lack the mathematical maturity to contribute to this general in a meaningful manner. This thread was genuinely much more enjoyable when the resident schizos discussed actual mathematics here rather than politics, philosophy or history.
Anonymous No.16767881 [Report] >>16767960 >>16768125
>>16767859
No Ahlfors :c

Granted Ive only seen the popular ones of which I felt Ahlfors seemed nice.
Anonymous No.16767945 [Report] >>16768362 >>16771912
>>16767261 (OP)
I am currently studying Elements and would like help with Proclus first vsriation of [IV.1] in the Heath addition.
Anonymous No.16767960 [Report] >>16768334
>>16767881
Ahlfors is the best. >>16767859 is just some junk nobody's ever heard of. Some other good ones are Kodaira and Dolbeault.
Anonymous No.16767962 [Report] >>16768127
>>16767279
It's the cardinality of the empty set.
We just need to find bijective mappings,
Between your set and that empty one,
We're using for reference.

Bijective mappings to the empty set.
Find them all and put them in a class.
Call it Zero, be an Hero, just like Nero.
And keep fiddling while Cantor burns your ass.

[Everyone Sing Now]
Call it Zero, be an Hero, just like Nero.
And keep fiddling while Cantor burns your ass.
Anonymous No.16768118 [Report] >>16768208 >>16768410
>>16767791
Do you have an actual argument for why synthetic geometry is more worth studying than analytic or algebraic geometry?

I know you keep shouting "brainwashed," but the truth of the matter is that I didn't have to do any geometry at all past high school. I purposefully chose to seek out computational and differential geometry electives and eventually textbooks to self study because I enjoyed the material. I've asked you why it's worthwhile to study Euclid's elements (in comparison to all of the other geometry works out there) and all you seem to come up with are non-sequitor insults. Do you even know why you're studying for yourself?
Anonymous No.16768125 [Report] >>16768326
>>16767881
Conway is what we used when I took complex analysis a few years ago. They apparently use Ahlfors now, and I've wondered if it's worth spending the $50 to get a used copy of it to see if there's anything interesting that wasn't covered in Conway.
Anonymous No.16768127 [Report]
>>16767962
Pynchon? Is that you? After all these years?
Anonymous No.16768149 [Report] >>16768207 >>16771434
>>16767279
It's the additive identity but not the multiplicative one.
For the real numbers.
Except when it's the divisor where it just does not work at all. This applies to all Cayley Dickson constructions until the sedonions for some reason.
Anonymous No.16768207 [Report] >>16768369
>>16768149
>Except when it's the divisor where it just does not work at all. This applies to all Cayley Dickson constructions until the sedonions for some reason.
That's not what a zero divisor is.
It's not zero as a divisor, it's a (nontrivial) divisor of zero. The issue has nothing to do with zero as a divisor and everything to do with zero as a dividend, because you can multiply two nonzero sedenions together and get zero as a result
Anonymous No.16768208 [Report]
>>16768118
The anon you're replying to never finished high school
Anonymous No.16768218 [Report] >>16768238 >>16768332 >>16769022
About to be unemployed at 32.
Living with my parents.
Used to love reading about higher math.
Even went to special lectures for high school students to get access to college-tier lectures, just for fun.
Just samplers of stuff about high-tier maths.
I took physics at community college that had calculus as prerequisite, and then stats class that didn't require calculus so it was kinda gay.
I missed the deadline to sign up for classes for this semester.
I'm too burnt out to find another job.
I'm thinking of just studying math as hard as I can.
It is the closest thing to a higher calling in life.
Is there any hope for career advancement here?
What books / textbooks are recommended?
Is there a way to "bypass" college classes and get effectively the equivalent of a bachelor's degree as an autodidact?
I ask because it's easy for me to teach myself something, but I want to do it right, since this stuff is hard to understand.
I have nothing to suggest my affinity or talent for math other than a 740 on the Math portion of the SAT when I took it 15 years ago.
Anonymous No.16768238 [Report] >>16768312
>>16768218
> Is there a way to "bypass" college classes and get effectively the equivalent of a bachelor's degree as an autodidact?

The answer is that yes, it's entirely possible, but it's also pretty unlikely. If you, as an example, buy a used copy of Stewart's Calculus and make a habit out of doing as many problems as you can, you will quickly find yourself with a stronger education in calculus than the typical 1st year calculus student at a typical university.

The challenge will be keeping yourself motivated and staying on top of regularly pushing your understanding when there is no outside structural pressure to do so. It is absolutely possible, but most people find they need something like a university curriculum strictly to keep them motivated and hold themselves accountable to regularly challenging themselves to expand their understanding.

There is no bypassing the hard work part of learning. You can do the hard work part without being enrolled in a formal class. The question really is, will you?
Anonymous No.16768309 [Report]
because I asked this in the /sqt/ and they told me to come here:
I am looking for mathematicians, specifically those specializing in topology, quaternions and geometry, who are also interested in fantasy stories.
I'm a technical writer for service manuals at a company that makes electromagnetic measuring instruments but I am a fiction writer as a hobby. I had an idea for a fantasy story set in a world that's the 3dimensional contact surface between two 4dimensional spaces, diametrically opposed. The magic would be based abusing the effects of warping 3D space into the 4th dimension and the attributes of those 2 4D realms respectively.
To this end, I am looking for people I can run my ideas by to see if they make sense and if there are any freaky effects I overlooked.
How can I find them? I tried contacting the faculty and student body of my alma mater but after they said there might be people interested and me describing my questions to them, they never replied.
Anonymous No.16768312 [Report] >>16768353
>>16768238
>The question really is, will you?
I have nothing else going for me at this point.
I genuinely have not much else reason to live without at least trying one of the things that mattered to me in life.
Anonymous No.16768326 [Report] >>16768356
>>16768125
I peaked at Conway and I feel like I'd hate it. I'd probably prefer Stein and Shakarchi or even Whittaker and Watson just for some concrete analysis.
Anonymous No.16768332 [Report] >>16768360
>>16768218
You can, but I always like to imagine that the point of university essentially being contact with expertise and people that really know the core of the topic. Books can be quite dense and lectures help cut through that.

I'd be particular about finding books that are 'readable' and good for self study, takes notes. Also do it at a steady pace, don't try and 'rush' through it. Don't get so caught up on solving everything when reading, an anon below mentioned the 'structural pressure' to make you move on.

I feel book or textbook wise, go with what you vibe with. I'm not sure what class you are trying to study. If you want to learn some of the concepts though, real analysis, linear algebra, combinatorics, or geometry are all good starts depending on your preference and interests.
Anonymous No.16768334 [Report] >>16768350
>>16767960
I'm not sure I'd say Ahlfors is the best, I like the presentation but I feel some parts are a bit drawn out, others aren't. Not a lot of exercises. But I still feel it has overall the best balance of concepts and notation, and a consistent perspective shown.
Anonymous No.16768350 [Report] >>16772077
>>16768334
Walk through Combinatorics by Bona I'd recommend for combinatorics

Understanding Analysis by Abbot for real analysis

I'm actually not sure I have a beginner linear algebra book I'd personally rave on about, Linear Algebra Done Right is quite popular. I'll pick Finite Dimensional Vector Spaces by Halmos though as it is interesting at least. Friedberg is what we used but it's quite pedantic in notation.

Geometry I know much less on. Euclid's Elements can be fun and you can even look into ig recreational geometry. Maybe for a more presentation go with Hartshorne

I mean I'm not sure what level you are going for, you could go more serious and hardcore and masochistic at first, but I think these are all fair undergrad level texts that can work as self study.

Number theory and complex variables is also another topic you could look into.
Anonymous No.16768353 [Report] >>16768360
>>16768312
Well, I don't think that making self-studying math your sole motivation to live is a particularly great idea. However, if it keeps you doing something just so you're not completely mentally checked out during this bit of interegnum in your life, that's not a terrible idea.

Here would be my recommendation, start with something simple and comprehensive, like Stewart's Calculus. You can get a pretty recent edition of it for like $5 online used and it's not hard to find PDFs either.

What you're going to want to do is work on making it a daily habit (a few problems a day, 5 or so days a week) rather than diving so far into it head first that you get frustrated and quit.

If you can keep at it, 3-4 problems a day a few days a week for a few months, you'll be amazed at how much progress you've made.
Anonymous No.16768356 [Report]
>>16768326
It's definitely not for everyone, but it was used for decades as "the go to first year graduate complex analysis book" (at least in the schools I'm aware of). I really don't know if it matters that much, so long as you feel you're learning something and are finding you're able to do the problems I'm not sure it makes a huge difference what book you use.
Anonymous No.16768360 [Report] >>16768363 >>16768434
>>16768332
>real analysis, linear algebra, combinatorics, or geometry are all good starts depending on your preference and interests.
Of the first three which would you suggest the most for someone whose last math class was Stats and Calc I?

>>16768353
I agree. I won't go too hard on it as I have other projects I am working on. But I need to get at it and it will also help me know if my brain is too degraded by years of wagecucking soulless garbage and sleep depriving myself to actually be able to succeed at anything intellectual.

I essentially want to get a "math job" which I know is a ridiculous concept but it is about self-actualization. I have a friend who is an actuary but it took him a long time to actually get into it. Something I could take an exam for like that though, would be very appealing. I am hoping to make one last shot at higher education before my neuroplasticity entirely dissolves.
Anonymous No.16768362 [Report] >>16768864
>>16767945
Finally someone who is studying Elements. I haven't done that proposition yet. Are you reading Dover or Green Lion Press?
Anonymous No.16768363 [Report] >>16769449
>>16768360
Those are pretty typical prereqs so its hard to say what you said specialize in. Usually students do Calc 2 or Calc 3 after but I'm not sure how necessary that is.

If you think you like more 'recreational feeling things' like maybe kinds of questions you may see in math competitions, geometry and combinatorics.

If you are more theoretically minded and want to learn more general structures, linear algebra or real analysis. I'd probably recommend real analysis myself.
Anonymous No.16768369 [Report]
>>16768207
Okay so you can't.

Can you tell me anymore about how that works? The sedonions and onwards are shrouded in witchcraft and mystery.
Anonymous No.16768410 [Report] >>16768420 >>16768510 >>16769572
>>16768118
Where did I give a non sequitur? I'm comparing Elements to the mathematics that has been taught in high schools from the 1950s onward. Elements builds knowledge from the foundation up through deductive logic starting with basic concepts and observations, axioms. It teaches not only geometry but also logic, and a way of thinking, which is transferable to other areas of life. I don't know if it's better than the geometry in college but most likely considering they're changing "Socrates is a man" to "Socrates is a human" in the classic syllogism in college textbooks, but it's certainly better than anything taught in high school, all of which is hollowed out bullshit, and which all traces of logic have been deliberately removed from. Elements was taught for over two millenia. And then it was suddenly outdated and too old in the 1950s. Yeah right.

https://www.latimes.com/archives/la-xpm-2006-jan-30-oe-crease30-story.html

Also in my opinion it's a general pattern that old books are better than new books. It's better to read Summa Logicae by William of Ockham, Logic or the Right Use of Reason in the Inquiry After Truth by Isaac Watts, and Isagoge by Porphyry than anything published in the last century. My interest is in the Trivium and the Quadrivium, the seven liberal arts, Latin and Greek, a classical education, these things are what I promote, I don't care one bit for anything to do with modern education which needs to follow in the footsteps of the Library of Alexandria as far as I'm concerned. I study for truth, not credentials.

Why don't you try doing a few propositions of Elements and see for yourself what you think about it? For example the first three.

>proposition 1
https://elements.ratherthanpaper.com/1.1
https://youtu.be/XLlThlqCFeg

>proposition 2
https://elements.ratherthanpaper.com/1.2
https://youtu.be/UHZO2dviZfU

>proposition 3
https://elements.ratherthanpaper.com/1.3
https://youtu.be/_ZwcobIExto
Anonymous No.16768420 [Report] >>16768441
>>16768410
> Where did I give a non-sequitor.

Your nonstop vomiting about "brainwashing" in college is the very definition of a non-sequitor. This little doozy is also a fantastic example of a non-sequitor:

> I don't know if it's better than the geometry in college but most likely considering they're changing "Socrates is a man" to "Socrates is a human" in the classic syllogism in college textbooks.

If you're proclaiming the values of Euclid Elements based on its emphasis on "logic," I'd recommend you spend a few moments actually thinking about your own perspective regarding this topic. It is the definition of illogical. You are dismissing the way that the vast majority of people who literally study geometry for a living have approached the topic in the last 100 years from both complete ignorance of the actual material they are teaching, and an irrational prejudice based on your own inexperienced perception of what is taught at universities.

By the way, mathematical logic is literally one of the most active research disciplines within pure math research. The idea that it isn't taught anymore can only come from a complete lack of engagement with mathematics at any real level, even as a hobbyist.
Anonymous No.16768434 [Report] >>16769449
>>16768360
My vote would go towards either working to finish your calc background with integrals/multi-variable and ODEs. You'd be amazed how far you can get with multi-variable calc, some applied linear algebra at the level of Lay's textbook, and some basic calculus/linear algebra based probability and statistics.
Anonymous No.16768441 [Report] >>16768456 >>16768458 >>16768922 >>16769572 >>16769575
>>16768420
Also as I said earlier, we have had the Prussian education system since the 1800s, which is designed to teach the Trivium to the top 0.5% of the population while suppressing it for the bottom 99.5%. This includes college. You're not the top 0.5% just because you studied at college. Ever since the Prussian education system started they have been working on removing grammar, logic and rhetoric from the bottom 99.5% of the population. The fact Elements was removed from education in the 1950s is in itself an indication it's worth studying, just as everything else they have suppressed such as Latin and Greek. The elites get a classical education. Take it or leave it. I don't care one bit about you or what you study. I came here to discuss Elements. If you haven't read Elements then stfu, I'm not interested in talking to you. Go back to studying for your credentials so you can be a good corporate cocksucker, meanwhile I will keep studying for truth.
Anonymous No.16768456 [Report] >>16768467 >>16768472
>>16768441
You're the one that needs to shut the fuck up, you're the one that went to a new thread and reprompted the same conversation to get back into your regurgitated bullshit about Prussian education and Trivium where a wise anon said not to engage with. Truth is you want to steer towards these arguments in this direction to feel a level of control and superiority for this truth you supposedly know.

Actually mention something from the Elements, a result you found cool.
Anonymous No.16768458 [Report] >>16769675
>>16768441
NTA but how does doing pure math research coincide with being a "corporate cocksucker"? Grad student stipends and postdoc positions don't pay well. Corporations don't care about set theory or ordinal analysis. lol
Anonymous No.16768467 [Report] >>16768490 >>16768501 >>16769572 >>16769575
>>16768456
No, I'm not driven by ego. You are however taking personal offense at things I say because your ego is invested in the things I talk about. I don't claim to be in the know about anything. It's just my position that education today sucks and everything of value was suppressed and occulted. I posted links earlier where college graduates agree with this idea. I don't care if this notion is insulting to your pride. I actually came here because I found interesting the discussion I linked with a guy who had read Apollonius's Conics, about the discovery of proofs vs the presentation of proofs, and I thought maybe someone in this thread knew about that. I asked if someone had read Proofs and Refutations by Imre Lakatos but it seems no one has read that book or Conics or anything by Thomas Heath or anything of the kind. People here study what they are told to study. Obedient unthinking workers, just as the Prussian education system was intended to make them. School, including college, does not exist to teach you how to think or guide you toward truth, it's a credential factory, period.
Anonymous No.16768472 [Report] >>16768500
>>16768456
>Actually mention something from the Elements, a result you found cool.

The first three propositions were all cool. Watch the videos, they're a few minutes each. The following three propositions were less cool.
Anonymous No.16768490 [Report] >>16768493
>>16768467
You came here because you're a /pol/yp obsessed with the aesthetics of a classical education. Please go make an Elements thread in /pol/ instead of hijacking these threads for your conspiratorial rants on the education system.
Anonymous No.16768493 [Report]
>>16768490
Nope. Fuck off.
Anonymous No.16768500 [Report] >>16768510
>>16768472
From Book 1? Proposition 2 is quite cool, might be worth as an exercise to find my own construction. Intuitively would think to use parallel line postulate but nope.
Anonymous No.16768501 [Report]
>>16768467
Im not taking personal offense I mean the points made are too ridiculous to do so. More wanting to show not everyone is going to play along with your silly games.
Anonymous No.16768510 [Report]
>>16768500
Yes book 1, see >>16768410
Anonymous No.16768512 [Report] >>16768597
This analytic vs synthetic stuff is interesting.

>>>/lit/24656206
Anonymous No.16768597 [Report] >>16768612
>>16768512
Fuck off sloptard.
Anonymous No.16768612 [Report]
>>16768597
Butthurt baby
Anonymous No.16768619 [Report] >>16768635
It's pretty amazing how one obsessed retard can hijack and ruin a slow-moving general. This one turned out to be a promptfaggot as well. Seriously, please go larp as a 17th-century aristocrat in /pol/ or /lit/.
Anonymous No.16768635 [Report] >>16768913
>>16768619
Chatgtp doesn't have ego and emotions that it's unable to control like you and also is infinitely more helpful. See how much info it gave. Meanwhile you haven't shared a single word of wisdom. Nothing but butthurt.
Anonymous No.16768864 [Report] >>16768969 >>16768974 >>16768980 >>16768991 >>16768996 >>16769558
>>16768362
Dover.
Anonymous No.16768913 [Report]
>>16768635
Here's my word of wisdom. If you want to learn synthetic geometry, you should do it for reasons that are more interesting than finding a novel way to jerk off in front of a mirror.
Anonymous No.16768922 [Report] >>16769336 >>16769351
>>16768441
Where have I mented credentials in either of these two threads? None of the credentials I have required me to learn geometry. I literally told you the reply before this that I learned differential and computational geometry because I found them interesting and thought they provided practical insights into problems I care about.
Anonymous No.16768969 [Report]
>>16768864
Alright. If you had said Green Lion Press I would have told you to read Dover instead because it has the commentary which might be helpful. Then I don't know how to help other than:
>watch the one video I can find about it: https://youtu.be/ef34vXOzRXw
>ask chatgpt
>read David E Joyce's commentary here: http://aleph0.clarku.edu/~djoyce/java/elements/bookIX/propIX1.html
>read this by clicking the "next sentence/hightlight" button: https://elements.ratherthanpaper.com/4.1

What do you mean by "Proclus first variation"? This is the Dover book and I don't see anything about that in the text for IV.1. And what do you mean by "the Heath addition"? Did you mean to type "edition"? The text I'm looking at is the one in the link below.

https://archive.org/details/euclid_heath_2nd_ed/2_euclid_heath_2nd_ed/page/n85/mode/2up?view=theater

Actually I was just now googling to find out how many editions there are from Dover. Turns out they published a three-volume set with commentary and a single-volume set without commentary. Are you reading the edition without commentary? Compare your book to the archive.org link above, that's the one which has extensive commentary. In case you're reading the one without commentary try reading the commentary.
Anonymous No.16768972 [Report]
Alright. If you had said Green Lion Press I would have told you to read Dover instead because it has the commentary which might be helpful. Then I don't know how to help other than:
>watch the one video I can find about it: https://youtu.be/ef34vXOzRXw
>ask chatgpt
>read David E Joyce's commentary here: http://aleph0.clarku.edu/~djoyce/java/elements/bookIX/propIX1.html
>read this by clicking the "next sentence/highlight" button: https://elements.ratherthanpaper.com/4.1

What do you mean by "Proclus first variation"? This is the Dover book and I don't see anything about that in the text for IV.1. And what do you mean by "the Heath addition"? Did you mean to type "edition"? The text I'm looking at is the one in the link below.

https://archive.org/details/euclid_heath_2nd_ed/2_euclid_heath_2nd_ed/page/n85/mode/2up?view=theater

Actually I was just now googling to find out how many editions there are from Dover. Turns out they published a three-volume set with commentary and a single-volume set without commentary. Are you reading the edition without commentary? Compare your book to the archive.org link above, that's the one which has extensive commentary. In case you're reading the one without commentary try reading the commentary.
Anonymous No.16768974 [Report]
>>16768864
Alright. If you had said Green Lion Press I would have told you to read Dover instead because it has the commentary which might be helpful. Then I don't know how to help other than:
>watch the one video I can find about it: https://youtu.be/ef34vXOzRXw
>ask chatgpt
>read David E Joyce's commentary here: http://aleph0.clarku.edu/~djoyce/java/elements/bookIX/propIX1.html
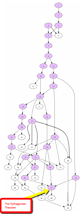
>read this by clicking the "next sentence/highlight" button: https://elements.ratherthanpaper.com/4.1

What do you mean by "Proclus first variation"? This is the Dover book and I don't see anything about that in the text for IV.1. And what do you mean by "the Heath addition"? Did you mean to type "edition"? The text I'm looking at is the one in the link below.

https://archive.org/details/euclid_heath_2nd_ed/2_euclid_heath_2nd_ed/page/n85/mode/2up?view=theater

Actually I was just now googling to find out how many editions there are from Dover. Turns out they published a three-volume set with commentary and a single-volume set without commentary. Are you reading the edition without commentary? Compare your book to the archive.org link above, that's the one which has extensive commentary. In case you're reading the one without commentary try reading the commentary.
Anonymous No.16768980 [Report] >>16770317
>>16768864
Alright. If you had said Green Lion Press I would have told you to read Dover instead because it has the commentary which might be helpful. Then I don't know how to help other than:
>watch the one video I can find about it: https://youtu.be/ef34vXOzRXw
>ask chatgpt
>read David E Joyce's commentary here: http://aleph0.clarku.edu/~djoyce/java/elements/bookIV/propIV1.html
>read this by clicking the "next sentence/highlight" button: https://elements.ratherthanpaper.com/4.1

What do you mean by "Proclus first variation"? This is the Dover book and I don't see anything about that in the text for IV.1. And what do you mean by "the Heath addition"? Did you mean to type "edition"? The text I'm looking at is the one in the link below.

https://archive.org/details/euclid_heath_2nd_ed/2_euclid_heath_2nd_ed/page/n85/mode/2up?view=theater

Actually I was just now googling to find out how many editions there are from Dover. Turns out they published a three-volume set with commentary and a single-volume set without commentary. Are you reading the edition without commentary? Compare your book to the archive.org link above, that's the one which has extensive commentary. In case you're reading the one without commentary try reading the commentary.

I wonder why that proposition doesn't say "Q.E.F." or "Q.E.D." at the end like all the other propositions.
Anonymous No.16768991 [Report]
>>16768864
Also another thing which might help. Get the chrome extension cheerpj if you're using the chrome browser, otherwise something else which will allow you to use java applets, there is a guide for this on David E Joyce's website which I linked. Anyway once you have that chrome extension or something equivalent you will be able to drag around the points in the figures. It's a cool function and it might aid understanding. I also like to draw the propositions on this site:

https://www.desmos.com/geometry

There is a similar function there whereby you can drag points around. So try drawing the figure according to instruction and then drag the points around. Anyway I don't know what exactly you are struggling with. And in any case you have read much further in the book than me so I'm probably not in a position to give advice, but I just wanted to post this stuff anyway, it might also help others, regardless of which proposition they're doing.
Anonymous No.16768996 [Report]
>>16768864
Also another thing which might help. Get the chrome extension cheerpj if you're using the chrome browser, otherwise something else which will allow you to use java applets, there is a guide for this on David E Joyce's website which I linked. Anyway once you have that chrome extension or something equivalent you will be able to drag around the points in the figures on that website. It's a cool function and it might aid understanding. I also like to draw the propositions on this site:

https://www.desmos.com/geometry

There is a similar function there whereby you can drag points around. So try drawing the figure according to instruction and then drag the points around. Anyway I don't know what exactly you are struggling with. And in any case you have read much further in the book than me so I'm probably not in a position to give advice, but I just wanted to post this stuff anyway, it might also help others, regardless of which proposition they're doing.
Anonymous No.16769002 [Report]
The war cry of /mg/ shall henceforth be
>Down with Euclid! Death to triangles!
Anonymous No.16769022 [Report]
>>16768218
>Is there a way to "bypass" college classes and get effectively the equivalent of a bachelor's degree
As a rapist, you can get an honorary PhD if you make a stereotypically racist show about the neighborhood chonker.
Anonymous No.16769110 [Report] >>16769166 >>16769323
If 4+4 = 3+5, why is 4x4 > 3x5?

I know it *is*, I'm asking why.
Anonymous No.16769166 [Report] >>16769177 >>16769323
>>16769110
follows directly from distributivity
rewrite [math]3=4-1[/math] and [math]5=4+1[/math]
then [math]3 \times 5 = (4-1)(4+1) = 4^2 + 4 - 4 - 1 = 4^2 - 1 < 4^2[/math]
Anonymous No.16769177 [Report] >>16769257
>>16769166
That's just saying "cuz 15<16". We need to go deeper. In fact, I'm seeing a pattern, n*n = (n-1 * n+1) +1.
5+5=10 and 4+6 =10,
5*5 =25 and 4*6 =24, one apart.
This holds at least up to 11. Wtf, why??
Anonymous No.16769181 [Report]
I am studying Stewart's Calculus and I'm about to finish it. I managed to remember some of my basics in derivatives, integration and Taylor Series (am an EE). Nonetheless I tried to solve a college exam found on the net and couldn't solve the things there (never said I'm a good EE).
What can I do anon? I'm dumb as a rock!
Anonymous No.16769189 [Report]
>>16767279
zero is a number depending on the axioms of the system you are using
>>16767750
could you please elaborate on that? This seems completely absurd, since mathematical thinking requires rigorous proof and having power to abstract scenarios to properties and relationships is the whole foundation of mathematical logic.
Anonymous No.16769257 [Report]
>>16769177
That's exactly the point, if you just replace 4 with n...
Anonymous No.16769323 [Report] >>16769362
>>16769110
>>16769166
Everytime you have two positive integers (a, b) in multiplication you aren't making “a large sum”, you are making a square in a vertical and horizontal plane. Sum is an one-dimensional operation, working on a line, while multiplication is a two-dimensional operation. Make a square out of four squares in the y-axis and four squares in the x-axis, you'll find that makes 16. Make a square out of three squares in the y-axis and five squares in the x-axis and you'll find that makes 15. This question is almost the basically principle behind completing the square.
Anonymous No.16769336 [Report] >>16769351 >>16769369 >>16769575
>>16768922
Elements is cool because
a) It's a different way of thinking. All other math has numbers in it. We think math we think numbers. Math and numbers are synonymous. Elements has no numbers. It's all straight edge and compass constructions. Of all the math you studied so far was there any of it which didn't have numbers in it?
b) The way it builds up knowledge from simple to complex starting from basic concepts deductively proving every step is transferable to other areas of life.
c) Many of the greatest mathematicians, philosophers etc for over two millennia read it and were influenced and inspired by it, Einstein, Newton, Hobbes etc.
Anonymous No.16769351 [Report]
>>16768922
>>16769336
I already posted this article but here is an archive link.
https://archive.today/7dKjp
Anonymous No.16769362 [Report]
>>16769323
>4+4=3+5 (a+a=b+c)
>a×a=a2; b×c=a2-1
Your problem requires perfect squares to work.
<this holds at least up to 11
>12+12=11+13 (12×12=144, 11×13=143)
Anonymous No.16769369 [Report] >>16769434
>>16769336
> Of all the math you studied so far was there any of it which didn't have numbers in it?

Yes, actually. In my undergrad in EE, I did an elective that was shared between the math and CS department on Boolean logic and Boolean algebra. This was very much a math course but had basically no "numbers" as you'd normally think of them. It was really all about binary encoding of information and how to design "logical circuits" to represent more complicated ideas via simple AND/OR/NOT etc. logical operations.
Anonymous No.16769423 [Report] >>16769654
Anonymous No.16769424 [Report]
Anonymous No.16769434 [Report] >>16769450
>>16769369
That's cool and interesting and I'll research it but technically 1 and 0 are numbers. Elements doesn't even have that.
Anonymous No.16769449 [Report]
>>16768363
>If you are more theoretically minded and want to learn more general structures, linear algebra or real analysis. I'd probably recommend real analysis myself.
That's probably what I will work on first then.

>>16768434
Okay I will work on re-learning calc1 just for review then move on through calc and the other stuff.
Anonymous No.16769450 [Report] >>16769456
>>16769434
That is just being pedantic. Also, books 7-10 of Euclid's elements are literally one of the earliest examples of number theory we have. There's plenty of numbers in the Elements. You just haven't gotten there yet.
Anonymous No.16769456 [Report] >>16769467 >>16769575
>>16769450
Alright but that's still 9 books with math without numbers which is something beyond what most people have encountered. What's your point? My point stands that Elements is a different way of thinking for people who haven't studied it. You said you hadn't studied it. At this point I'm just going to say that not reading Elements is straight up anti-intellectual. And to claim to be interested in math, logic or philosophy and yet refuse to even try reading it, laughable. It's the second most printed book after the Bible and arguably the most important book ever written in math and logic.
Anonymous No.16769467 [Report] >>16769476
>>16769456
I'll read the elements as soon as you stop schizoposting about it. :^)

> My point stands that Elements is a different way of thinking for people who haven't studied it. You said you hadn't studied it. At this point I'm just going to say that not reading Elements is straight up anti-intellectual.

Trust me, you've more than proven that any intellectualism you encounter is accidental. You still are quite convinced that the Euclid's elements are the only "elite" way to study logic and proofs when there is literally an entire discipline within mathematics specifically devoted to rigorous logical proofs.

Trust me, you get plenty of abstract number-free logic/proof writing experience in an abstract algebra course, or a higher level real analysis/point-set topology course.
Anonymous No.16769476 [Report] >>16769557 >>16769572
>>16769467
>You still are quite convinced that the Euclid's elements are the only "elite" way to study logic and proofs when there is literally an entire discipline within mathematics specifically devoted to rigorous logical proofs.
Didn't say that. I came here to discuss Elements with people who are studying it and don't give a shit if others don't want to read it.
Anonymous No.16769557 [Report] >>16769558
>>16769476
You came here to preach your retarded tradlarp and are clearly completely uninterested in mathematics and logic. Please just go discuss it with ChatGPT and spare us real humans from it. I know you won't since that won't placate your ego, but just fuck off elsewhere at the very least, OK?
Anonymous No.16769558 [Report]
>>16769557
Nah you fuck off crybaby bitch faggot. I'm waiting for this guy to reply. >>16768864
Anonymous No.16769572 [Report] >>16769577
>>16769476
Has your ChatGPT usage negatively impacted your memory? What exactly do you think you were saying here:

>>16767825
>>16768410
>>16768441
>>16768467

In the last thread there were at least 8 or 9 posts where you spouted the same nonsense about the "elite studying the Trivium while the masses are trained to be cattle."

Did you forget you wrote all of that bullshit repeatedly?
Anonymous No.16769575 [Report] >>16769628
>>16769336
> All other math has numbers in it.
No the majority of math doesn't have numbers in them. For example point set topology and henceforth algebraic topology, youre working with open sets and closed sets on what is almost always a set with an infinite amount of points. All you can do is use logic and reason through the open/closed sets rather than any work with numbers
>>16769456
> At this point I'm just going to say that not reading Elements is straight up anti-intellectual
It's the most important maybe in terms of history and developing other ideas but someone who is interested in math doesn't have to be interested in all of the history that leads up to it. For instance someone who is interested in chemistry doesn't have to be an expert in alchemy. And how much do you know about Pythagoreanism?
>>16768441
> If you haven't read Elements then stfu, I'm not interested in talking to you. Go back to studying for your credentials so you can be a good corporate cocksucker, meanwhile I will keep studying for truth
I don't know what your idea of college math is but have you heard of pure math? That subject is quite literally one of the furthest thing away from being a "corporate cocksucker". It is quite literally the "studying for truth" you're talking about. People who study pure math study math for the sake of it without expecting any immoderate applications
>>16768467
>No, I'm not driven by ego. You are however taking personal offense at things I say because your ego is invested in the things I talk about. I don't claim to be in the know about anything. It's just my position that education today sucks and everything of value was suppressed and occulted
"I'm not a narcissistic asshole who thinks that I'm smarter than everyone, I'm just an asshole who thinks everyone else is stupider than me"
Anonymous No.16769577 [Report]
>>16769572
>muh bullshit
Read Elements faggot or stfu. I don't know how many times I linked the first proposition, which takes a few minutes to do, anyone who doesn't bother doing proposition one I'm not interested in talking to.
Anonymous No.16769628 [Report] >>16769630 >>16769631
>>16769575
>he doesn't think I'm part of the the top 0.5% of society even though I have muh collesh edyocayshioon, what an ASSHOLE
you're such a pussy faggot it's unbelievable
Anonymous No.16769630 [Report] >>16769634
>>16769628
You're projecting. The only person with pretensions of being elite here is you.
Anonymous No.16769631 [Report] >>16769636 >>16769642
>>16769628
How far along in math and in particular The Elements actually are you?
Anonymous No.16769634 [Report] >>16769641 >>16769675
>>16769630
No I don't think I'm elite. You are a thin skinned faggot and an asshole. Kys homo
Anonymous No.16769636 [Report] >>16769640
>>16769631
None of your fucking business pajeet fuck off
Anonymous No.16769640 [Report] >>16769661
>>16769636
If you spent less time bickering on the internet especially on brainwaste /pol/, you might be able to get farther.

Also it becomes my business when you make a big deal about knowing higher truth in math.
Anonymous No.16769641 [Report]
>>16769634
This is the most thin skinned thing ive see.
Anonymous No.16769642 [Report]
>>16769631
From reading his posts, he's done like three propositions in three weeks or so.
Anonymous No.16769654 [Report] >>16769668 >>16769688
>>16769423
Including Russel is funny considering his famous article against Euclid's Elements.
https://users.drew.edu/~jlenz/br-euclid-article.html
Anonymous No.16769661 [Report]
>>16769640
Then study English before you study math Sukhdeep. I didn't say I know truth, I said I study for truth.
Anonymous No.16769668 [Report] >>16769692
>>16769654
Schopenhauer thought he was smarter than Euclid and it turned out this elegant intuitive proof he promoted wasn't a proof at all after all.
Anonymous No.16769675 [Report]
>>16769634
Could you please answer
>>16768458
Anonymous No.16769688 [Report]
>>16769654
Nice read through all this garbage of the last couple of days, thanks anon
.
Anonymous No.16769692 [Report] >>16769725
>>16769668
Do you think some philosopher's error is proof of Euclid's irrefutability or what? Just so you know, many of Euclid's proofs are known to involve missing assumptions.
Anonymous No.16769707 [Report]
Total faggots itt
Anonymous No.16769725 [Report]
>>16769692
No, faggot, he posted someone who criticized Euclid as if that matters, I showed the well-known figure Schopenhauer also criticized something Euclid said, doesn't mean jack shit, in fact it's totally normal to criticize and try to disprove materials.
Anonymous No.16769936 [Report] >>16769945 >>16769960 >>16770177 >>16770283
Hey, so, what's up, it's ya boy, listen, real talk:

Let's just say that, hypothetically, not me of course, but someone discovered a way to derive all known and unknown mathematical structure via a single axiom applied to a single symbol.

How famous are we talking here? Would this person be able to remain anonymous?

This hypothetical person who I am not is definitely not excited to be Einstein+Hawking+Turing level famous in a single lifetime.

555-come-on-now.
Anonymous No.16769945 [Report] >>16769948
>>16769936
Not much because binary can do that and you can just use a symbol and blanks of certain spacing for that.
Anonymous No.16769948 [Report] >>16770158
>>16769945
You misunderstood the question.

You get 1 rule to apply repeatedly and a single symbol.

This generates all of known mathematics. You possess that rule and symbol?
Anonymous No.16769960 [Report] >>16770130 >>16770132
>>16769936
you- I mean he- would become very famous in the psych ward he's getting sent to on account of thinking anything coherent has come from proving even just every known structure at once when many of them would be contradictory if taken together
Anonymous No.16770120 [Report] >>16770123 >>16770300
this is going to be random as fuck but does anyone have a collection of 4chan posts that were set up like traditional jokes but then the punchline would be "the mathematician fucked himself in his ass and ate his own shit" or something similar
Anonymous No.16770123 [Report] >>16770289
>>16770120
on second thought it might have been about engineers
Anonymous No.16770130 [Report] >>16770132
>>16769960
That famous, huh?

Man, no wonder it took humanity until I showed up. Ya'll just respond with "my professor said no" to every creative thought experiment.

What a sad existence.

Thanks for your time, lover.
Anonymous No.16770132 [Report]
>>16770130
>>16769960
That autocorrected to lover, was meant to say loser.

But since I've existentially fucked you, we can let it slide as rhetorically accurate.
Anonymous No.16770158 [Report]
>>16769948
Sounds like schizo-babble.
Anonymous No.16770177 [Report] >>16770179 >>16770400 >>16771897
>>16769936
>a way to derive all known and unknown mathematical structure via a single axiom applied to a single symbol.
I don't know very much about mathematical proofs and logic but I think this is impossible by definition. A mathematical proof is a deductive argument. An argument needs at least two propositions as premises, and has one proposition as conclusion. As far as I understand this translates directly to mathematical proofs; axioms are premises; theorems are the conclusions of the arguments/proofs, the things being proven/concluded/deduced. You can't deduce anything from a single proposition. You can illustrate this. Argumentation or proof-giving is a tree structure, where you build complex structures, theorems; from simpler structures, previously proven theorems and axioms; this is synthesis, putting together smaller parts into something larger and more complex; the opposite of synthesis is analysis, taking something large and complex and breaking it up into its smaller constituent parts; the former is argumentation and proof-giving, the latter is the Socratic method: asking "why?" to prompt the premises for a proposition, then taking one of those premises, which also is a proposition, and again asking "why?" to prompt the premises for that proposition, and so on and so forth until you have gone so far back that you're at an axiom, a first principle, from which nothing further can be analyzed.

An image of a tree structure for illustration will be in the post replying to this post.

This is exactly why people ought to read Elements.

https://en.wikipedia.org/wiki/Mathematical_proof

picrel is from this book: https://archive.org/details/logicorrightuseo00watt

But you can read a more modern textbook in logic too, there are many available for free online, this is just one example.

https://moodle.scnu.edu.cn/pluginfile.php/820759/mod_resource/content/1/Harry%20J.%20Gensler_2017_Introduction%20to%20Logic%20%283rd%20ed.%29-Routledge-reader.pdf
Anonymous No.16770179 [Report]
>>16770177
Anonymous No.16770242 [Report] >>16770290 >>16770400
Blows my mind how Elements held true for like about 2200 years before some dude drew a line on a pringle and then realized that the shortest distance between two points depends on what it's being drawn on.

It sounds obvious when you say it out loud. And it is. It's just divergent thinking.

This is why I think I'm smarter than all of you. You ask /sci/ / Captain Aspberger why a torus has two holes and he says that the trivial fibre bundle supports non-abelian cohomology up to isomorphism. I ask what a hole is and whether a hole needs to be a "thing" like there's an integer number of them. My divergent neuro pathways will deconstruct everything that you know and you will be left dumbfounded as your 2300 year old textbook dissolves and blows off into the wind.
Anonymous No.16770283 [Report] >>16770400
>>16769936
>but someone discovered a way to derive all known and unknown mathematical structure via a single axiom applied to a single symbol.
you know that as trivial & useless as it seems, that 0=1 is also a structure?
Anonymous No.16770289 [Report]
>>16770123
yes, it was about engineers, no, i don't have it
Anonymous No.16770290 [Report]
>>16770242
well well well, ain't someone have a crankerous ego...
Anonymous No.16770300 [Report] >>16770319 >>16770574 >>16771447
>>16770120
this?
Anonymous No.16770317 [Report] >>16770840 >>16771292 >>16771346
>>16768980
Yeah I'm reading the one in your link. I'm referring to the commentary which describes the problem of drawing a line within a circle such that it is both equal and parallel to a given line.
There should be a Q.E.F
P.S. I apologize for my late reply.
Anonymous No.16770319 [Report]
>>16770300
not that anon but fucking kek
Anonymous No.16770400 [Report] >>16770598
>>16770283
>>16770177
Yes.

Yes I do know that, my friends. Look, just assume, hypothetically, that I actually did it. Because I did.

Is it even feasible to avoid becoming the most famous mathematician ever?

>>16770242
A fellow gigachad hyper-autist, I see.
Anonymous No.16770404 [Report] >>16770406 >>16770907
What are some different ways to define equality (in higher-order logics)?
Anonymous No.16770406 [Report]
>>16770404
Well, there's the right way and all the others.

Best of luck.
Anonymous No.16770574 [Report]
>>16770300
yes lol thanks
Anonymous No.16770598 [Report]
>>16770400
>Yes I do know that
Clearly not
Anonymous No.16770606 [Report] >>16770607 >>16770629 >>16771897 >>16774022
Thoughts on these books?

>Arithmetic for the Practical Man
https://archive.org/details/in.ernet.dli.2015.463129

>Algebra for the Practical Man
https://archive.org/details/j.e.thompsonalgebraforthepracticalman

>Trigonometry for the Practical Man
https://archive.org/details/trigonometry-for-the-practical-man

>Calculus for the Practical Man
https://archive.org/details/in.ernet.dli.2015.462654

https://www.youtube.com/shorts/cWyfBehpif4
Anonymous No.16770607 [Report] >>16770629
>>16770606
Anonymous No.16770629 [Report] >>16770634 >>16771385
>>16770606
>>16770607
Just read Lang
Anonymous No.16770630 [Report] >>16770779 >>16771385
>>16767261 (OP)
Anons what is the best way to slowly teach myself math. My highest math level I've studied in school is trig and I'm in college now but my degree is in premed so I don't have a ton of calculas courses, but just to understand the world better I'd like to learn math up to calculus at least on a surface level, what's the best way to go about it?
Anonymous No.16770634 [Report] >>16770646
>>16770629
Which book?
Anonymous No.16770646 [Report]
>>16770634
Basic Mathematics, then A First Course in Calculus and Linear Algebra
Anonymous No.16770779 [Report]
>>16770630
Choose a textbook that covers the material you want to study, preferably in a way that suits you but this is optional. Read the text and do exercises until you understand the material. Don't delude yourself into thinking that just reading is the same as understanding. Simple as.
The "best way" depends on a lot of things and you will have to find out yourself. If you goal is just to learn calculus in 2 months than this "non-optimal" route should be more than fine.
Anonymous No.16770840 [Report] >>16771292
>>16770317
That's above my level but it says Pappus, not Proclus. It seems to be talking about proposition 75, page 52 of Pappus's Collection of Mathematical Problems, book III, which was page 132 in Thomas Heath's copy of that book.

https://crossworks.holycross.edu/cgi/viewcontent.cgi?article=1062&context=hc_books

I'm guessing he's being so brief because all that stuff is stuff you already know when you're at that point in the book, like how to draw a straight-line parallel to a given straight-line, through a given point, which is I.31

https://elements.ratherthanpaper.com/1.31

I find it relatively uninteresting since the commentary is about something beyond the actual proposition, strangely enough. Anyway the proposition itself was fun and I was surprised that I could do it given that I'm on book 1, I think I understood it pretty well, the only part I didn't understand was

>Then, if BC is equal to D, that which was enjoined will have been done ; for BC has been fitted into the circle ABC equal to the straight line D.

I guess it being equal is a given, then I understand it.
Anonymous No.16770907 [Report]
>>16770404
[math]a=b\Leftrightarrow\forall P(Pa\leftrightarrow Pb)\Leftrightarrow\forall P(Pa\to Pb)\Leftrightarrow\forall R((\forall x Rxx)\to Rab)[/math]
Anonymous No.16771292 [Report] >>16771346 >>16771346 >>16771897
>>16770317
>>16770840
Regarding splitting the line in half I don't know how you would do it but picrel would be one way, don't know if that's in a proposition but probably. I used desmos.com/geometry for drawing it. Then you could use proposition I.2 to transfer it to the diameter of the circle, once on the left of the center E∆ and once on the right of the center ∆H. Then use proposition I.11 to draw perpendicular lines from points E and H out to the circumference of the circle B and Z. The letters I'm using are from figure 30, page 52 of the book I linked in my previous post. I didn't do this myself because while I can do proposition IV.1, which only requires that you know proposition I.3, I.31 requires knowledge of I.23 and I.27, and those in turn require knowledge of other preceding propositions, and so on and so forth. This is what I was expecting to see when looking at IV.1 and that's why I was surprised that it only required I.3 which is why I could do it. However it's interesting to observe that you can see, as I have done in explaining this method to you, a path to take, even if you yourself don't have knowledge of every step in it, it can be a pretty cumbersome thing to use Elements as an encyclopedia though as proven by this post with all the preceding propositions required, with in turn their preceding propositions required, with in turn their preceding propositions required and so on and so forth. I haven't even laid out the entire structure for all the propositions involved in the method I discussed, maybe there aren't even that many, and it clearly varies from case to case how many propositions are in such a structure, as evidenced by the two I showed here, on the one hand the structure for the method I presented (Pappus's drawing) and on the other hand IV.1 which only required I.3.
Anonymous No.16771346 [Report] >>16771897 >>16771901
>>16770317
>>16771292
>The letters I'm using are from figure 30, page 52 of the book I linked in my previous post.

Meaning this book:

https://crossworks.holycross.edu/cgi/viewcontent.cgi?article=1062&context=hc_books

Picrel is the relevant part taken from that book.

Also, reading Elements Heath Dover I can see that in proposition IV.1 the text for the proposition doesn't have any references whatsoever, while https://elements.ratherthanpaper.com/4.1 references I.3, http://aleph0.clarku.edu/~djoyce/java/elements/bookIV/propIV1.html references I.3 and IV.Def.7, https://farside.ph.utexas.edu/Books/Euclid/Elements.pdf references I.3 and III.1, and https://youtu.be/ef34vXOzRXw references I.2.

Therefore if you are only reading Elements Heath Dover and nothing else I recommend you supplement it with other sources, both for references which might not be in Dover and also for comparing text and commentary between different materials.

https://archive.org/details/euclid_heath_2nd_ed/2_euclid_heath_2nd_ed
https://elements.ratherthanpaper.com/
http://aleph0.clarku.edu/~djoyce/java/elements/elements.html
https://farside.ph.utexas.edu/Books/Euclid/Elements.pdf
https://www.c82.net/euclid/
https://archive.org/details/elementsofeuclid00eucl
https://www.youtube.com/c/SandyBultena/playlists
https://www.youtube.com/playlist?list=PL2V76rajvC1I2TrbPMRLcTqhdcbha4sDE (only book 1)
https://en.wikipedia.org/wiki/Euclid%27s_Elements#External_links
etc

>>16771292
>Then you could use proposition I.2 to transfer it to the diameter of the circle
I meant to say I.3. Maybe I said I.2 because Sandy Bultena references I.2 in her video on proposition IV.1, which I linked above. But I think she made a mistake. The other three links, ratherthanpaper.com, aleph0.clarku and farside.ph.utexas all reference I.3 and not I.2, and it makes sense when you think about it that it should be I.3. Anyway I think her videos are good despite this mistake.
Anonymous No.16771385 [Report]
>>16770630
Read the post directly before yours >>16770629
Anonymous No.16771402 [Report] >>16771435 >>16771467 >>16771468 >>16771485
Is it possible to prove constructively that a function with inhabited codomain that takes on the same value for every pair of elements in its domain is actually a constant function?
Anonymous No.16771434 [Report]
>>16768149
Damn this is kinda cool.
Anonymous No.16771435 [Report]
>>16771402
You could prove that it is constant almost everywhere. I don't know that there's much you can say about general functions that's more strict than "everywhere except possibly on a set of measure zero." The only other way is to have some sort of uniformity requirement, which then gets rid of the generalities.
Anonymous No.16771447 [Report]
>>16770300
The ONE TRUE FINITE FAITH is often accused of lacking humor. Especially by those under interrogation for heresy. But let's be perfectly clear. We thoroughly endorse these jokes.
Anonymous No.16771463 [Report] >>16771493
>>16767825
Everything you're saying is just cope for the fact that you're lazy and/or retarded, but you fell for some memes and think you're the smartest guy ever. Don't worry, mathematics isn't for everyone. Really it's a big pain in the ass. Just go enjoy some video games or something.
Anonymous No.16771467 [Report]
>>16771402
>takes on the same value for every pair of elements in its domain
What do you mean by this exactly? If we're talking about regular functions then your statement seems trivially true but maybe I don't get it.
Anonymous No.16771468 [Report] >>16771470
>>16771402
Let f be such a function, and fix x and y in its domain. Then f(x)=f(y). Since y was arbitrarily chosen, f maps every element of the domain to f(x), and hence, f is the constant map sending every element to f(x).
Anonymous No.16771470 [Report] >>16771475
>>16771468
How do you pick x?
Anonymous No.16771475 [Report] >>16771479
>>16771470
Assume the domain is nonempty. Then use pic related. "y" is guaranteed to exist and be an element of the set, assuming we're talking about ZFC here.

If it's empty then do what you must.
Anonymous No.16771479 [Report]
>>16771475
Just ZF - no choice is needed - I think anon wants to avoid the axiom of choice here.
Anonymous No.16771485 [Report] >>16771486 >>16771501
>>16771402
No, this implies excluded middle. The inclusion [math]\iota:\{0\mid \sigma\}\hookrightarrow\{0\mid\sigma\}\cup\{1\}[/math] is constant in the sense that [math]\iota(x)=\iota(x')[/math] for every [math]x,x'[/math] in its domain and its codomain is clearly inhabited. But if there was a [math]y[/math] in its codomain such that [math]\iota(x)=y[/math] for every [math]x[/math] in its domain then [math]\sigma\lor\neg\sigma[/math] must hold, for either [math]y\in\{0\mid\sigma\}[/math] in which case [math]\sigma[/math] holds and we're done, or [math]y=1[/math]. But in the [math]y=1[/math] case [math]\neg\sigma[/math] must hold, since if [math]\sigma[/math] was true we'd have [math]0\in\{0\mid\sigma\}[/math] and so [math]\iota(0)=y=1[/math], but [math]\iota(0)=0[/math] by definition of [math]\iota[/math], so [math]0=1[/math], contradiction.

The answer (though given without proof) was also just a quick google search away (pic rel taken from https://ncatlab.org/nlab/show/constant+function)...
But at least those are more interesting questions than whatever the Euclid schizo is talking about.
Anonymous No.16771486 [Report] >>16771489
>>16771485
Interesting. Constructive math confuses me greatly.
What does the notation [math] \{0\,|\,\sigma\} [/math] denote btw?
Anonymous No.16771489 [Report]
>>16771486
[math]\{x\mid x=0\land\sigma\}[/math], or [math]\{x\in\{0\}\mid \sigma[/math] if you will
Anonymous No.16771493 [Report] >>16771665
>>16771463
I'm sorry you married a public school teacher. Shit happens.
Anonymous No.16771501 [Report] >>16771515 >>16774331
>>16771485
how to write text like this?
Anonymous No.16771506 [Report] >>16771660 >>16772085
Honestly watching the mental masturbation you guys pull with your fairy tale mathematics is hilarious. The only mathematics that matter are those based on reality, which is both finite and discrete. Until you realize that you are just jerking off like monkeys.
Gg No.16771507 [Report]
Hmm
Anonymous No.16771508 [Report]
I really liked math in high school. It was my favorite subject. But that was many years ago. Then I did a course in math and science at high school level after high school but it was very rushed so it was totally different, in high school I studied the math books thoroughly, in that course I didn't have time for that. Anyway that was also many years ago. I'm thinking of reading some math book to see if I will get into that vibe again.
Anonymous No.16771515 [Report] >>16771591
>>16771501
tex button on the top left corner of response box gives instructions
Anonymous No.16771591 [Report]
>>16771515
Not on my computer. Maybe because I have 4chanx. On the phone there is no tex button.
Anonymous No.16771633 [Report] >>16771658
Give me some tips on how to prove that [math]\mathbb{Z}_p[/math] cannot be an ordered field
Anonymous No.16771658 [Report] >>16771661
>>16771633
If you're using Z_p to mean the set of all vectors n = (n_1, n_2, ... , n_p) where n_i is an integer for all i = 1,2,3,...,p then it can't be a field at all, regardless of ordering.

The integers alone aren't a field, so the Cartesian product of the integers p-times can't be a field either.
Anonymous No.16771660 [Report]
>>16771506
Sounds good buddy. Whatever you need to tell yourself.
Anonymous No.16771661 [Report] >>16771671
>>16771658
I mean [math]\mathbb{Z}/p\mathbb{Z}[/math] where p is prime
Anonymous No.16771665 [Report] >>16771787
>>16771493
NTA, but were you molested at a public school or something? I've never seen someone with such a profound and, quite frankly, schizophrenic hatred of public school teachers that they will imagine things like "I'm sorry that you married a public school teacher" to be a deep insult.
Anonymous No.16771667 [Report]
TIL that N is *after* M in the alphabet
Anonymous No.16771671 [Report] >>16771675
>>16771661
just start from 1 and keep adding 1 to it?

I think you'd want an ordered field to satisfy:

x+1 > x for all x in the field, but it's a finite field so it eventually goes back to 0
Anonymous No.16771675 [Report] >>16771882
>>16771671
I think I should prove from the axioms of an order relation
Anonymous No.16771787 [Report] >>16771854 >>16772258 >>16772266
>>16771665
You're a sheep. Brainwashed.

Public school is nothing other than brainwashing and dumbing down of the masses.

https://www.zhibit.org/diemythographer/die-mythographer-die/occasional-letter-number-one-2006

https://archive.4plebs.org/pol/thread/512205412/#512207515

I said it before, we have the Prussian education system, the only purpose of which is to suppress critical thinking.

https://youtu.be/xVrMKsYdZ-A
Anonymous No.16771854 [Report] >>16771877
>>16771787
> I said it before, we have the Prussian education system, the only purpose of which is to suppress critical thinking.

Yes, you've repeated variations on this idea about 30 times. You know that repeating something doesn't actually make it true in any meaningful capacity, right?

You can repeat it until you're blue in the face. If you don't actually express why you believe this in clear terms that aren't just schizo-babble, nobody will take you seriously.

This is especially the case if your beliefs involve a grand conspiracy that involves the super majority of public school teachers intentionally participating in some Machiavellian manipulation of the masses. Most of these school teachers don't even understand the subjects they teach beyond the bare minimum required of them, let alone have enough of a vision to intentionally manipulate students to be less competent for unspecified reasons.
Anonymous No.16771877 [Report] >>16771964
>>16771854
Public school teachers are useful idiots, pawns. That doesn't mean that they and their partners don't have their egos and emotions heavily invested into public school, and that they and their partners aren't themselves brainwashed, which was my point. I posted many links, images etc, not merely a repetition of a proposition. Read the links and images, or stfu.
Anonymous No.16771882 [Report]
>>16771675
You can definitely put a linear ordering on the set itself, the issue is the interplay with the field structure
Anonymous No.16771889 [Report] >>16771897 >>16771971 >>16771978
What kind of math related topics are frequently discussed here?
(When the thread isn't being derailed by /pol/ and /lit/ pseuds that is)
Anonymous No.16771893 [Report]
R.I.P. all logic in mathematics
https://en.wikipedia.org/wiki/Tombstone_(typography)
Anonymous No.16771897 [Report]
>>16771889
I have contributed way more to this thread than you have, brainlet.

>>16770177
>>16770606
>>16771292
>>16771346

You are a child, what drives you is ego and emotion, which is a consequence of your total lack of knowledge of logic.

>I will henceforth refuse to ever learn anything about or talk about Euclid, Proclus, Pappus or Apollonius, and say it's not mathematics, because someone on the internet hurt my feelings!
unironically kill yourself

Read the sticky. I'm actually the only one here who isn't discussing his homework, and hence the only one who isn't posting off-topic.
Anonymous No.16771901 [Report] >>16771912
>>16771346
Once you get far enough into the book you stop referencing things like [I.3] & [I.23]; basically any construction related proofs.
The reason I'm so interested in this variation is because Heath mentions it passingly, but nothing earlier in the text relates to it except maybe [III.17].
I believe that this proof has substantial bearing on the relation between tangent and circle and I dunno.
Anonymous No.16771912 [Report] >>16774001
>>16771901
You are very sparing with words in all your posts.

You said here that you needed help. >>16767945 What exactly did you need help with? And did my posts help or not?
Anonymous No.16771964 [Report] >>16771989
>>16771877
Do you know what's worse than a useful idiot? A useless idiot like yourself.

> I posted many links, images etc, not merely a repetition of a proposition.

Yes, of course. A collection of random quotes posted on a random blog from people of unestablished importance with no meaningful context is certainly proof of your very specific blend of schizophrenia. I love Carlin as much as anyone, but his stand up routines are not "proof" of your deranged ideas.
Anonymous No.16771971 [Report] >>16771996
>>16771889
Tbh, this thread is pretty consistently a shit show, but it's usually a shit show about something actually math related (e.g., the endless fights between category theory trannies and based geometers).
Anonymous No.16771978 [Report] >>16771991
>>16771889
Mostly calculus/linear algebra/analysis/point topology. Additionally, differential geometry is highly over-represented in the "advanced" anons.
Anonymous No.16771989 [Report] >>16772009
>>16771964
>A collection of random quotes posted on a random blog from people of unestablished importance with no meaningful context
You didn't look at a single thing I posted faggot. I posted this for example:

https://archive.4plebs.org/pol/thread/512205412/#512207515

And that's just some examples of the content on the topic on that site. Pick any and read/listen, for example this one where a guy who studied business management and worked in the world trade center woke up to the truth about public schooling.

https://redice.tv/red-ice-radio/learning-vs-schooling-and-prophecy-vs-the-business-plan
Anonymous No.16771991 [Report] >>16772226
>>16771978
I'm guilty of posting a lot about diff geo in the last few threads (though I'm definitely not the only one). In my case, that's just mostly what I've been self-studying in the last few months. Eventually when I get around to Aluffi I'll start spamming about being too retarded to understand algebra (instead of being too retarded to understand geometry).
Anonymous No.16771996 [Report] >>16772009
>>16771971
>actually math related
>Euclid isn't math
retard
Anonymous No.16772009 [Report] >>16772032
>>16771996
>>16771989
You spend more time talking about your social theories and the "Prussian education system" than actually doing any math.

The schizos at red ice talking to the tragedy and hope guy isn't meaningful proof of anything. If anything, it's actually an indication that you're completely lost.

There is an interesting history of the "civilization construction" efforts that many elites attempted during the progressive era, but it's not anywhere near as relevant as people would like to believe.

If anything, these ideas are exactly the opposite of the truth if you speak to public school/university teachers. I would bet that basically every teacher you could find started out being hopeful about the idea of really reaching their students and giving them an education and helping them come to learn beyond filling boxes.

Unfortunately, the number of students who actually give enough of a shit for that effort to be rewarded is vanishingly rare until you get to the graduate level. By then, things become challenging enough that you really have to want to understand it to put up with the difficulty.
Anonymous No.16772032 [Report] >>16772093
>>16772009
>I would bet that basically every teacher you could find started out being hopeful about the idea of really reaching their students and giving them an education and helping them come to learn beyond filling boxes.
So? I didn't say anything to the contrary. All public school teachers think they are heroes.

>Unfortunately, the number of students who actually give enough of a shit for that effort to be rewarded is vanishingly rare until you get to the graduate level. By then, things become challenging enough that you really have to want to understand it to put up with the difficulty.
You and your ideas and opinions are a product of the public school system, through and through. Literally straight out of The Matrix:

>The Matrix is a system, Neo. That system is our enemy. But when you're inside, you look around, what do you see? Businessmen, teachers, lawyers, carpenters. The very minds of the people we are trying to save. But until we do, these people are still a part of that system and that makes them our enemy. You have to understand, most of these people are not ready to be unplugged. And many of them are so inured, so hopelessly dependent on the system, that they will fight to protect it.

Math is politics.
Anonymous No.16772074 [Report] >>16772085 >>16772099
The Universe is discrete and finite, and mathematics be based on that physical reality.
Anonymous No.16772077 [Report]
>>16767859
Surprisingly, the image misses all of my favorite complex analysis books: read those of Lang (in Springer), Kodaira (in Cambridge) and Barry Simon's Basic complex analysis. It doesn't get any better than the latter.
If you read spanish, then Carlos Ivorra Castillo's notes are also good, though I read the old ones and it seems he changed them significantly.

>>16768350
>Hartshorne
Good book. If you have a "rough skin" I strongly recommend you to check Hilbert's Foundations, the first chapters don't require anything. Also Dillon's Geometry though History is a more modern account of the subject without entering into actual differential topology.
Anonymous No.16772085 [Report] >>16772341
>>16771506
>>16772074
Arguably, there is nothing more real than the ring of integers, and questions regarding those fall into number theory. The subject has some of the wildest interactions between areas of math I've ever seen, I've seen uses of some of the most abstract of all concepts in here (Haar measures, profinite groups, Deligne-Mumford stacks, complex value distribution theory, etc.), which is just another instance of the aphorism that "sometimes, the shortest path for understanding (subject A) is (subject B)", usually applied to highlight the applications of complex analysis in the real case by Jacques Hadamard.
Anonymous No.16772093 [Report] >>16772101
>>16772032
> You and your ideas and opinions are a product of the public school system, through and through. Literally straight out of The Matrix:

You literally don't know a god damn thing about what I believe. I don't even like the way we currently do public schooling, but it's not because they are "brainwashing" their students.

Why is it always the whiny faggots that use comparisons to the Matrix that assume the most about others without any consideration that there's actually a lot of variability in what people around them believe?
Anonymous No.16772099 [Report]
>>16772074
Lmao.
Anonymous No.16772101 [Report] >>16772110
>>16772093
Faggot, you expressed a few opinions. The fact you spend thirteen thousand hours in school and don't learn shit, people never heard about what a premise or an axiom is, that tells you all you need to know about school.
Anonymous No.16772110 [Report] >>16772121
>>16772101
> The fact you spend thirteen thousand hours in school and don't learn shit, people never heard about what a premise or an axiom is, that tells you all you need to know about school.

That tells me you personally went to a shit school. That doesn't give any indication that school in general is shit.
Anonymous No.16772121 [Report] >>16772177
>>16772110
Didn't say a fucking thing about myself, faggot.
Anonymous No.16772177 [Report] >>16772187
>>16772121
You've said plenty. The fact that you even ended up in the schizo parts of the internet where you're shouting about the "Prussian education system" is a good enough indicator that your upbringing left some scars.
Anonymous No.16772187 [Report] >>16772190 >>16772194
>>16772177
Well, you clearly didn't learn any logic anywhere.

https://youtu.be/U3Jm8zF7bJ8?&t=2857
Anonymous No.16772190 [Report] >>16772199
>>16772187
nta but what's the highest level of math that you're able to understand?
Anonymous No.16772194 [Report] >>16772199
>>16772187
I'm not arguing against you, you autistic fuck. I'm insulting you.
Anonymous No.16772199 [Report] >>16772204 >>16772228
>>16772190
You asked before Sukhdeep, and I'm saying again it's none of your fucking business, go work on your diploma instead.

>>16772194
Well, I know logic so such things don't faze me, but keep trying, child.
Anonymous No.16772204 [Report]
>>16772199
I'm actually Slavic and I wasn't asking about credentials but is it safe to assume that you never completed highschool?
Anonymous No.16772226 [Report] >>16772230
>>16771991
For me at least, a first go at algebra was relatively easy after having done a course in differential geometry prior.
Anonymous No.16772228 [Report] >>16772234
>>16772199
A logical thinker wouldn't dismiss anyone who challenges them on any of their ideas as "brainwashed."
Anonymous No.16772230 [Report]
>>16772226
Well, that's encouraging. I come from an EE background with an applied math minor. Analysis and geometry were not so different to the tools I had already been exposed to. Aside from the tiniest amount of group theory needed for source coding in information theory, I have essentially no exposure to abstract algebra.
Anonymous No.16772234 [Report] >>16772258
>>16772228
I gave you a ton of stuff to read/watch/listen to. You just said you're not going to look at it because it's a schizo source, and that makes me a schizo and whatnot. Take it or leave it faggot.
Anonymous No.16772243 [Report] >>16772255 >>16772265 >>16772583 >>16773178
What is the minimal threshold of talent one must have to make contributions to research mathematics? I have a learning disability yet am still going back to school and am pursuing a graduate eduction but I am confident in saying I have to work multitudes harder than my peers for worse academic reaults. I bring to the table a love for learning an an indomitable desire to succeed so I’m gonna keep smashing my head against these difficult concepts trying to make leeway but that doesn’t mean I can make a career out of it or even go into industry. What do you anons think?
Anonymous No.16772255 [Report]
>>16772243
>I have a learning disability yet am still going back to school and am pursuing a graduate eduction
Why?
Anonymous No.16772258 [Report] >>16772261
>>16772234
If you count a pol post with a bunch of red ice interviews as a real source, I'm sorry, I can't help you. The "reading" you gave me was a collection of quotes loosely pulled from dozens do different people talking about different things loosely related to mass education. A few of them in the blog post here >>16771787 were so out of context that the actual source of the quote was the author talking about a concern or problem they worried about. As an example:

> Each year the child is coming to belong more to the State and less and less to the parent

That site gives this quote with the implication that the author is in favor of this change. If you read the segment of the cited work, the author is writing about how the current changes in educational trends are creating these conflicts and solutions to these problems will need to be resolved. It isn't acceptable for the state to abandon the children of abuse or neglect, but it also needs to be aware of the potential for overreach.

It would take dozens of hours to read the background material from this site to verify every last thing there. Precisely none of that verification was done on your end, because you wouldn't recommend such drivel as a defense of your ideas if you had.
Anonymous No.16772261 [Report]
>>16772258
Didn't read past the first sentence. Fuck off, I don't care about you.
Anonymous No.16772265 [Report]
>>16772243
I think you can probably do what you need to do. Of all of the really brilliant researchers I've met over the years, half of them had some sort of disability or mental health issues. One of the most important authors in my field of research is dyslexic, and basically nobody knows except for the people who know him well (e.g., his graduate students and close friends).

If you're willing to work harder than others, and not get demoralized with small failures, you'll probably do quite well for yourself.
Anonymous No.16772266 [Report] >>16772273 >>16772278 >>16772297
starting from >>16771787 there wasn't a single line of [math] \mathrm{\LaTeX} [/math] in sight
[eqn] \mathfrak{/shit\ thread/} [/eqn]
Anonymous No.16772273 [Report] >>16772278 >>16772297
>>16772266
Agreed.

[math]
O \circ P: \mathbb{G}\to A \times Y
[/math]
Anonymous No.16772278 [Report]
>>16772266
>>16772273
it's shit because you're in it
Anonymous No.16772297 [Report]
>>16772266
>>16772273

[eqn]Μελετήστε\ τα\ Στοιχεία\ του\ Ευκλείδη[/eqn]
Anonymous No.16772341 [Report] >>16772358 >>16772387 >>16772401 >>16773176
>>16772085
Does it not bother you that such concepts such as a point or a line have absolutely no foundation in reality, no basis in the physical world. That fundamental relationships derived from the most simplest constructs, such as pi and sqrt2, result in irrationals, which are unsolvable calculations? I think its pretty fucking funny that erecting two lengths of unit 1 at right angles to each other results in diagonal which can never be precisely resolved. Yet 3 and 4 results in a perfect 5.
Do you not feel such inconsistency are gigantic screaming red flags indicating that something is fundamentally flawed with our entire concept of geometry, numbers and their mathematical relationships?
There were intricate mathematical constructs used to justify the idea of Centralism. For the time they were very clever mathematical gymnastics, but based on the flawed concept of Earth being the center of the Universe.
Anonymous No.16772358 [Report]
>>16772341
>That fundamental relationships derived from the most simplest constructs, such as pi and sqrt2, result in irrationals, which are unsolvable calculations?
This "sentence" alone captures all one needs to know about this poster.
Anonymous No.16772387 [Report] >>16772439 >>16772444
>>16772341
>no foundation in reality, no basis in the physical world

>In several dialogues, most notably the Republic, Socrates inverts the common man's intuition about what is knowable and what is real. While most people take the objects of their senses to be real if anything is, Socrates is contemptuous of people who think that something has to be graspable in the hands to be real. In the Theaetetus, he says such people are "eu a-mousoi", an expression that means literally, "happily without the muses" (Theaetetus 156a). In other words, such people live without the divine inspiration that gives him, and people like him, access to higher insights about reality. Socrates's idea that reality is unavailable to those who use their senses is what puts him at odds with the common man, and with common sense. Socrates says that he who sees with his eyes is blind.

https://www.gutenberg.org/files/5827/5827-h/5827-h.htm

https://youtu.be/h73PsFKtIck

Ephesians 6:12
Anonymous No.16772401 [Report]
>>16772341
>points and lines have absolutely no foundation in reality
Have you ever opened a model file in Blender?
Anonymous No.16772439 [Report]
>>16772387
>Ephesians 6:12
The ONE TRUE FINITE FAITH APPROVES.
However there is absolutely nothing wrong with expunging sin from the flesh of heretics with a good old fashioned HOLY INQUISITION.
At the very least it keeps the children entertained for a while.
Anonymous No.16772444 [Report]
>>16772387
Thank you for those links. In a thread dominated by monkey brains howling for attention it is gratifying to see a critical intelligence does exist.
Anonymous No.16772479 [Report] >>16772744
https://youtu.be/-HgfzPxer1A
Anonymous No.16772583 [Report] >>16773178
>>16772243
You don't need talent. You need bigger balls.
Anonymous No.16772744 [Report]
>>16772479
Actually this video is kind of shit. It says it's from a text published in 1930, which explains why it says [eqn]Σuclid's Σlements[/eqn] was being taught in schools, which it isn't today. But then it also says if 1 in 10 masons in a lodge knows how to prove the 47th problem then that lodge is above average in educational level. Contradiction. It also says Pythagoras was a Master Mason, and then a few minutes later it says some of the things in the video are historical facts, while other things are just illustrative symbolic speech or whatever, like Pythagoras being a Master Mason, because Freemasonry didn't exist at that time. I don't know, kind of weird AI-ish video, I don't know if the channel can be trusted.
Anonymous No.16773162 [Report] >>16773205
I have a unit quaternion [math] \mathbf{p} = p_r + p_i \mathbf{i} + p_j \mathbf{j} + p_k \mathbf{k} [/math]
and a 3D vector as a pure quaternion [math]
\mathbf{v} = 0 + v_x \mathbf{i} + v_y \mathbf{j} [/math]
Wikipedia says the (right-handed) axis-angle rotation can be extracted from the unit quaternion like this:
Axis:
[eqn] \mathbf{a} = [a_x,\ a_y,\ a_z]^{\mathsf{T}} = \frac{1}{\sqrt{p_i^2 + p_j^2 + p_k^2}} [p_i,\ p_j,\ p_k]^{\mathsf{T}} = \frac{1}{\sqrt{1 - p_r^2}} [p_i,\ p_j,\ p_k]^{\mathsf{T}} [/eqn]
CCW Angle: zero to two pi
[eqn] \theta = 2 \cdot \text{arccos}(p_r) [/eqn]
This gives me [math] \cos(\frac{1}{2} \theta) = p_r [/math], where [math] p_r [/math] should be bounded by [math] [-1, 1] [/math].
When you rotate 179 degrees the i, j, k components get squished down to almost 0 since [math] \mathbf{p} [/math] has to be a unit quaternion.
/mg/, how do you work around this?
Anonymous No.16773176 [Report]
>>16772341
>>Does it not bother you that such concepts such as a point or a line have absolutely no foundation in reality, no basis in the physical world.
As you yourself have already put it, even some of the most basic "intuitive" geometric concepts arise in sophisticated mathematics, thereby proving my original point. Therefore, I ask you back, after realizing you can barely describe the physical world without "resorting into mental gymnastics", how can you advocate for the study of a subject alone (like discrete mathematics) without also studying other subjects which may interact with it (like calculus of the continuum)?

If you ask me, philosophically, there is no such thing as "mathematics based on reality" vs "invented", as the most simplest of all concepts may feel unreal to someone (like the irrationals to you) and vice-versa. How will that distinction help in the long run? It won't. It will most likely be an excuse for not studying a subject which will be of aid eventually. Einstein's model of physics uses differential manifolds, are they any more real now to you? Outside of diagrams, I haven't seen the mathematics of graphs used in natural sciences, are they more abstract to you, despite being discrete?
Anonymous No.16773178 [Report]
>>16772583
Agree. As someone studying a Master's degree, I've seen PhD students with practically no talent. University is an industry, in disguise or not, if you have time, patience and -very important- money, you can get a diploma on virtually anything. That won't necessarily assure a place in life however.

>>16772243
>I bring to the table a love for learning [...] but that doesn’t mean I can make a career out of it or even go into industry.
Math research is quite tough in general. You can still learn a lot in a Bachelor's degree, and I encourage you to pursuit your need of knowledge, but if you feel you can do a better job as a teacher, or in an office job, do so and stop researching at once. There is not too much money, it is competitive and you will likely get a better position elsewhere. It will nevertheless be a good experience up to that point.
Anonymous No.16773205 [Report] >>16773642 >>16773752 >>16774237
>>16773162
I'm not sure exactly what you're trying to do, but if your issue is that [math]p_r[/math] is rounding up to 1 and causing division by 0, just stick with the [math]\sqrt{p_i^2+p_j^2+p_k^2}[/math] prefactor.
Anonymous No.16773589 [Report] >>16773603
>fuck off, we don't want your posts in here
>thread goes back to 2 posts/day
Anonymous No.16773603 [Report] >>16773620
>>16773589
A slow general is better than one hijacked by larping pseuds.
Anonymous No.16773620 [Report]
>>16773603
>pseud
That's you, faggot.
Anonymous No.16773642 [Report] >>16773645 >>16773655
>>16773205
So why exactly did the second math tag not render here? Testing: [math]\frac{-b\pm\sqrt{b^2-4ac}}{2a}[/math] and [math] \sqrt{p_i^2+p_j^2+p_k^2} [/math]
[eqn] \displaystyle\sum_{n=1}^{\infty}\frac{1}{n^2}=\frac{\pi^2}{6} [/eqn]
[math] 1+2=3 [/math]
Anonymous No.16773645 [Report] >>16773650 >>16773655
>>16773642
That's a good question. It looks fine to me. I copy pasted it into the jaktex latex checker and it rendered fine too.
Anonymous No.16773649 [Report]
Has anyone here used Chicone's ODEs book? My lab has a copy of it sitting around from a previously graduated student, so I'm trying to decide whether it's worth taking home to self study for a bit. From the preface and ToC it seems like it's a master's level ODE course which covers the topic at a much higher depth than you typically see in undergrad diff eq courses. But idk if it's worth devoting a few months to self-studying based solely on my own enjoyment of diff-eq or if I'd be better off putting those efforts towards learning PDEs/SDEs.
Anonymous No.16773650 [Report]
>>16773645
Mathjax not jaktex. Sorry, I'm retarded.
Anonymous No.16773655 [Report] >>16773669
>>16773642
>>16773645
Sometimes it gets angry with you if you go too many characters in the mathtags without a space.
I know that's not a reason why. I don't know the reason why. I just know it stopped happening to me after I started adding spaces between every term (e.g \sqrt{ p_i ^ 2 + ...)
Anonymous No.16773669 [Report] >>16773676
>>16773655
As far as I can tell, you just gotta put a space around the start math and end /math tags.
Anonymous No.16773676 [Report] >>16773694
>>16773669
My quadratic formula test had no spaces there, though.
This is why I stick to math and not software. Math is logical, software is temperamental voodoo.
Anonymous No.16773694 [Report] >>16773696
>>16773676
Are you illiterate?
Anonymous No.16773696 [Report] >>16773715
>>16773694
I don't think so.
Anonymous No.16773715 [Report] >>16773726
>>16773696
Then reread my post and try to understand it this time.
Anonymous No.16773726 [Report] >>16773733
>>16773715
I interpreted it as spaces here, where the asterisks are: [mth]*, *[/mth]
Anonymous No.16773733 [Report] >>16773741
>>16773726
Yes. So what was the point of your reply?
Anonymous No.16773741 [Report] >>16773745
>>16773733
I said when I tried the quadratic formula like this: [math]\frac{-b\pm\sqrt{b^2-4ac}}{2a}[/math], I didn't put spaces there and it still rendered, and then I expressed frustration at the lack of consistency.
Anonymous No.16773745 [Report] >>16773750
>>16773741
Sure, the point of my post is that it consistently works if you just put spaces between the [mth] and [/mth] regardless of what's inside.
Anonymous No.16773750 [Report] >>16773752 >>16773763
>>16773745
Right, and the point of my post was just to be annoyed at needing to learn an unspoken rule because a format that looks like it should be fine is actually weirdly inconsistent.
I don't understand why we're arguing.
Anonymous No.16773752 [Report]
>>16773750
I misinterpreted your initial reply because I thought you were referring to this one >>16773205
Have a good day.
Anonymous No.16773763 [Report] >>16773849
>>16773750
4chan is running on 2 decade old software
can't really complain
Anonymous No.16773849 [Report]
>>16773763
They updated it last time they got hacked.
Anonymous No.16773894 [Report] >>16775006
Found yet another awesome website for Euclid's Elements.

https://web.calstatela.edu/faculty/hmendel/Ancient%20Mathematics/VignettesAncientMath.html#Euclid
Anonymous No.16773993 [Report]
Dis some sad shit.
Anonymous No.16774001 [Report] >>16774011
>>16771912
Nah I figured it out. Just another challenge that can be attributed to me being a midwit. :(.
Your posts didn't help me.
How far are you into Elements?
Anonymous No.16774011 [Report] >>16774036 >>16774245 >>16775555 >>16775562
>>16774001
How did you solve it then? Lay out the entire method. Also point out what in my posts specifically you think was not helpful or relevant and why. Me posting the picture from Pappus's book did not help? Why? I'm going to try my method and see if it works. Anyway proposition I.10 is about splitting a line in half and picrel shows all the propositions supporting I.31.
Anonymous No.16774022 [Report] >>16774028
>>16770606
Feynman reportedly learned his calculus with the last title.
Anonymous No.16774028 [Report]
>>16774022
Yeah the youtube video I linked there says that. That video has over a million views and contains an affiliated amazon link though. That guy clearly just figured out it was a way to earn money to buy that book and make a one minute video. No shit he says it's the greatest book ever. I hate this planet.
Anonymous No.16774036 [Report]
>>16774011
>I'm going to try my method and see if it works.
Actually I won't. I'm studying Euclid's Elements and that proposition is not part of Euclid's Elements, it's just mentioned by the translator, but it's from another book by another mathematician, and has nothing to do with Elements and hence I don't care about it.
Anonymous No.16774234 [Report] >>16774245
Anonymous No.16774235 [Report] >>16774255
https://en.m.wikipedia.org/wiki/Euclid_and_His_Modern_Rivals
Anonymous No.16774237 [Report]
>>16773205
Possible solution?
Start from the axis of revolution [math] \mathbf{a} = 0 + a_x \mathbf{i} + a_y \mathbf{j} + a_z \mathbf{k} [/math], [math] \| a \| = 1 [/math]
and the CCW angle [math] \theta [/math] bounded between [math] 0 [/math] and [math] 2\pi [/math].

The Wikipedia formula works and is numerically stable, but for small thetas you can't extract the axis from the quaternion. An angle of 0.25 degrees or less will give you NaN for the axis, based on my Python experiment.
[eqn]
\begin{align}
\mathbf{p} &= p_r + p_i \mathbf{i} + p_j \mathbf{j} + p_k \mathbf{k} \\
p_r &= \cos(\frac{1}{2}\theta) \\
p_i &= a_x \sqrt{1 - p_r^2} \\
p_j &= a_y \sqrt{1 - p_r^2} \\
p_j &= a_z \sqrt{1 - p_r^2}
\end{align}
[/eqn]
Alternatively: let's just define [math] m \in \mathbf{R} [/math] such that [math] \| \mathbf{p} - p_r \| = m \|\mathbf{a}\| [/math]
ie. [math] m = \frac{ \| \mathbf{p} - p_r \| }{ \|\mathbf{a}\| } = \frac{\sqrt{p_i^2 + p_j^2 + p_k^2}}{1} = \sqrt{1 - p_r^2} [/math].

Rewrite [math] \mathbf{p} [/math] like this:
[eqn]
\begin{align}
\mathbf{p} &= \frac{m}{m} p_r + m a_x \mathbf{i} + m a_y \mathbf{j} + m a_z \mathbf{k} \\
&= m \left( \frac{p_r}{m} + a_x \mathbf{i} + a_y \mathbf{j} + a_z \mathbf{k} \right)
\end{align}
[/eqn]
Set
[eqn]
\mathbf{q} = \frac{p_r}{m} + a_x \mathbf{i} + a_y \mathbf{j} + a_z \mathbf{k}
[/eqn]
Rotation formula:
[eqn]
\begin{align}
R_\mathbf{p}(\mathbf{v}) &= \mathbf{p} \mathbf{v} \mathbf{p}^* \\
&= (m \mathbf{q})\ \mathbf{v}\ (m \mathbf{q})^* \\
&= (m \mathbf{q})\ \mathbf{v}\ (\mathbf{q}^* m^*) \\
&= m\ (\mathbf{q} \mathbf{v} \mathbf{q}^*)\ m \\
&= (m^2)(\mathbf{q} \mathbf{v} \mathbf{q}^*)
\end{align}
[/eqn]
Where [math] m^2 = 1 - p_r^2 [/math].

If I do this I will always have access to the axis of revolution in exchange for the more expensive real term [math] \frac{p_r}{m} = \frac{p_r}{\sqrt{1 - p_r^2}} [/math].
Anonymous No.16774245 [Report] >>16774255 >>16774262
>>16774011
>>16774234
Nibba expects me to learn DAG theory before I read his book
Anonymous No.16774255 [Report] >>16774296 >>16775981
>>16774245
It's from this book by Lewis Carroll/Charles Dodgson, who also wrote Alice in Wonderland.

https://archive.org/details/euclidbooksiii00euclrich

https://old.maa.org/press/periodicals/convergence/mathematical-treasure-dodgsons-euclid-books-i-and-ii

Same author as this book.

>>16774235

Picrel is higher resolution.
Anonymous No.16774262 [Report]
>>16774245
And I agree it's a little confusing. Especially the part with 1, 2, 3 and 4 confuses me. So I'm not 100% sure I put the red marks in the right places.
Anonymous No.16774296 [Report] >>16774297 >>16775981
>>16774255
http://aleph0.clarku.edu/~djoyce/elements/bookI/bookI.html#guide
Anonymous No.16774297 [Report] >>16775981
>>16774296
can't find higher resolution
Anonymous No.16774308 [Report] >>16774310
So do you actually study the Elements or do you just read about it?
Anonymous No.16774310 [Report] >>16774314
>>16774308
Both
Anonymous No.16774314 [Report]
>>16774310
How far are you into the Elements?
Anonymous No.16774331 [Report]
>>16771501
Anonymous No.16774492 [Report] >>16774500 >>16775400
What's a good stats book for learning the motivation and theory of the field?
I studied physics in college, so my only real exposure was through my lab classes and stuff like stat physics and quantum. I have a pretty good grasp of stuff like expectation value and how probabilities relate to summation/integration, but my understanding of the formalism is really lacking.

If I could find a book that does a good job of going through the foundations and why/how things were discovered and iterated on, I'd be very happy
Anonymous No.16774500 [Report] >>16774503
>>16774492
What level of mathematics are you looking for? I can give you a few that I really like, but not everyone needs the same level of rigor/detail.

Is a linear algebra/calc based approach sufficient for you, or do you want something which gets very down in the weeds of the measure theoretic/real analysis of statistics?
Anonymous No.16774503 [Report] >>16774507
>>16774500
I think as a starting point, LA and calc are my best bet, though I did take a few analysis courses. The main thing I'm hoping to get out of this is an intuition for why things are done as they are, and how things were discovered.
I'll jot down any recommendations you make, but for now my focus is getting a better understanding, so I'm going to start simpler, but not too simple
Anonymous No.16774507 [Report] >>16774508
>>16774503
Okay, so the three best "upper undergrad/early grad" stats books in the LA/calculus based world are (in increasing difficulty)

1) All of Statistics by Wasserman
2) Probability and Statistical Inference by Mukhopadhay
3) Statistical Inference by Casella and Berger.

Casella and Berger is definitely the "standard" text for a first course at the upper undergrad/early grad level, but it has less a bit less detail on the fundamental probability stuff as Mukhopadhay. You should be able to find a PDF of Casella and Berger pretty easily online though (and it's a good standard choice with notation conventions that a lot of people will recognize/understand).
Anonymous No.16774508 [Report] >>16774569
>>16774507
Awesome, thank you!
While I have your ear, are there any problems that are a good 'filter', in the sense of highlighting misconceptions or counterintuition?
Anonymous No.16774569 [Report] >>16774584
>>16774508
I would say the entire field of Bayesian statistics is a good filter. You'd be amazed at how many people with advanced degrees still don't understand what Bayes theorem actually means.

In practice, if you understand your problem well enough to derive a likelihood equation for your problem, and can find a process to analytically/numerically solving that problem you're ahead of like 95% of people who have taken statistics courses in school.
Anonymous No.16774577 [Report]
Got carried away by the uni reputation and picked the wrong masters. Now every day i want to quit. I loved doing math but now I waste all my time programing machine learning algorithms.
I should've followed my dreams.
Anonymous No.16774584 [Report] >>16774595
>>16774569
Thankfully, creating and understanding models is 80% of a physics undergrad
I'm just annoyed at how unrefined my knowledge of stats is, I have a fairly good intuition for a lot of shit, but I don't know terminology at all, and I'm essentially deriving everything just to try and figure things out.
I've been playing D&D with some buddies of mine, and I started trying to figure out how the dice rolls play out. I was able to figure out single dice rolls, and with advantage/disadvantage (just discrete max and min basically), but as soon as I started trying to find probabilities for multiple dice together, things got really awkward. I was able to find a piecewise expression for the distribution of two combined dice rolls, but it sucks IMO.
I know that's a retarded reason to revisit statistics, but I'm glad it happened, because now I understand my own ignorance a bit better.
Anonymous No.16774595 [Report]
>>16774584
> I know that's a retarded reason to revisit statistics, but I'm glad it happened, because now I understand my own ignorance a bit better.

There's no such thing as a retarded reason to study anything you find interesting. I'm an EE who focuses mostly on information theory (i.e., math, not physics), but I spent a good bit of time last summer self-studying from Jackson's classical electrodynamics just because I wanted to understand EM more than my 1 semester's worth of undergraduate applied EM.

If you're enjoying the material and learning, it's a good thing. Who cares about the rest.
Anonymous No.16775006 [Report] >>16775071
>>16773894
If anyone is a masochist, there is a game called Euclidea where you try to recreate geometric constructions and if you want to get the stars, need to get it in the optimal amount of constructions.

They also made Pythagorea and stuff.
Anonymous No.16775071 [Report]
>>16775006
>Euclidea
I tried it but didn't like it
Anonymous No.16775400 [Report] >>16775596
>>16774492
Schervish contains an extensive discourse on the motivation behind the theory of statistics, but it's locked behind measure theory. Young & Smith is a more elementary alternative. Both books start with decision theory and are written by Bayesians, which is what you want, not because I am a Bayesian, but simply because Bayesians have done a much better job at presenting their viewpoint.

True Frequentist theory—which I think is more appropriate for Physics and any other case where you can design the experiment—is limited to some esoteric papers and books like the one by Le Cam (the most difficult book on statistics that I have ever read). Frequentism done proper is much harder to understand as there is a lot of emphasis on the designing the experiments proper before you even begin to take observations, and then possibly taking further samples. Most of these elementary statistics books like Casella or whatever treat Frequentist theory as just a warmup to Bayesian theory, which has greatly misrepresented the viewpoint. Further, these books are written in a way to maybe only help you pass courses with a primary focus on solving numericals and deriving formulae, but leave you with very little understanding of the subject.
Anonymous No.16775555 [Report]
>>16774011
I'm surprised that there aren't many great charts online for this. Maybe I can figure out a way to make a good one myself. Some kind of clickable expandable text boxes or links might be cool. I'm thinking something similar to 4chanX's threading mode.
Anonymous No.16775562 [Report]
>>16774011
I'm surprised that there aren't many great charts online for this. Maybe I can figure out a way to make a good one myself. Some kind of clickable expandable text boxes or links might be cool. I'm thinking something similar to how posts and replies open up in a tree structure in a 4chan thread with 4chanX, or the plus and minus signs for hiding and unhiding posts.
Anonymous No.16775565 [Report]
https://i.4cdn.org/sci/1756892760693934.jpg

I'm surprised that there aren't many great charts online for this. Maybe I can figure out a way to make a good one myself. Some kind of clickable expandable text boxes or links might be cool. I'm thinking something similar to how posts and replies open up in a tree structure in a 4chan thread with 4chanX, or the plus and minus signs for hiding and unhiding posts.
Anonymous No.16775596 [Report] >>16775964
>>16775400
I take it you prefer Schervish over the more standard modern recommendations (Lehmann, Shao or Keener)?
Anonymous No.16775964 [Report] >>16776119
>>16775596
Yes though Lehmann is a pretty good book for just getting good grades in standard courses in statistics. One good thing about Shao is that it provides a correct proof to the criteria for minimal sufficiency, which I haven't seen done elsewhere. Idk about the other one.
Anonymous No.16775981 [Report]
>>16774255
>>16774296
>>16774297
These charts are all different. Why?
Anonymous No.16775984 [Report] >>16776018 >>16776075 >>16776203
It's been many years since I was in high school. I would like to try studying math again. Do I have to start from scratch? I feel like I've forgotten everything.
Anonymous No.16776018 [Report] >>16776057
>>16775984
Study everything on a deeper level than you knew before then it will not be a waste of time. Start with the foundations.
Anonymous No.16776057 [Report]
>>16776018
kek
Anonymous No.16776075 [Report]
>>16775984
I know it's a meme, but Serge Lang's basic mathematics is a pretty good book for that.

What level of math did you get to in high school? Do you think you'd be able to jump back into a calculus or pre-calculus textbook with a bit of patience?
Anonymous No.16776119 [Report] >>16776203
>>16775964
That's interesting because that's basically the opposite perspective of most of the math-stat/theoretical stat professors I've interacted with. My PhD is not in statistics, but it was very statistics related, and I ended up befriending a few stats professors at the same university.

Generally they recommended Shao/Keener for coursework because it was a simpler and more succinct presentation, and considered Lehmann (either Testing Statistical Hypotheses or Theory of Point Estimation) to be mostly useful as a reference text or alternative presentation of the coursework.

I know you said Le Cam (I'm assuming Asymptotic Methods in Statistical Decision Theory?) was the hardest math-stat book you've ever read, but what was the most interesting to you?

I'm a sucker for geometry, so the first time I came across Cencov's Statistical Decision Rule and Optimal Inference it blew me away, but I don't think that is a particularly commonly used reference text for most (unless they are studying information geometry or estimation/decision on Riemannian manifolds).
Anonymous No.16776203 [Report] >>16777452 >>16777622
>>16776119
>but what was the most interesting to you?
I moved on to geometry processing before I got much far ahead in statistics to answer that sincerely, but I'd say empirical processes was the most interesting part of stats for me since I am a sucker for functional analysis. I used Bodhisattva Sen for that.

If I had stuck to stats, I probably would've found geometric methods in statistics equally if not more interesting, but I am a full-blown constructivist now, so that's not gonna happen.

>>16775984
I think with the added maturity you get with age, you can study math from scratch rigorously, which keeps things fresh and gives you a much deeper understanding. However, there just aren't any good pure math books that treat math at a basic level but rigorously. Which is why I'd recommend you learn math from Knuth's books (Concrete Math and TAOCP). Despite being written with the primary purpose of teaching programming, it does give you a solid foundation on mathematical reasoning, enough to read something like Rudin. Or you could be blackpilled by computability and constructivism like me and never touch modern math again.
Anonymous No.16776483 [Report] >>16776510
>reading math textbook
>"...consider a [concrete, real-life object]..."
>immediately lose interest and close book
Why am I like this
Anonymous No.16776510 [Report] >>16776522
>>16776483
>"...consider a [concrete, real-life object]..."
Doesn't sound like a math textbook, innit?
Anonymous No.16776522 [Report]
>>16776510
To be fair, it is a PDEs and Fourier Analysis textbook.
Anonymous No.16776763 [Report] >>16776766
>just found out about Umbral Calculus.
Anonymous No.16776766 [Report]
>>16776763
Just looked it up on wikipedia. The philosophy is basically that of category theory.
Anonymous No.16776840 [Report] >>16776843 >>16776896 >>16776950 >>16776964
Why don't equivalent matrices have the same eigenvalues?
Anonymous No.16776843 [Report] >>16776848
>>16776840
>Why don't
Why do you think they should?
Even with 1x1 matrices with entries of a field K there are only two different equivalence classes (the zero matrix and the rest) and it's clear that every element of K is the eigenvalue of some 1x1 matrix.
Anonymous No.16776848 [Report]
>>16776843
They represent the same transformation apparently.
Anonymous No.16776896 [Report] >>16776964
>>16776840
They do
Anonymous No.16776910 [Report] >>16776916
It's pretty cool that you can tell chatgpt to write html code for you. I don't know how to write html code but using chatgpt and just changing the item names in the code manually I managed to produce this. It's a dependency chart for proposition I.5 from Euclid's Elements. In the actual document the items are collapsible. I only made this simple chart, but the idea was to make one for all of book 1. I might do it but I'll have to actually learn basic html coding for that I think, but it doesn't seem like it will take very long to learn, just from doing this I learned a bit already and I'm almost there I think.

https://pastebin.com/JLu8asmS

Right-click the "download" button, click "save link as", change filename extension from ".txt" to ".html", after saving click on the file and it should open in a browser.
Anonymous No.16776916 [Report] >>16776919
>>16776910
Holy shit, I asked chatgpt to write the html code for a chart in the same style but for all of book 1. It seems to actually have worked.

https://pastebin.com/9JvWrkqi
Anonymous No.16776919 [Report]
>>16776916
No, it didn't work. I had a better look and it's not showing the dependencies as it should.
Anonymous No.16776923 [Report] >>16776942
I'd rather have this general be dead than for it to be some retarded jeet chronicling his pretend-study of the Elements.
Anonymous No.16776942 [Report]
>>16776923
I don't care what you think. Fuck off public school teacher. You're the only pajeet here, which is obvious considering that all you care about is your gay dipoma. kys homo
Anonymous No.16776950 [Report] >>16776979 >>16777017
>>16776840
What will happen is
Ax = lambda y
where y is the coordinate of x with respect to the output basis.
Ax = lambda x
need not hold since x means something different in the output basis
Anonymous No.16776964 [Report]
>>16776840

Two matrices [math] A, B \in \mathbb{R}^{n\times m} [/math] being (row) equivalent simply means that starting from [math] A [/math] one may produce [math] B [/math] via solely elementary row operations.

If [math] A \sim B [/math] implied that the eigenvalues matched, then every full rank [math] n \times n [/math] rectangular matrix would have the same [math] n [/math] eigenvalues (namely, they'd all be 1's). A rectangular matrix being full rank means that it is (row) equivalent to the identity matrix, do you couldn't have rectangular matrixes with eigenvalues that are not 1 if equivalence implied spectral equality.

>>16776896
No, they don't. See above.
Anonymous No.16776979 [Report]
>>16776950
Right. Thanks.
Anonymous No.16777017 [Report]
>>16776950
To expand to this, the underlying issue is that the eigenvalues of a linear transformation do not necessarily correspond to those of the matrix that represents it unless the input and output bases are the same. This is why similar matrices have the same eigenvalues.
If A = Binv C B, and T is the linear transformation represented by C with some basis, both of the input and output, then A also represents T with the input and output basis the same: the basis being whatever is represented by B.
Anonymous No.16777358 [Report] >>16777673
>>16767261 (OP)
Right wing math community on gab.com:
https://gab.com/groups/698
Anonymous No.16777369 [Report] >>16777384
My college algebra teacher seemed to be teaching me how to run and then expected me to run a marathon when it came to my homework, none of which I could do on my own, and even my friends who were majoring in engineering were a little challenged by it, so how the hell was somebody like me who's not naturally gifted in math supposed to do it? Anyway, I'd like to re-learn math as I never succeeded beyond high school level algebra (I failed college algebra). Where do I start? Is there a book about mathematics that can give me perspective so I don't become intimidated? Thanks.
Anonymous No.16777384 [Report] >>16777438
>>16777369
Lang's basic mathematics.
Anonymous No.16777438 [Report] >>16777493
>>16777384
Thanks.
Anonymous No.16777452 [Report] >>16777561
>>16776203
> blackpilled by computability

What do you mean by this?
Anonymous No.16777493 [Report] >>16777532 >>16778249
>>16777438
That was a half joke answer, anon. Lang's is good if you want to prepare for higher math, but it's not a standard text for a reason.
You should skim the book to see whether it fits your course. If not, any pre-calculus text should do; they are visually the same at this level.
Anonymous No.16777532 [Report]
>>16777493
>visually the same
?
Anonymous No.16777561 [Report]
>>16777452
You will know when the time is right.
Anonymous No.16777622 [Report] >>16777626
>>16776203
>I am a full-blown constructivist now
I didn't know that honest to god/philosophically motivated constructivists were a still a thing in the current year to be honest. Most of the people that I guess you could call constructivists mostly just think of themselves as working mathematicians/computer scientists whose work happens to be related to constructive mathematics.
Even Bauer (who I think many people would call a constructivist, whether he considers himself one or not) said that constructive mathematics is nowadays just another branch of mathematics, just like topology, algebra and everything else.

I do think that constructive mathematics should slowly be integrated into some parts of the undergraduate mathematics and computer science curriculum however. Mainly because there is an abundance of confusion regarding intuitionistic logic and constructive mathematics, stemming largely from bad teaching practice by classically trained mathematicians who themselves have trouble identifying when a proof relies on some form of classical reasoning and when a proof is entirely constructive (as well as when and how some classical proofs may be replaced by a slicker constructive one).
Anonymous No.16777626 [Report] >>16777633
>>16777622
I just got disillusioned by the constant Zorn's lemma proofs in graduate level math. It seems everything I liked about math just vanished at the graduate level. What I liked about undergraduate math is how it fundamentally developed logical human thought. I think algorithms are still honest to how humans reason about things. That's why I moved to computer science.

And then there's whole thing about how we can only define countably many things yet mathematicians work with uncountable sets.
Anonymous No.16777633 [Report] >>16777649 >>16777660
>>16777626
Zorn's isn't *that* problematic even for constructivists, at least not as problematic as AC. Though yeah in some cases invoking Zorn's could be avoided if one were to "massage" the definitions just enough so one could instead apply on the plethora of available fixed point theorems from constructive order theory (like replacing chains with semidirected sets, replacing chain complete orders with pointed DCPOs, etc)
Anonymous No.16777649 [Report] >>16777654 >>16777663
>>16777633
>AC woohoo bad
> assuming you still want to work with set theory, AC is 100% a non-issue since for any structure M satisfying the axioms of ZF, and for any arithmetical sentence F (the only which are meaningful in any application of mathematics, e.g. any sentence of numerical analysis is of that kind), F is true in M if and only if F is true in the constructible universe L of M (and L satisfy both AC and the generalized continuum hypothesis).

Debates over AC are debate over large infinite objects and don't affect real life.
Anonymous No.16777654 [Report]
>>16777649
I never meant to say "AC woohoo bad", I was just pointing out that, unlike AC, Zorn's could still be studied constructively (though no one does in practice desu) since IZF + Zorn's |-/- ZFC (whereas IZF + AC = ZFC)
Anonymous No.16777660 [Report] >>16777662
>>16777633
>Zorn's lemma is not as problematic as AC
Huh?
Anonymous No.16777662 [Report] >>16777664 >>16778938
>>16777660
It doesn't imply AC constructively (and hence also doesn't imply excluded middle)
Anonymous No.16777663 [Report] >>16777680
>>16777649
They affect real life when you consider non-constructive math cannot be realised in real life. While mathematicians cook up abstract definitions, the CS people are busy trying to figure out how to actually make sense of all it in real life.

For instance, you have the whole field of game theory teeming with non-constructive results. In fact, the existence of a general equilibrium is—I think—equivalent to Brouwer's FPT. It's due to algorithmic game theorists can those results even begin to be thought of to be used in real economic problems. You would think economists of all people would try to make their results constructive.
Anonymous No.16777664 [Report]
>>16777662
Oh, I didn't know that.
Anonymous No.16777673 [Report] >>16778178
>>16777358
Gab isn't anonymous, like 4chan. But isn't it terrible how left wing 4chan is?
Anonymous No.16777680 [Report] >>16777714
>>16777663
Let F be any formula on the language of arithmetic (0, +, x, successor, =, <=), whose every quantifier is bounded (by a variable or a term built on +, x, 0). Then F is decided in intuitionistic Robinson arithmetic, namely, this weak (!!) fragment of arithmetic proves F \/ (~ F) (in fact: it proves F or it proves (~F)). Proof is straightforward by induction on the size of the formula (but can be large). This has the following consequence: let T be *any* theory in which (intuitionistic) Robinson arithmetic can be interpreted; then either:
-T is inconsistent
-T agrees with intuitionistic Robinson arithmetic on every arithmetic formula with bounded sentences and decide them, with possibly shorter proofs depending on what primitive recursive functions are available in T. You can add some primitive recursive symbols in the above for a possible variant (e.g. if x,y -> x^y is introduced with axioms like x^0 = 1 for any x and x^(y+1) = x* (x^y) for any x,y then the above still holds provided you replace "Robinson arithmetic" with intuitionistic induction-free arithmetic with axioms relating 0,1,+,x,<=, = powers to each others).

Why does this matter? Because any real life statement is a bounded arithmetic statement like the above. Sigma_1 statements ( "exists x G" where G is a bounded arithmetic statement, for example some discussing about whether a given Turing machine would halt after 10^(10^(10^(10^10)))) aren't real life statement in the sense that they cannot be related to experimental physics or actual computer operations.

So all math system agree upon what matter, provided they aren't inconsistent and by the way, popular systems that have been developed so far in the intuitionistic (sometime dependent) type theory framework don't provide any more serious guarantee that they aren't, than traditional set theory (e.g. COQ/Rocq whose "consistency proof" depends on ZFC plus the existence of a countable set of inaccessible cardinals)
Anonymous No.16777687 [Report]
>Rocq
humiliation ritual
Anonymous No.16777714 [Report]
>>16777680
>Because any real life statement is a bounded arithmetic statement
No.
Anonymous No.16778178 [Report]
>>16777673
Yeah.
Anonymous No.16778249 [Report]
>>16777493
I'm not in any course, I graduated from college years ago. I just want to overcome an old obstacle in my life.
Anonymous No.16778938 [Report] >>16778946
>>16777662
Doesn't axiom of choice follow from a direct proof from Zorn's lemma?
Anonymous No.16778946 [Report]
>>16778938
Not constructively - you need to invoke proof by contradiction to show that your choice function is a maximal element of the partial ordering
Anonymous No.16779003 [Report]
New thread is at >>16777973

since this one has hit the bump limit