Re: Zero
New chapter soon
Anonymous
8/22/2025, 11:50:50 PM
No.281674181
[Report]
Updated, it's 7 o'clock.
Here's a haiku: "In the dead of night, / A gecko crawls on the wall, / Causing quite a stir."
I feel like it's under the fridge, even now.
I can't believe Rem BETRAYED Petra and Emilia to get the baru monopoly all for herself
It truly was our Re:Zero kara Hajimeru Isekai Seikatsu all along, huh?
Anonymous
8/23/2025, 12:01:59 AM
No.281674466
[Report]
Anonymous
8/23/2025, 12:03:00 AM
No.281674522
[Report]
Starting a bit with Otto, then to silver bells...
Anonymous
8/23/2025, 12:04:33 AM
No.281674566
[Report]
>"Yes, Al-sama's all-purpose helpful maid, Yae-chan"
>"That's a title for Rem's Subaru-kun!"
Lol, Rem is mad at Yae stealing her thing.
Anonymous
8/23/2025, 12:05:39 AM
No.281674590
[Report]
>>281675588
"Hey! Terya! Ei! Uya! Toriya! Teiteiteiteiteiteiteiteiteiteiteiteiteiteiteiteiteiteiteiteiteiteiteiteiteiteiteiteiteiteiteiteiteiteiteiteiteiteiteiteiteiteiteiteiteiteiteiteiteiteiteiteiteiteiteiteiteiteiteiteiteiteiteiteiteiteiteiteiteiteiteiteiteiteiteiteiteiteiteiteiteiteiteiteiteiteiteiteiteiteiteiteiteiteiteiteiteiteiteiteiteiteiteiteiteiteiteiteiteiteiteiteiteiteiteiteiteiteiteiteiteiteiteiteiteiteiteiteiteiteiteiteiteiteiteiteiteiteiteiteiteiteiteiteiteiteiteiteiteiteiteiteiteiteiteiteiteiteiteiteiteiteiteiteiteiteiteiteiteiteiteiteiteiteiteiteiteiteiteiteiteiteiteiteiteiteiteiteiteiteiteiteiteiteiteiteiteiteiteiteiteiteiteiteiteiteiteiteiteiteiteiteiteiteiteiteiteiteiteiteiteiteiteiteiteiteiteiteiteiteiteiteiteiteiteiteiteiteiteiteiteiteiteiteiteiteiteiteiteiteiteiteiteiteiteite
Riveting Emilia dialogue. This is what the people come to see.
Lmao Roswaal is basically dead. Guess he won't be nuking anyone.
Anonymous
8/23/2025, 12:11:55 AM
No.281674718
[Report]
>>281675619
Yae feet mentioned once again LET'S FUCKING GO
Anonymous
8/23/2025, 12:19:04 AM
No.281674902
[Report]
>>281744658
> Aldebaran aurafarming
> Rem and Emilia being mid diffed by Yae
> Roswaal dead
I kneel, Tappei
Anonymous
8/23/2025, 12:50:00 AM
No.281675588
[Report]
>>281675619
>>281674648
Great Reset Confirmed
>>281674590
Great Cringe Confirmed
>>281674648
Yae Feet Confirmed
Anonymous
8/23/2025, 12:51:01 AM
No.281675619
[Report]
>>281675588
Last one was meant for
>>281674718
Anonymous
8/23/2025, 1:17:01 AM
No.281676166
[Report]
DEAD
SERIES
Anonymous
8/23/2025, 1:42:50 AM
No.281676602
[Report]
>>281680343
Wait, how the fuck is Otto understanding what people are saying?
Tappei really has forgotten about Territory’s second gear, hasn’t he?
Anonymous
8/23/2025, 3:01:40 AM
No.281677915
[Report]
>>281678854
>>281677065
Nah, he mentioned it in No Stella No Life a few months ago, it wouldn't make any sense for Tappei to include it if Al is going to die before showing it off
Anonymous
8/23/2025, 3:09:54 AM
No.281678072
[Report]
>>281679284
I'm more excited for the sanctuary manga I wonder if we'll get to see her last moments that was cut on the anime, or some more of her backstory.
For the novel I'm waiting until arc 9 get more chapter so I can read it all in one go. It's kinda fun catching some spoilers. All in on Great Reset coin btw.
Anonymous
8/23/2025, 3:11:16 AM
No.281678093
[Report]
Adelheid...
Anonymous
8/23/2025, 3:12:17 AM
No.281678116
[Report]
Also Adelheid...
Anonymous
8/23/2025, 3:13:41 AM
No.281678144
[Report]
>>281683683
Also also Adelheid...
Anonymous
8/23/2025, 3:14:42 AM
No.281678166
[Report]
>>281683683
Also also also Adelheid...
Anonymous
8/23/2025, 3:16:40 AM
No.281678209
[Report]
>>281683683
Also also also also Adelheid...
Anonymous
8/23/2025, 3:55:45 AM
No.281678854
[Report]
>>281677065
What this guy said
>>281677915
It was also given as the reason why Yae’s his bitch in another side story
>side heroine continuously gets development across 40 volumes
>strong character moral alignment
>In love with the MC and still transpires to break his arms and legs had he further psychologically pressed her.
>Main heroines only legible dialogues are le "heiya"
What did tappei mean by this
Anonymous
8/23/2025, 4:07:22 AM
No.281679053
[Report]
>>281679198
>>281678954
Emilia can't change because she was Tappei's ideal waifu from day one.
She will always be a cute girl that makes cute noises and has cute misunderstandings because Tappei hates when girls are taken seriously, I guess
Anonymous
8/23/2025, 4:16:33 AM
No.281679198
[Report]
>>281679659
>>281679053
>because Tappei hates when girls are taken seriously, I guess
>Elsa
>Priscilla
Maybe you're right.
Anonymous
8/23/2025, 4:21:57 AM
No.281679284
[Report]
>>281679656
>>281678072
>Dead Character
Anonymous
8/23/2025, 4:48:21 AM
No.281679656
[Report]
>>281680979
>>281679284
>Dead Thread.
Anonymous
8/23/2025, 4:48:30 AM
No.281679659
[Report]
>>281679198
Me thinks you forgot someone important
Anonymous
8/23/2025, 4:54:25 AM
No.281679744
[Report]
>>281678954
>still transpires to break his arms and legs had he further psychologically pressed her
When did this happen?
Anonymous
8/23/2025, 5:25:26 AM
No.281680265
[Report]
I can't believe Tappei subverted expectations so hard that he has now made Rem and Emilia lesbians in love with eachother just so Subaru can lose again.
>>281676602
Why wouldn't he? Everyone else does when they lose their memories.
Anonymous
8/23/2025, 5:32:53 AM
No.281680406
[Report]
>>281674648
>Petra rolls Roi and the Black Snake easy
>Clind and Roswaal get fucking destroyed and Roswaal is dead
Holy shit, Petra cannot stop winning. All she needs is for Emilia and Rem to die saving Subaru and her victiory is entirely complete.
Anonymous
8/23/2025, 5:40:32 AM
No.281680533
[Report]
>>281680731
>>281680343
Do they only lose their sense of self or do they lose they abilities too?
I mean their fighting skills, their proficiencies and so on?
Anonymous
8/23/2025, 5:45:14 AM
No.281680603
[Report]
>>281707207
roswaal is fucking jobber
>>281680533
They lose things they needed to learn how to do, like Rem's magic. These things cna be retaught though, like Crusch sort of being able to use her special wind strike which is more intuitive for her since its tied to her blessing.
Anonymous
8/23/2025, 5:58:30 AM
No.281680800
[Report]
Anonymous
8/23/2025, 5:59:24 AM
No.281680815
[Report]
>>281680343
Because he couldn't understand human speech until he was a 10 year old because of his shitty Divine Protection
Anonymous
8/23/2025, 5:59:58 AM
No.281680827
[Report]
>>281673968 (OP)
Do we forgive AL? He is such a bro that I can't blame him and beako gets to have Subaru all to herself, real bro hero.
Anonymous
8/23/2025, 6:09:06 AM
No.281680954
[Report]
>>281681125
>>281680731
Isn't language something you have to learn, if so, why can they still speak it?
Or does the fact that everyone speaks japanese hint to the fact that there is a common language they are born with, kinda like in dnd where certain races naturally speak certain languages even if they never grew up it a society that speaks them.
Anonymous
8/23/2025, 6:10:02 AM
No.281680979
[Report]
>>281691306
>>281679656
Tappei is not bringing her back faggot, talk about the new chapter or fuck off back to r/Re_Zero.
Anonymous
8/23/2025, 6:11:10 AM
No.281680996
[Report]
>>281673968 (OP)
Roswaal is literally Yamcha'd and "90 dead and 10% alive" in the ground.
Its looking like hes permanently maimed, but not dead. Guess he cant really force Subaru to reset now.
Al hasnt done aggressor because he still thinks he can win. Once he loses his Pride, aggressor.
I cant wait for Emilia/Rem mindbreak
Anonymous
8/23/2025, 6:20:37 AM
No.281681125
[Report]
>>281681177
>>281680954
>Isn't language something you have to learn, if so, why can they still speak it?
Because its inconvinient if they can't. I don't know why you're whining about it now when this is how it worked for Crusch more than ten years ago.
Anonymous
8/23/2025, 6:24:50 AM
No.281681177
[Report]
>>281681344
>>281681125
Because I'm an anime-only peasant you prancing la-la homo man.
Anonymous
8/23/2025, 6:37:31 AM
No.281681344
[Report]
>>281681177
And that happened in the anime nearly 10 years ago.
Anonymous
8/23/2025, 6:56:59 AM
No.281681613
[Report]
Ram is NOT going to like this.
If he keels over freakin Ram is going to be the one to go psycho.
Simple math suggests this chapter is another snoozer and no one cares
Anonymous
8/23/2025, 7:04:02 AM
No.281681720
[Report]
>>281681695
Your not wrong.
But it looks like Tappei is speed running Al and Volcanica fights, which Im glad about
Anonymous
8/23/2025, 7:09:19 AM
No.281681777
[Report]
>>281681695
Not a whole lot really happens. The Otto thing in the beginning is nice but most of the chapter is a boring Emilia/Ram/Yae fight. Emilia is basically a non-entity, Rem and Yae get some funny lines, but most of Rem's stuff is randomly trying to give importance to shit Priscilla or Katia said to her or would think. It's all just kind of lame.
Then the dragon fight is basically already over and off-screened so we just cut to Clind and Roswaal being pretty smoked to act as a stinger.
Not the most exciting thing ever.
>>281681695
Rezerobros, what happened? I thought season 3 was extremely successful? What if August readership stat tanks further? Only 8 more days to find out!
Anonymous
8/23/2025, 7:25:35 AM
No.281681970
[Report]
>>281682075
>>281681905
Are you seriously bitching about something that has a million unique visitors? That's actually crazy.
Anonymous
8/23/2025, 7:33:59 AM
No.281682075
[Report]
>>281688928
>>281681970
What a retarded faggot.
1. Multiple page views from the same session = 1 IP count. New session = recount. You're a fucking retard if you really think this shit has a million readers.
2. This falloff is fucking insane whatever the fuck your cope is lmao. Imagine saying One Piece lost almost 2/3 of its readers and is no longer mainstream. Only difference is rezero is 10+ times less popular, even at its peak.
Heinkel feels way more cowardly than he used to be. Nowadays he literally refuses to even fight, just pisses his pants and sits there. What happened to the guy that slaughtered whole bandit hideouts, killed assassins sent after Priscilla, and fought all sorts of opponents in Vollachia?
Anonymous
8/23/2025, 7:39:07 AM
No.281682132
[Report]
>>281682102
He got old anon.. he got old...
Anonymous
8/23/2025, 7:44:34 AM
No.281682196
[Report]
>>281681905
>A single blip before total annihilation
Anonymous
8/23/2025, 7:54:07 AM
No.281682288
[Report]
Wow, Tappei hates Roy. Forgets he exists, then when he remembers he just has him unceremoniously beaten again and again by a cripple and twelve year old
Anonymous
8/23/2025, 8:00:03 AM
No.281682344
[Report]
>>281682416
>re zero is dying!!!1!
oh no
anyway
the hype has been dead since arc 7 if we're being generous
you're a bit late on the doomposting
Anonymous
8/23/2025, 8:07:17 AM
No.281682416
[Report]
>>281682344
I'm "celebrating" the season 3/arc 9 kino
Anonymous
8/23/2025, 8:24:41 AM
No.281682550
[Report]
>>281682708
Rem tortured an innocent man without any reason btw
Anonymous
8/23/2025, 8:40:54 AM
No.281682708
[Report]
Anonymous
8/23/2025, 9:13:20 AM
No.281683033
[Report]
>>281682102
Hes getting more mind broken by the day, stabbed his father in the back, and now is being forced into a situation where he must kill little girls and people who are essentially family. Seems pretty reasonable desu
They added way to much cutesy anime only shit to S3. Only 2/3rds of the way through episode 1 and I'm already cringing and pissed off.
Anonymous
8/23/2025, 10:06:42 AM
No.281683520
[Report]
>>281683549
>>281683441
>watch S3E01
>the warm embrace of SoL overtakes me, finally a moment of peace where the cast can enjoy themselves, really enjoyed it
>you watch S3E01
>I'M PISSED OFF! THIS SHIT IS CRINGE MAN!
Explain this
>>281683520
Thats what those shitty post arc 2 pre arc 3 side stories are for. It doesn't belong in the main story. Not my ReZero.
Anonymous
8/23/2025, 10:12:53 AM
No.281683587
[Report]
>>281683613
>>281683549
If E01 is painful for you to watch, strap in for what's coming later. Have a beako in a yukata to steel yourself
>>281683587
I already know most of the LN changes to the arc are dog shit so my expectations are low.
I dropped season 2 after the tea party was raped for the same reason. I don't know if I'll make it to the end of s3 either.
Anonymous
8/23/2025, 10:17:58 AM
No.281683645
[Report]
I also gotta put on sunglasses for this shit because for some reason its so fucking bright and every single character looks like they're covered in oil.
I was promised better production values than s2 but so far so shit.
Anonymous
8/23/2025, 10:22:57 AM
No.281683683
[Report]
Anonymous
8/23/2025, 10:25:31 AM
No.281683704
[Report]
>>281683613
One of the things I realized after watching S3 is that this mad lad is one of the greatest characters in the entire series, simply because he is trying to take her off the street and save us from having to hear her singing. Kek
Anonymous
8/23/2025, 1:52:55 PM
No.281685604
[Report]
sad
>Through the rock box that had appeared in mid-air, Rem and Emilia's gazes met. Unlike Rem, who was nearly intimidated by the threat of the Authority, the light in Emilia's amethyst eyes was strong. That gave her courage
EMT
Anonymous
8/23/2025, 3:32:54 PM
No.281686711
[Report]
>>281685958
> Rem already accepted the fact that as long as Aldebaran is on the field they have no win condition
> Emilia is way too retarded to notice something is wrong when Aldebaran effortlessly parried her fifth attack in a row
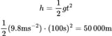
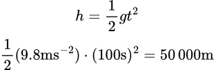
>valley takes 100s to fall through
baka such bad worldbuilding
>>281686983
forgot to add
>and yet it is only 5000m
For comparision, Mount Everest and the Marianas Trench are 10km each
Anonymous
8/23/2025, 4:01:02 PM
No.281687042
[Report]
>>281687002
for more reference, passenger planes cruise at 12km, and the earth's crust is at most 20km thick
Anonymous
8/23/2025, 4:05:42 PM
No.281687109
[Report]
>>281687309
>>281686983
>>281687002
Retard-kun please.
Do you think the earth is about 50km in width or something?
\Mount Everest is the 8000 meters range, where the fuck do you get 10km from.
Anonymous
8/23/2025, 4:09:46 PM
No.281687167
[Report]
>>281687309
>>281686983
> valley takes 100s to fall through
Where was that said
Anonymous
8/23/2025, 4:11:17 PM
No.281687191
[Report]
>>281687882
>>281681905
>went from 2.4 mil heights to 1 mil lows
I'm surprised the numbers are still this high wtf
Anonymous
8/23/2025, 4:20:26 PM
No.281687309
[Report]
>>281687167
The webnovel chapter itself also gives the same figures, after I apply google translate.
>>281687109
>Mount Everest
I was rounding, perhaps mistakenly.
>do you think the earth is 50km in width or smth?
No, but 50km would still get you beyond the crust and into the mantle.
If it's a case of them starting high up in the sky, then they'd be getting pressure sickness.
Anonymous
8/23/2025, 4:21:45 PM
No.281687326
[Report]
>>281686983
it's prob just a typo from tappei
Anonymous
8/23/2025, 4:23:49 PM
No.281687352
[Report]
>>281687495
It should take somewhere from 140-170 seconds for a human to fall from Mount Everest to sea level, depending on the person (different proportions and weights mean different terminal velocities)
Anonymous
8/23/2025, 4:34:03 PM
No.281687495
[Report]
>>281687507
>>281687352
ahh i see
>terminal velocity
damn it I forgot about that
>Human terminal velocities is around 55m/s IF belly flopping.
My calculation entails that they exceed that 5s in, spending the rest of the trip at a much higher 500m/s average. So my 50km claim is invalid.
150m is spent reaching 55m/s, with a remaining 5km of fall at steady 55m/s over 95s.
Anonymous
8/23/2025, 4:35:04 PM
No.281687507
[Report]
>>281687495
didn't mean to capitalise IF there
Anonymous
8/23/2025, 4:40:09 PM
No.281687569
[Report]
>>281692906
>>281681905
B-but Remfags told me that we would get a Remillion new readers if Tappei brought Best Girl™ back...
Anonymous
8/23/2025, 4:43:07 PM
No.281687611
[Report]
>>281687986
>>281681905
>blows his own agenda up
FUCKING KEK
Reminder that Pandora has done FUCK ALL despite being the supposed leader of the Witch Cult
Anonymous
8/23/2025, 4:46:20 PM
No.281687647
[Report]
>>281687612
How about that time she turned into a bird(s) (the funniest shit I have ever seen) and was the catalyst for all the kino in Arc 6?
Anonymous
8/23/2025, 4:56:58 PM
No.281687793
[Report]
>>281687899
What happens if the LN dies because le low readership?
Is Tappei allowed to continue writing the WN or would we get stuck with whatever ending Tappei manages to create in the 2-3 volumes he has before getting axed?
Anonymous
8/23/2025, 5:03:35 PM
No.281687882
[Report]
>>281689327
>>281687191
Its not that high when you consider the fact that this retarded website probably counts multiple sessions as multiple visits, even if they are from the same IP. For example, closing your browser and visiting the WN a week later for a new chapter probably still counts. The wording is ambiguous as fuck. Why? Muse Asia got the whole series on Youtube for free (region locked for some Western countries and Japan) and S3 views only averaged 250-300k. Most anime viewers stop at watching tiktok spoilers at most. Reading is reserved for hardcore fans. There's no way in hell this series has 1 million readers who frequently visit the site. Otherwise discussions wouldnt just stop at 100-500 comments for every chapter no matter what platform.
Look at the purple bars. 2016-2020 didnt have many chapters. I suspect that was the only period where the "real" (and pretty strong) readership stats could be seen.
Anonymous
8/23/2025, 5:04:58 PM
No.281687899
[Report]
>>281687974
>>281687793
LN would get axed but WN stays.
LN isn't manga so the bar is way lower, you would have to sell sub 500-1k to get axed and that's even if you are a popular author, e.g. nyarko-san author.
Re:zero volumes are selling around 10k at release currently so it's selling good.
Anonymous
8/23/2025, 5:09:43 PM
No.281687974
[Report]
>>281688164
>>281687899
Below 10k is 2015 numbers, before the anime. The trend is still down as of volume 41. What is your definition of "good"?
Anonymous
8/23/2025, 5:10:49 PM
No.281687986
[Report]
>>281687611
Blow what up you illiterate retard?
Anonymous
8/23/2025, 5:12:23 PM
No.281688009
[Report]
>>281683549
There’s a reason why the sales dropped off a cliff when the series went full shonenshit
Anonymous
8/23/2025, 5:13:51 PM
No.281688030
[Report]
>>281688070
>>281681695
What do you mean? It actually had good writing for a change
Anonymous
8/23/2025, 5:16:33 PM
No.281688070
[Report]
>>281688030
>4 day thread again
That what I meant
Anonymous
8/23/2025, 5:17:23 PM
No.281688080
[Report]
>>281687612
The Witch Cult is leaderless. They all do their own thing. She's the leader of an extremist Satella faction where as Juice was the leader of a moderate one.
>>281687974
10k is a solid hit so good, index does the same numbers currently.
Anonymous
8/23/2025, 5:24:57 PM
No.281688199
[Report]
>>281685958
Fucking gross, Emilia a shit.
Anonymous
8/23/2025, 5:25:44 PM
No.281688208
[Report]
>>281683441
It’s the only bit of levity in the arc and does good at reestablishing character dynamics and introducing plot points that come up later in the arc
>>281683613
>muh LN
The arc was already like 20 chapters of SoL stuff even in the novels, that only changes after the archbishops show up
>>281688164
Index fell off so thats a pretty shit comparison. Idk where you got the stats but if index's 10k = true then its sales number for their volume #51 lmao. Idk if rezero can even touch 10k 10 volumes from now like index.
The whole isekai novel genre also fell off. Thats why kadokawas isekai anime spamming strategy has finally started backfiring on them in the last 2 years
Anonymous
8/23/2025, 5:52:14 PM
No.281688736
[Report]
>>281673968 (OP)
Ram belongs to Barusu. Clown belongs to the chair.
Anonymous
8/23/2025, 5:55:52 PM
No.281688815
[Report]
>>281688667
And now, of all times, they're trying to appeal to the west with the most arcane restrictions on what they're allowed to include in these isekai writing contests.
>>281688164
Index has been going for 21 years, and no one talks about it because the only people interested in it are millenials that don't post about it in social media
Re zero has been going for 13 years, it is "popular" with the zoomers, and has the same fucking numbers
This series is dead, Tappei fucked up, I blame Vollachia, the amnesia plots and Emilia's lack of development
Anonymous
8/23/2025, 6:00:02 PM
No.281688904
[Report]
>>281695427
>>281688667
This isn't manga, you aren't getting 100k sellers that often, not even 50k.
E-sales are killing the printed format as well, sao progressive latest vol sold like 15k.
Anonymous
8/23/2025, 6:01:09 PM
No.281688928
[Report]
>>281692762
>>281682075
>Multiple page views from the same session = 1 IP count
No, your IP is your IP you illiterate fuck. It explicitly says it tracks IP. One IP revisiting or viewing multiple chapters counts exactly once, its unique users.
>This falloff is fucking insane
So what? Literally everything drops off over long periods of time. You're the one coping that a million people visiting a web page is bad, that's insane.
>Imagine saying One Piece lost almost 2/3 of its readers and is no longer mainstream
OP is still trucking along, but along with Dragon Ball is one of the few exceptions to this. But they also have constant content releases across a wide variety of formats to keep interest and aren't comparable.
Like Jesus Christ dude, you are grasping at straws so fucking bad, go back to your weird cope that Kadokawa is going to cancel Re Zero because Kadokawa's sales are down generally and like the genius business they are they'll cancel all their properties starting with the ones making them the most money first.
Anonymous
8/23/2025, 6:09:21 PM
No.281689126
[Report]
>>281688895
>and Emilia's lack of development
This is the original sin of Re:Zero it can never truly recover from. Emilia's negative development from Arc 1 into the brainless bimbo she is now is what you see in cheap OOC porn, not a serious development in a long running story. It's also a huge disservice to Remfags who torture themselves paying attention to the story instead of indulging in fantasies about her.
>>281687882
lol this hilarious cope.
>This series CAN'T have one million readers, the data must be lying, they track by unique IP but also that must count the same IP multiple times, because... it just must, OKAY?!
Most people don't have a Narou account to comment, most people that do wouldn't bother commenting, but somehow you think that's the sign of how many people must be reading. Youtube videos with tens of millions of views can have under a thousand comments, it depends on the general content, and some comment tab under the chapter isn't where people will go to talk about it.
>Look, it can't have one million readers, because this region locked free broadcast that excludes the west and japan which are two major markets only got viewed 300k times!
After people already watched it elsewhere, excluding two major markets, just S3 and it still has 300k views and you somehow think that means it can't have 1 million+ people interesting.
Random Rem artwork on twitter gets multiple millions of views sometimes. Various Re Zero related posts can have hundreds of thousands of views and I'm not talking about just pretty artwork anyone can enjoy, I'm talking about announcements. Most people don't even have or use twitter, so that hundreds of thousands is a mere tip of the iceberg of people interested in the series.
Your cope is just hilarious. Is it down from a peak during the S1 airing? Of course it is. That's when people are first introduced to check out the series because its new and being talked about. You can basically see the spike and immediate fall off is From Zero because that was hyped and got everywhere. People fall off because they tried it and didn't like it, they get distracted with new things and weren't core fans, or various other reasons. And what you get left with over time is the core fanbase, which here is easily over 1 million people because most people aren't going to interface with a website a lot of them can't even read.
Cope harder bro.
Anonymous
8/23/2025, 6:25:25 PM
No.281689492
[Report]
>>281688895
>Index has been going for 21 years, and no one talks about it because the only people interested in it are millenials that don't post about it in social media
Yet its still going. It whittled down to its core audience, its still known about generally, still generates art and discussion though its largely concentrated to the characters and events most people are familiar with that happened early.
Which is what happens with most series. The early formative stuff is what people thought was cool and people casuals take with them so its what people refer to the most.
Something running for more than a decade is impressive period even if it was actually "dead", but its not, its doing fine. It earned its place in anime icon status and gets to cruise along with whatever fairly large core audience it has.
Anonymous
8/23/2025, 7:01:31 PM
No.281690381
[Report]
Would Shaula kill me if I cut off her scorpion tail?
>>281686983
Subaru said he felt stronger after beating Rachins up in his third loop, so maybe gravity is just lighter in the re zero world
Anonymous
8/23/2025, 7:25:02 PM
No.281691016
[Report]
>>281691237
Anonymous
8/23/2025, 7:30:06 PM
No.281691142
[Report]
>>281690985
Yeah it could but it would need to be significantly weaker (0.1ms-2) to allow something to fall 5000m in 100s. (Though I guess the discrepancy being chalked down to air resistance doesn't rule out weaker gravity)
Anonymous
8/23/2025, 7:33:53 PM
No.281691237
[Report]
>>281691016
You misspelled "low gravity", anon, so silly
Anonymous
8/23/2025, 7:36:31 PM
No.281691306
[Report]
>>281680979
>r/Re_Zero.
You could have just said >>>Reddit ,faggitor
>Tappei is not bringing her back faggot
He just doesn't have the guts
>>281689327
>Most people don't have a Narou account to comment, most people that do wouldn't bother commenting, but somehow you think that's the sign of how many people must be reading.
I didnt mention narou comments you dumb fuck. Literally look at discussion elsewhere, on any fucking platforms. On twitter, the rezero japanese side rarely sees 5-100k views for the latest chapter to chapter discussion. Its even worse for the eng side. You rarely or never see a clip about arc 9 that has 500k views, let alone 1 million you retard. Even if you could find one on YouTube for example, look at the fucking comments. They are all fucking spoilers readers aka anime onlies, not the ones actually clicking on the chapters and reading them. If this shit truly has 1 million readers post 2022, anime viewership should be 10-20-30+ million. Show me one rezero clip that has over 10 million views since 2023 and only rezero viewers can understand the content of said clip. You fucking cant retard.
>people already watched it elsewhere, excluding two major markets
What a retarded argument. Asia, excluding China and Japan, has 3.2 billion people. Rezero is even more popular in the east just so you know.
>just S3 and it still has 300k views and you somehow think that means it can't have 1 million+ people
Just S3? Wtf does this have anything to do with my argument lmao?
Do you know how big the barrier between watching tiktok spoilers and actually reading the WN actually is, let alone between casually watching the anime vs reading the source materials?
See the 10-30 million figures above? Reality might be even more than that. If you really think more than 10% of all anime viewers actually bother to read the novel, you are a fucking retard.
>Random Rem artwork on twitter gets multiple millions of views sometimes.
I know better than you about this. Stfu retard. Also why do you keep bringing up non spoiler/anime related shit into a conversation about WN readers? Are you fucking illiterate?
Anonymous
8/23/2025, 7:59:04 PM
No.281691885
[Report]
>>281689327
>Various Re Zero related posts can have hundreds of thousands of views and I'm not talking about just pretty artwork anyone can enjoy, I'm talking about announcements
Retard. Stop talking about the anime side. Also I keep track of more shit than you think. Dont try to make up stuff on the spot. The jap S4 announcement that has Rem in the middle has 7.7 million views on twitter. Most of the comments and top comments literally were like "Rem???", "Im not caught up, why is Rem on a wheelchair like Kirito?", "why is this girl (meili) here?" etc, meaning a shit ton of those views also came from people that didnt even watch the shit
Anonymous
8/23/2025, 8:10:13 PM
No.281692160
[Report]
>>281692488
Web novel readers can't fathom the reality that 90% of re zero fans just watched the first half of S1 and only give a shit about Rem because she was iconic in 2016
Anonymous
8/23/2025, 8:11:37 PM
No.281692186
[Report]
post the official art of bow legged Rem again
Anonymous
8/23/2025, 8:21:30 PM
No.281692436
[Report]
>>281674304
Final fight is going to be Rem vs Petra while Emilia doesn't know what's going on.
Anonymous
8/23/2025, 8:23:36 PM
No.281692488
[Report]
>>281692160
>what is beteguese and rem confession kino being the most watched aka second half of s1
Your lie instantly broken, next cope?
>>281688928
Lmao here comes the train retard
I actually looked at the data source of the rezerodb.com site. Guess what? WCT is a retarded organization that uses a site that literally says 140 million unique people have read the web novel on Narou. Thats 20 million more than the Jap population and like 10 times more views than the most watched rezero clips. Kekwwwwwwwwwwwwww
https://kasasagi.hinaproject.com/access/top/ncode/n2267be/
Looks like a retarded site uses another retarded site to make a retarded graph. Still, that means the periods that have multiple chapter releases likely suffer from dupes, which also reinforces my point that 2016-2020 was the only period that had "true" stats.
Anonymous
8/23/2025, 8:42:35 PM
No.281692906
[Report]
>>281687569
>Muh Remfags
Keep seething.
Anonymous
8/23/2025, 8:43:08 PM
No.281692923
[Report]
>>281692762
>>281692785
"True stats" also implies that S1 and 2, or anything before 2021 were successful as fuck compared to everything after because of dupes
>>281692762
>>281692785
I'm retarded, someone explain?
>>281692948
>Rezero anon turns off his phone everytime he finishes reading a chapter
>Multiple chapter releases
>Retarded site actually counts them as separate "unique" visits
>Another retarded site uses that data to make a chart, but labels it as "Unique visits" and makes up the definition of said chart on the spot.
>This also implies that the period that had few chapter releases (2016-2020) likely didnt suffer much from the same issue, further demonstrating that rezero WN was successful as fuck back then vs now.
Anonymous
8/23/2025, 9:13:20 PM
No.281693766
[Report]
>>281693259
>Every readership drop from now on will be on top of "ackshually it didnt even drop from a million, but much lower"
Anonymous
8/23/2025, 9:57:54 PM
No.281694984
[Report]
Anastasia sex
Anonymous
8/23/2025, 10:12:47 PM
No.281695427
[Report]
>>281688904
>Esales
You mean the bookwalker 2024 chart that had mushoku tensei vol 26 at number 1 most sold and rezero being nowhere to be seen? Both are isekai y'know
Anonymous
8/23/2025, 10:29:39 PM
No.281695871
[Report]
> 4 day thread
It's over.
Anonymous
8/23/2025, 10:35:58 PM
No.281696035
[Report]
>>281698271
>>281693259
So the OG site is retarded and the ENG site is retardered, got it
Anonymous
8/23/2025, 11:05:01 PM
No.281696819
[Report]
>>281698310
What happens if Roswaal dies?
Idk how the soul transcription ritual is supposed to work, is Anerosse going to get mind-wiped and replaced the moment Roswaal dies?
Anonymous
8/23/2025, 11:54:47 PM
No.281697933
[Report]
>>281707918
>>281695343
> Android
Why are you poor?
Anonymous
8/24/2025, 12:04:19 AM
No.281698136
[Report]
Anonymous
8/24/2025, 12:08:50 AM
No.281698226
[Report]
>>281707937
>>281692785
Hey genius. How many people exist in the world? Oh, but I'm sure the self-serving explanation you pulled out of your ass that everyone checks the site from a phone ten times per chapter is true and not that the series was internationally popular so it somehow couldn't possibly have 1 million people across the whole of the world interested in it.
You are literally talking out of your ass to desperately cope and justify a narrative that has no basis in any part of observable reality.
Literally the most ignorant, retarded person in these threads and I don't even know why you fucking bother. You waste all your time desperately coping about how big a "failure" some show you utterly hate is and all you do is prove you're a fucking moron every single time.
Day in, day out, your entirely life revolves around a series you hate and your desperation to claim its failing.
Go tell Kadokawa if you're so confident, I'm sure they'll love to hear about how much money they're losing and would pay you handsomely for saving them so much.
Anonymous
8/24/2025, 12:11:06 AM
No.281698271
[Report]
>>281692948
>>281696035
No, the retard is retarded. Which scenario is more likely, that in a planet of 7 billion people that merely 1 million care about one of the most high profile isekai series of the last decade or, the readership is just one guy who checked the site with a phone that he powered off and turned back on and this refreshed his IP address one million times per day?
Because the second thing is the absolute horseshit you have to believe to buy the crap this retard is peddling.
Anonymous
8/24/2025, 12:12:46 AM
No.281698310
[Report]
>>281698702
>>281696819
Yes, he would become Annerose if he dies. And Ram would flip her shit.
>>281691613
>If this shit truly has 1 million readers post 2022, anime viewership should be 10-20-30+ million.
Lmao. There's these magic goalposts with no thought put into them that somehow also don't apply to any other anime. Where's the 30 million view MT video since you claim that has huge readership?
The highest view count video for MT on all of Youtube is 24 million and its the op from a couple years ago. Every single other video is under 10 million.
That video is still the only one that comes up if I search by English or Japanese. Guess MT can't be doing that well huh? Your sacred metric says its not, so it must not be.
Let's try Re Zero:
Two 32 million view videos for Styx Helix.
22 million for Realize
21 for Redo
20 million for a few other versions of the ops
16 million for Re Zero in 8 minutes
15 million for Long Shot
Rem has various clips over 5 million, the figure dancing video with her and Ram has nearly 9 million from a few years ago. And so on
Turns out people mostly only put forward 10 million+ views for a song that people repeat watch and other stuff is sub 10 million. So its a "stat" you made the fuck up because you're a desperate coping retard and even by the metric you pout forward you just fucking lost.
Anonymous
8/24/2025, 12:30:18 AM
No.281698702
[Report]
>>281698310
Would Ram become a based lesbian if Roswaal suddenly became a 10 year old girl?
Anonymous
8/24/2025, 12:32:13 AM
No.281698739
[Report]
>>281691613
>What a retarded argument.
You're the one jerking himself off over that perfectly fine viewership numbers that exclude major markets is a sign the series is literally dead dogshit.
>See the 10-30 million figures above?
Which ones? The ones you made up that Re Zero actually meets and your precious MT that is "alive and well and mega outsells Re Zero and is more popular" doesn't?
>If you really think more than 10% of all anime viewers actually bother to read the novel, you are a fucking retard.
No, I don't. Which is what *I* am saying and you are ignoring because you're a fucking dipshit. The WN gets one millions views of ONLY HARDCORE FANS. The actual interest and fanbase in the series is many, many, many times that. You're the idiot who looks across different platforms and says the series is dead if every single person interested in it isn't using every single platform that exists and therefore that the total sum of everyone interested in the series is just the lowest number of people you can find anywhere because you're such a fucking dumbass.
Your ass is over here claiming that only 100k to 300k period across the whole of the world are interested in the series based on your assertion that some streaming service somewhere the vast majority of humanity can't access has only that much.
You are literally the dumbest fucker on this entire site and you constantly owngoal yourself.
>Also why do you keep bringing up non spoiler/anime related shit into a conversation about WN readers?
Why did you? You brought up offsite views for the anime. You brought offsite tiktoks and youtube videos. You're the only one deseprately coping and moving the goalposts and screeching about how dead this series is because you're so fucking retarded and hate it so much.
It'll still be here when you're on your deathbed fucker, die mad about it.
>>281698573
And since you like tiktok and think tiktok is the end all, be all, I decided to look at that cancerous cesspool too. Same deal, MT is "alive and well and great" Re Zero is "dead as dogshit"
In the first set of results, re zero casually has videos reaching 100k, 200k, even 300k likes, note likes views will be much higher, within a few days. The highest recent MT video is 600k for some influencer milestone, other than that they have one at 750k from months ago back in may.
Scrolling through several hundred videos I haven't seen even a single MT video at 1 million plus on the EN side, even videos years old that are on the higher end of views for it.
That you're even trying to babble about tiktok views when those are public and all you can see is likes is laughable and shows that you're just talking shit out your ass. Just from a few months ago we've got the Rui scene from arc 6 fan animates at 600k likes.
So no, not seeing all these mythical 10, 20, 30 million MT videos you're bragging about to say how alive it is and MT is either on par of outright getting smoked by Re Zero on tiktok. Doesn't matter what language, Re Zero has more videos, the videos on average do better, with highlights on each side.
Now fuck you for making me have to check that cancerous bullshit.
Anonymous
8/24/2025, 12:53:43 AM
No.281699233
[Report]
Just throwing out there that Rem still has more artwork than all of MT combined on Pixiv. And Re Zero has 2.5 times that total. MT is roughly 5 years old while Re Zero is roughly 10 starting from when the anime made both far more mainstream than they were before (and you don't want to argue about this because claiming that MT was some mainstream gangbuster series before the anime only hurts the comparison against it further and its already not pretty)
MT also suffered the same typical drop for S2s that most things do and S2 was much less well recieved by basically everyone, so like Re Zero a lot of the generated art is from the first season and continues to include a lot of S1 characters and scenarios.
Anonymous
8/24/2025, 1:06:28 AM
No.281699504
[Report]
>>281686983
>free fall in a vacuum
If you take air resistance and the resulting terminal velocity into consideration you cover much less height in 100s.
Skydiving heights of around 4000m give you around a minute of free fall. Take 10km and it takes easily over 100s even if you try to fall as you can.
Anonymous
8/24/2025, 1:49:51 AM
No.281700399
[Report]
>>281690985
Wasn't that mostly just adrenaline?
Anonymous
8/24/2025, 1:52:31 AM
No.281700463
[Report]
Anonymous
8/24/2025, 1:56:43 AM
No.281700570
[Report]
Anonymous
8/24/2025, 1:58:47 AM
No.281700623
[Report]
>>281701491
Anonymous
8/24/2025, 2:15:50 AM
No.281701078
[Report]
>>281674304
Based. Rem is simply the best!
Anonymous
8/24/2025, 2:20:30 AM
No.281701188
[Report]
>>281702032
>>281674304
All according to keikaku
>>281700623
Al's willpower truly is amazing being able to turn her down.
Anonymous
8/24/2025, 2:58:42 AM
No.281701915
[Report]
>>281701491
What concerns me is her doing some sort of slime-sounding thing on me while doing the deed. That's a risk I'm unwilling to take.
>>281701491
speaking of which, why was Capella acting extra excited about Al? Is it part of the ruse or what?
Anonymous
8/24/2025, 3:04:45 AM
No.281702032
[Report]
>>281702706
>>281701188
I want to pound on this lewd oni so hard
Anonymous
8/24/2025, 3:05:17 AM
No.281702045
[Report]
>>281725175
>>281701970
> Acting as if Aldebaran isn't the hottest guy in the verse
Anonymous
8/24/2025, 3:31:08 AM
No.281702436
[Report]
> mfw no Yae footjob without losing a few gallons of blood
Anonymous
8/24/2025, 3:46:40 AM
No.281702706
[Report]
>>281702881
>>281702032
Longterm marriage and warm handholding over evening tea with Rem
Anonymous
8/24/2025, 3:55:44 AM
No.281702874
[Report]
Rem killed and tortured an innocent man for no reason btw
Anonymous
8/24/2025, 3:56:01 AM
No.281702881
[Report]
>>281702706
Like a true oni. I wish I could rape, breed and only THEN marry Rem as its the mating ritual of her race. Onis sure are a bunch of savages, but I love them because of it.
I want to watch as Rem's belly and breasts start to swell, and her nipples darken as she starts to fill with milk.
Anonymous
8/24/2025, 4:26:29 AM
No.281703470
[Report]
No one talks about the most important thing, subaru's outfit is awful.
It all started going downhill when it changed.
Anonymous
8/24/2025, 4:29:17 AM
No.281703524
[Report]
>>281704088
>>281703420
Shut up Tappei and write the next volume. We need to watch Subaru impregnate Rem by 2026 at least
Anonymous
8/24/2025, 4:42:38 AM
No.281703798
[Report]
>>281701970
Dirty jokes and edgy tryhards make her moist
Since tappei writes with the anime in mind, arc 10 will be KINO again to coincide with the arc 6 moments.
I think echidna will finally be back and rui regains her memory and fucks shit up again.
>>281703524
>preggo rem
TP already delivered.
That's what the IFs are for.
There is a reason why there is no EMILIA:IF story. Main route is Emilia route.
Anonymous
8/24/2025, 5:32:04 AM
No.281704713
[Report]
>>281714559
Such a perfect oni. Threadly reminder Rem is the only one pregnant in every route, its as if Rigel's birth was an universal constant
Anonymous
8/24/2025, 5:45:20 AM
No.281704918
[Report]
>>281703819
It will include a montage of a perfect loop, set to the tune of "Redo", the very first opening, as Subaru traces back through every connection he made.
Anonymous
8/24/2025, 5:48:32 AM
No.281704970
[Report]
>>281703819
> Since tappei writes with the anime in mind, arc 10 will be KINO again to coincide with the arc 6 moments.
Arc 7 went to shit in the second half of S2 btw
Anonymous
8/24/2025, 6:22:52 AM
No.281705511
[Report]
I wish the Witch Cult was more of a unified force instead of random murder hobos. They lost all their threat in Arc 5 when we were informed otherwise.
Anonymous
8/24/2025, 6:48:32 AM
No.281705833
[Report]
Emilia smells good, unlike other people I won't mention.
Anonymous
8/24/2025, 8:40:56 AM
No.281707207
[Report]
>>281680603
He let Ram take the gospel from him...
Anonymous
8/24/2025, 8:44:38 AM
No.281707248
[Report]
Chapter 48 when?
Anonymous
8/24/2025, 8:52:03 AM
No.281707328
[Report]
>>281707889
Chapter 48 when?
I don't know if Re:Zero fans know that Ram's VA has been boycotted by the entire anime industry group because she offended Yutaka Goto. She can't find a new job anymore and Re:Zero S4 might be her last job as a VA.
http://yaraon-blog.com/archives/273566
>>281707360
Eh, Inori Minase got off easily after that small scandal.
Anonymous
8/24/2025, 9:33:23 AM
No.281707787
[Report]
>>281707360
Or she just moved on in life.
>all those subhuman otaku comments
Truly deserve all the scorn they get.
Anyway ram song.
https://youtu.be/C9r6v3DjvHo?si=hR8W7lbt1HTrJMoP
Anonymous
8/24/2025, 9:42:22 AM
No.281707889
[Report]
>>281707328
You are so unnecessarily greedy, do you know that? Why can't you appreciate things like the rest of us normal people, why are you so greeedy.
Anonymous
8/24/2025, 9:44:50 AM
No.281707918
[Report]
>>281697933
>Flagship android phones are more expensive and even cheaper ones have better technology than Iphags
Why are you such a low tech faggot who only uses your phone to browse facebook? Whats the difference between Iphag 15 and Iphag 20?
Anonymous
8/24/2025, 9:46:45 AM
No.281707937
[Report]
>>281698226
>Oh lookkkk rezero has been read by 2% of the world population. LOOOKKKKK!!!!
Thats how retarded you sound. No need to write long paragraphs to explain your mental handicap lmao
Anonymous
8/24/2025, 9:52:51 AM
No.281707997
[Report]
>>281710353
>>281698573
>Let's try Re Zero:
Two 32 million view videos for Styx Helix.
22 million for Realize
21 for Redo
20 million for a few other versions of the ops
16 million for Re Zero in 8 minutes
15 million for Long Shot
You fucking retard. Those are fucking Music Videos. People blast them on loop lmaooooooooo
>Rem has various clips over 5 million, the figure dancing video with her and Ram has nearly 9 million from a few years ago.
Why do you keep bringing up anime shit that requires the least amount of familiarity with the series to understand in a WN readership conversation? Some fanmade dance video doesnt translate to WN readers you dumb fuck.
Why dont you try to explain why 142 million "people" have read rezero instead kekwwwww
Anonymous
8/24/2025, 10:00:08 AM
No.281708066
[Report]
>>281707360
she is align with Ram's personality
>>281699094
>Oh look le rezero tiktok likes
Since you are not familiar with tiktok like the boomer retard that you are, 500k likes = anywhere between 2.5m and 5m views. Its short form videos you dumb fuck. There's also zero 10 million view clip since the dawn of tiktok in 2018 if you exclude Rem. 142 million WN readers amirite kekwwww
Anonymous
8/24/2025, 10:02:53 AM
No.281708096
[Report]
>>281707778
This time it was different. Rie Murakawa offended the producer. Even Bandai Namco deleted all the live footage of Rie Murakawa in The Idolmaster's LIVE.
Perhaps the only job she could find was Precure, because Mai Fuchigami had also offended Akiyuki Shinbo, and she was excluded from the animation industry for many years. However, Precure hired her when she was excluded. I wonder if Rie Murakawa has the same good luck as Mai Fuchigami.
Anonymous
8/24/2025, 10:12:29 AM
No.281708197
[Report]
>>281709132
>>281707778
This time it was different. Rie Murakawa offended the producer. Even Bandai Namco deleted all the live footage of Rie Murakawa in The Idolmaster's LIVE.
Perhaps the only job she could find was Precure, because Mai Fuchigami had also offended Akiyuki Shinbo, and she was excluded from the animation industry for many years. However, Precure hired her when she was excluded. I wonder if Rie Murakawa has the same good luck as Mai Fuchigami.
https://www.allcinema.net/person/907788
Anonymous
8/24/2025, 10:13:04 AM
No.281708201
[Report]
>>281710433
>>281708083
Oh and also the most popular rezero tiktoks were still back in 2021 and 2022 lmao. 2022 was not a covid year just so our little retard knows in case he comes up with some retarded cope again.
>1 million monthly WN readers bruhh. Totally!!
>LN sales = 11k
>The worst conversion rate in existence belongs to rezero at 1%
Lmao
Again, you will never understand the simple fact that I constantly try to drill into your thick skull that tiktok kids only watch spoiler clips. They dont actually click on narou or wct you illiterate fuck. Read the fucking comments or just ask a random bitch about the details of arc 9 chapter 40
Anonymous
8/24/2025, 10:32:15 AM
No.281708382
[Report]
>>281710478
>>281699094
Oh and how about you shut the fuck up and stop lying? MT might not be more popular in the past but it is clearly more popular right now lmaoooo
Anonymous
8/24/2025, 11:41:10 AM
No.281709132
[Report]
>>281708197
>offended the producer
From the link you posted it seems like she didn't want to say a line, which I think is very unprofessional (because it was presumably a complaint brought up half way through)
But it seems very petty to blacklist them across the industry. It's sad that there are adult professionals who are so easily scorned and hurt.
Anonymous
8/24/2025, 11:43:13 AM
No.281709161
[Report]
>>281704088
Fuck off retard
Anonymous
8/24/2025, 1:02:34 PM
No.281709961
[Report]
these threads are grim
you got some real nutjobs in here
Anonymous
8/24/2025, 1:36:32 PM
No.281710277
[Report]
I can't believe Kadokawa hasn't canceled Re Zero with its millions of views, are they stupid? Why do they even bother making this shit if only millions of people care? Why don't they drop this shit and invest heavily in something that does worse? It doesn't make sense.
Anonymous
8/24/2025, 1:38:16 PM
No.281710292
[Report]
>>281712510
>>281707360
She didn't do a lot of voice acting before, she's mostly a singer isn't she?
Anonymous
8/24/2025, 1:44:21 PM
No.281710353
[Report]
>>281711125
>>281707997
>Those are fucking Music Videos. People blast them on loop lmaooooooooo
Yeah, I already said that you dumb fuck. You're the one who said anything else has 10, 20, 30 million+ views and MT commonly has such numbers. So where are they?
>Why do you keep bringing up anime shit
Why do you? You're the one who brought up anime videos as "proof" that MT has huge readership and gets 10, 20, 30 millions views a video. Where is it then? Looks like you moved the goalpost again when you got raped and now suddenly all those videos that don't exist that you said were the end-all-be-all proof don't matter.
What a pathetic little worm you are.
>Why dont you try to explain why 142 million "people" have read rezero instead kekwwwww
Because they have. Simple as that. Some number of IPs is going to be repeats from people having moved over ten plus years, but the number is still going to be in the millions or tens of millions. I'm not the one sitting here coping that an observable metric is "wrong" because it doesn't fit their narrative and that its actually fake because it just has to be so its actually a tiny number of people spoofing somehow. You can't show a single piece of evidence that would confirm the horseshit you're spewing. Literally making shit up.
Anonymous
8/24/2025, 1:50:04 PM
No.281710433
[Report]
>>281708083
>Since you are not familiar with tiktok like the boomer retard that you are, 500k likes = anywhere between 2.5m and 5m views.
Already said that too. Do you have any actual arguments besides proving you can't even read short posts and repeating things I already said that make your position worse? No? Then get lost, retard.
>>281708201
>into your thick skull that tiktok kids only watch spoiler clips
So? You said it was a metric that matters. You said it was the metric that matters for proof of life in a series. Never in my life would I bring up tiktok for anything, you did. Then you got destroyed on the point and now you're malding and seething and coping even harder.
>They dont actually click on narou
And? Kadokawa doesn't want them to click on narou either, its free. It doesn't directly make them cash.
>LN sales = 11k
Oh wow, it has above average LN sales, the horror. Kadokawa will definitely be cancelling it any day now as you say. The series is completely dead. Everyone who reads it is actually fake, it came to you in a dream. Kadokawa will definitely entirely cancel a series like that first and not the literally hundreds of other LNs they publish that do less than half that. Yep. You got it. What a rock solid argument you've been making for months and not just a pile of retarded cope.
Literally just fuck off, you offer nothing of any value to anything.
Anonymous
8/24/2025, 1:54:59 PM
No.281710478
[Report]
>>281708382
>Years old videos
You were the one who said they don't count my dude. Also those those are "anime videos" which you've said don't count for some reason.
At least try to pretend like you aren't constantly moving goalposts and seething about how wrong you are.
Anonymous
8/24/2025, 2:13:10 PM
No.281710678
[Report]
can you retards kill yourselves and stop arguing in here? nobody cares which shitty isekai attracts more retards
Anonymous
8/24/2025, 2:30:32 PM
No.281710876
[Report]
>>281703420
>>281704088
Oh, it's this retard again who always shows up to say the most dumb things.
Anonymous
8/24/2025, 2:33:10 PM
No.281710910
[Report]
>>281711348
MT surpassed Overlord while Re:Zero has been stuck at 13 million. Its really boggling how Re:Zero is still at 13 million after a new season. How is that even possible?
Anonymous
8/24/2025, 2:49:19 PM
No.281711125
[Report]
>>281711498
>>281710353
>You're the one who brought up anime videos as "proof" that MT has huge readership and gets 10, 20, 30 millions views a video.
What the fuck is this strawman bullshit lmaoooooooooo. WHERE the fuck did I say something like that? Why are you pinning your headcanon on me you stupid faggot
Obligatory self quote: "If this shit truly has 1 million readers post 2022, anime viewership should be 10-20-30+ million. Show me one rezero clip that has over 10 million views since 2023 and only rezero viewers can understand the content of said clip."
>Looks like you moved the goalpost again when you got raped and now suddenly all those videos that don't exist that you said were the end-all-be-all proof don't matter.
Nice description of your retarded ass lmao
>Because they have. Simple as that. Some number of IPs is going to be repeats from people having moved over ten plus years, but the number is still going to be in the millions or tens of millions.
So you admit that 2% of the world population has clicked on narou.com/rezero something and read it. Fucking lul.
Im so tired of arguing with low IQ retards.
>>281710910
Our resident retard who boasts that 2% of the world population has read rezero probably doesnt know this fact but rezero has crashed below 100k total yearly LN sales (all formats) in 2024 and been out of the top 10 yearly since 2022.
Lmaooooo
Anonymous
8/24/2025, 3:07:39 PM
No.281711379
[Report]
>>281711411
>Nooooooo people can't like Rem, they're not allowed! She's from S1 you're not allowed to like her or sell her or market the series with her!
>STOP LIKING REM
>STOP MAKING REM
>ITS NOT ALLOWED
>YOU CAN ONLY LIKE REGULUS
>A SERIES CAN ONLY BE GOOD IF YOU ONLY LIKE REGULUS
>STOP LIKING REM
>STOP IT STOP IT STOP IT
Fuck off retard
>>281711379
>Capslock-kun strikes again
You're a fucking retard who crashes out everytime someone calls out your baffling lack of common sense
Anonymous
8/24/2025, 3:14:00 PM
No.281711485
[Report]
>>281711348
Oh and in case he somehow tries to spin these facts again: rezero releases 4 volumes a year. Fucking kek
Anonymous
8/24/2025, 3:14:54 PM
No.281711498
[Report]
>>281711348
>Our resident retard who boasts that 2% of the world population has read rezero
No, you mentioned that. I didn't. If you could read posts and use that lump of fat in your skull you call a brain you would see I think the total number of people who have checked out the series on narou is in the tens of millions, as stated. You're the idiot who thinks tens of millions of people interacting with something means its "dead" and an abysmal failure (except for all that Rem stuff that sells, all the videos that people care about, all the pachinko, all the collabs and a million other metrics that "don't count because they're not fagulus")
When you're having to claim huge parts of the franchise don't count as part of the franchise to make this retarded assertion that a series is dead you've already fucking lost and gave up. Literal cope.
>probably doesnt know this fact but rezero has crashed below 100k total yearly LN sales (all formats) in 2024 and been out of the top 10 yearly since 2022.
Oh no, out of literally thousands of LN franchises Re Zero isn't in the top 10. Immient cancelation soon, I'm sure, just as you say. As soon as anything is out of the top 10 it's canceled instantly. That's why there's only 10 LN series at any one time.
>>281711125
>WHERE the fuck did I say something like that?
When you said that MT DOES have millions of readers post 2022 and therefore what's good for the goose is good for the gander. If 10,20,30 million video views is the proof of 1 million readers then where is it for MT which you claim has many more than that? You're the one who brought up a retarded metric to say this proves something, then denied those videos count when you were BTFO'd and also doesn't apply the same logic to the series he is shilling like a literal retard.
Anonymous
8/24/2025, 3:17:16 PM
No.281711528
[Report]
>>281711784
>>281711411
>Says the moron malding and screeching for years now that Re Zero is done and pissed and shat himself when S2 was made, S3 was made after that, and that surely S4 wouldn't b-- oh no, S4 was made too, back so shitting himself in terror
What I don't get is why you spend your whole life obsessesing over a series you hate, with characters you hate and that its just seconds away from having the plug pulled, and nothing made for it ever again. Literally what the fuck is the point of you screeching and being wrong for years and then never learning?
Anonymous
8/24/2025, 3:19:07 PM
No.281711555
[Report]
>>281711645
Even if the series was professionally canceled Tappei is still just going to finish out the WN so I don't even know what this schizo thinks he gets out of it. Fans aren't going anywhere either, Rem will still show up on his timeline or whatever is triggering him so bad.
Anonymous
8/24/2025, 3:20:45 PM
No.281711589
[Report]
Oni boobs
Anonymous
8/24/2025, 3:20:54 PM
No.281711591
[Report]
>>281711411
>everytime someone
Its literally just you alone screeching at the wind, buddy. Have one of those Rems you hate so much and die mad about it.
Anonymous
8/24/2025, 3:24:45 PM
No.281711645
[Report]
Anonymous
8/24/2025, 3:35:11 PM
No.281711784
[Report]
>>281711528
>>Says the moron malding and screeching for years now that Re Zero is done and pissed and shat himself when S2 was made, S3 was made after that, and that surely S4 wouldn't b-- oh no, S4 was made too, back so shitting himself in terror
Story of the life of this retard:
>Wakes up
>Makes up strawman arguments
>Deflects
>Regurgitates his headcanons for days on end
Is this how you talk with other people? Is there a ghost haunting your deteriorating schizo mind? I pity your parents kekw
These threads are basically already dead, when the WN ends these threads will disappear from this board, unlike SNK which still managed to get a thread made every so often this series won't have any staying power and nobody is going to stick around for the anime adpatation years from now considering what a shit show season 3 was.
Anonymous
8/24/2025, 3:42:07 PM
No.281711878
[Report]
I too hate the anime (and LN). It's a shameless rape of the source material by editors and producers. When I see animeonlies praising it I get physically ill. I swear the push toward shounenshit in the WN is correlated with the anime. The series changed in after arc 4 as soon as money got involved.
Anonymous
8/24/2025, 3:51:35 PM
No.281712034
[Report]
>>281712116
>>281711851
>when the WN ends these threads will disappear from this board
I'll make sure to check this in 10 years
Anonymous
8/24/2025, 3:55:49 PM
No.281712116
[Report]
>>281712034
You won't be here in 10 years anon, I certainly won't be sticking around.
Anonymous
8/24/2025, 3:58:44 PM
No.281712186
[Report]
>>281712253
You shouldn't even be here in the first place.
Posting in 4chan is not real human interaction, and it will never be.
Anonymous
8/24/2025, 4:01:39 PM
No.281712253
[Report]
>>281712186
I'm not a real human
>>281711851
142 million people have read this novel anon. Dont be so pessimistic kekw
Anonymous
8/24/2025, 4:05:59 PM
No.281712350
[Report]
Anonymous
8/24/2025, 4:16:04 PM
No.281712510
[Report]
>>281710292
She wasn't even given a close-up shot at The Idolmaster's live concert.
All of her appearances are in long shots. Among the entire The Idolmaster Million Live team, the only one who does not have a close-up shot is Rie Murakawa.
Anonymous
8/24/2025, 4:17:20 PM
No.281712531
[Report]
>>281712632
Anonymous
8/24/2025, 4:17:40 PM
No.281712538
[Report]
>>281717554
>>281712328
Reading comprehension anon, I'm talking about threads here.
Anonymous
8/24/2025, 4:19:37 PM
No.281712574
[Report]
>>281712632
Anonymous
8/24/2025, 4:22:36 PM
No.281712630
[Report]
She stood in the front row, but the close-up shots always avoided her.
Anonymous
8/24/2025, 4:22:47 PM
No.281712632
[Report]
>>281712531
>>281712574
God it must reek in that audience
Anonymous
8/24/2025, 4:26:16 PM
No.281712685
[Report]
> Idolposting on /a/
This has to be illegal, John 4chan, do something
Anonymous
8/24/2025, 5:22:10 PM
No.281714042
[Report]
>>281716629
If someone this pretty is paying attention to me I would fall in love too.
Anonymous
8/24/2025, 5:23:12 PM
No.281714070
[Report]
>>281716629
Anonymous
8/24/2025, 5:24:15 PM
No.281714103
[Report]
>>281716629
Anonymous
8/24/2025, 5:38:10 PM
No.281714559
[Report]
>>281704713
I hope so, because he is best boy.
Anonymous
8/24/2025, 6:27:05 PM
No.281716085
[Report]
I like Rem's armpits
Anonymous
8/24/2025, 6:33:45 PM
No.281716281
[Report]
>stop liking re zero
no
Anonymous
8/24/2025, 6:44:58 PM
No.281716629
[Report]
Anonymous
8/24/2025, 7:15:41 PM
No.281717554
[Report]
I'm losing interest in Arc 9
Everything ending up with a few casualties and the whole thing being a failed loops seem like the only realistic options at the moment, and they both are shitty outcomes for different reasons
Having Petra losing her mind because of the Authority of Melancholy and a few side characters dying feels as if Tappei is just taking the chance to kill random people while he can without having to make excuses of why the Big Reset Button didn't kill himself and tried to get a better outcome
Having Subaru just die and going back to The Tower™ would mean having Subaru willingly erasing Rem from existence again and Petra will most probably never have the chance of being relevant ever again
I'm just hoping we get some fluff before getting into the endgame, because as a reminder, Subaru has been going nonstop since Arc 5 with like a week between Arcs 5 and 6 and two days between Arcs 8 and 9
Anonymous
8/24/2025, 7:41:45 PM
No.281718371
[Report]
>>281717716
>erasing Rem from existence again
Good, her asspulled return was awful
>Petra will most probably never have the chance of being relevant ever again
Good
Anonymous
8/24/2025, 7:52:04 PM
No.281718713
[Report]
>>281717716
>Everything ending up with a few casualties
I don't think Tappei will begin GoT like character elimination this arc, either only 1 major person will be left like in arc 6 and 7&8 and it will be Al, or he will pull out his lame coma card again
Anonymous
8/24/2025, 8:41:54 PM
No.281720341
[Report]
Emilia sexo (without love)
Anonymous
8/24/2025, 10:13:10 PM
No.281722751
[Report]
>>281720901
I feel like I would lose my intestines during or after the deed, so no
Anonymous
8/24/2025, 10:38:05 PM
No.281723352
[Report]
Why are you retards letting the thread die?
Don't you care about Emilia anymore?
Don't you love her and stuff?
Anonymous
8/24/2025, 10:51:52 PM
No.281723630
[Report]
>>281724232
So Beako is having sex with Subaru right now. How does that make you feel?
Anonymous
8/24/2025, 11:16:35 PM
No.281724232
[Report]
>>281723630
Wrathful, Julius should be the one pounding Subaru
Anonymous
8/24/2025, 11:31:22 PM
No.281724623
[Report]
>>281724972
qrd on chapter 47?
Anonymous
8/24/2025, 11:47:11 PM
No.281724972
[Report]
>>281732837
>>281724623
> Petra's POV
> Lil flashback of Petra, Garfiel and Frufoo unSEALING Otto from his wire cocoon and assumedly explaining shit to him so he can throw bugs at Roy's face later
> Shift to Rem's POV
> Aldebaran effortlessly parries everything Rem and Emilia throw at him and Yae
> Rem starts despairing because they are in a 100 second timer before landing and Aldebaran hasn't been hit once
> Emilia starts hopemaxxing and Rem start believing they can do it fr fr no cap
> Aldebaran separates from Yae to do something(? and she ends up stalling in a 1v2 vs Emilia and Rem
> Shift to Roswaal's POV
> Alcanica and Clind are still fighting
> Roswaal is literally dying lol lmao XD kek rofl pog bruh
> == To Be Continued==>
Anonymous
8/24/2025, 11:53:09 PM
No.281725109
[Report]
>>281695343
>based mom gives Rem a cute dress
God tier
Anonymous
8/24/2025, 11:56:11 PM
No.281725175
[Report]
>>281702045
Pretty sure the hottest guy is Puck.
Anonymous
8/25/2025, 12:23:58 AM
No.281725711
[Report]
>>281726823
>so awful in developing new central characters in volsomethingcha that the og crew is who needs to fight everyone
UMPH
Anonymous
8/25/2025, 1:15:36 AM
No.281726823
[Report]
>>281727647
>>281725711
Are you smelling toast, anon?
Anonymous
8/25/2025, 1:53:48 AM
No.281727647
[Report]
>>281730206
>>281726823
I'm not an american, is this some sarcism or diss at tappei.
>>281728268
> "I will once again imprint upon you who I am, so that you will never forget. I, Ezzo Cadner of Gray, will be the one to overcome the Divine Dragon!"
Ezzo MY GOAT
I knew he wasn't done, I knew he still had a chance to do something in the main story
Ezzo is the only person in the verse that has managed to harm Reinhard with regular magic, so if Volcanica's magic-absorbing halo works the same as Reinhard's defective gate, there is a chance of him actually winning
>In terms of disrupting the balance of the world, it was a spell comparable to the numerous forbidden arts erased from existence by Od Lagna. The reason this was not eradicated as a forbidden art was simply because there was no one capable of using it. In the past, the only two who realized this same grand magic—no, super magic—were the 'Witch of Greed' Echidna and the 'First Sorcerer' Myonmyon. This super magic, which stepped into the realm of taboo, was not an act of 'destruction,' but a single arrow of 'negation.'
Interesting Myonmyon lore drop. The Magic referred to here is Ros’ fivefold. I wonder when we’ll finally get to see sixfold.
Clind is also waaaay stronger than previously thought. It’s to the point where I wonder how Subaru even managed to overcome him in Kasaneru. Maybe Echidna knew of a way to seal off his power somewhat?
>>281728901
Imagine the seethe if Ezzo actually beats Alcanica into the dirt even after Ros and Clind failed :o
Anonymous
8/25/2025, 3:54:02 AM
No.281730206
[Report]
>>281727647
NTA but "smelling toast" means he's implying you're having a stroke
Anonymous
8/25/2025, 4:17:30 AM
No.281730646
[Report]
>>281729983
> It’s to the point where I wonder how Subaru even managed to overcome him in Kasaneru.
He fought Subaru as an Authority User, not as a dragonkin
Anonymous
8/25/2025, 4:18:35 AM
No.281730674
[Report]
>>281730884
>>281728901
The fuck is this? Ezzo has green hair.
Roswaal will never recover if some fucking dwarf out magicks him.
Anonymous
8/25/2025, 4:22:09 AM
No.281730741
[Report]
Clind seething at Reid's existence 400 years after his death is so fucking funny
>>281728268
Basically covering the dragon fight that was offscreen last chapter. Clind and Roswaal are throwing around some serious bullshit but the divine dragon is pretty much invulnerable. It has its scales which make it impervious to physical attack and an aura that makes it immune to magical attack and without getting rid of both the dragon core can't be attacked. The physical side is slightly already covered, as Reid has wounded Volcanica in the past while trying to eat him and the vulnerable spot remains, but the magic side needs work. Also Reid (the sword) would work, but they don't have that.
Roswaal was apparently injured and on death's door last chapter because he did it too himself busting out too much magic, but it wasn't enough to break the aura. Ending is Ezzo showing up to try and outdo Roswaal.
Roswaal also had a line in part of the chapter that sounds like a set up to his future vision line.
>That's Roswaal L. Mathers’ vow: a thorny road he decided to walk alone.
>So――,
>"――I will transcend this issue with my entire existence."
Maybe he has to team up with Ezzo to pull it off and they can both be annoyed about it.
Anonymous
8/25/2025, 4:29:18 AM
No.281730884
[Report]
>>281731113
>>281729983
> Imagine the seethe if Ezzo actually beats Alcanica
Imagine wasting 400 years and 12 lives just to be outdone by a literal 20 year old ignored by society
>>281730674
It is the only Ezzo fanart in existence, don't be picky.
>>281730884
>It is the only Ezzo fanart in existence, don't be picky.
Not true.
Anonymous
8/25/2025, 4:43:03 AM
No.281731156
[Report]
>>281732453
>>281730817
>as Reid has wounded Volcanica in the past while trying to eat him
I made this as a meme, but I knew it happened.
Anonymous
8/25/2025, 4:49:49 AM
No.281731274
[Report]
>>281731322
>>281731113
Okay, I wanted a fanart of Ezzo aurafarming, I'm sorry
Anonymous
8/25/2025, 4:53:05 AM
No.281731322
[Report]
>>281731274
You can't feel his radiant aura coming off that image?
Anonymous
8/25/2025, 5:01:07 AM
No.281731478
[Report]
>>281732141
>2 chapters a thread
The absolute state of Rezero
Anonymous
8/25/2025, 5:10:39 AM
No.281731665
[Report]
>>281731113
>Like all art of Flam and Grassis is porn
lmao. I think by ratio they're probably the biggest sluts in Re Zero.
Anonymous
8/25/2025, 5:26:11 AM
No.281731973
[Report]
>>281720901
Fool, why do you think an assassin for hire has agreed to marry you?
I really wish I could fix her =(
Anonymous
8/25/2025, 5:35:25 AM
No.281732141
[Report]
>>281732185
>>281731478
Idk man, threads are always slow, it just happen that Tappei released two chapters in two days this time
>>281732141
Retard. Every chapter thread hit the bump limit in 1-2 days in the past, but not in the last few months
Anonymous
8/25/2025, 5:51:18 AM
No.281732432
[Report]
Anonymous
8/25/2025, 5:51:37 AM
No.281732434
[Report]
>>281732512
>>281732185
There were plenty of 4 day threads before S3 aired, idk what to tell you
The only people that would bother to post here are people that are into re zero, are up to date with the web novel/read summaries of what is happening and can't speak japenis
It is completely normal for threads to get slower when the only pieces of media to talk about are poorly AI translated chapters of a WN that will get properly translated a week from now and side stories that nobody reads, it happens to 99% of LN/WN threads
Anonymous
8/25/2025, 5:52:50 AM
No.281732453
[Report]
>>281732485
>>281730817
I can imagine them doing it while throwing shades at eachother.
>>281731156
Wasn't it mentioned in a sidestory?
>>281732185
>Tappei updates at completely random times with no rhyme or reason so people don't know when to look and schedules don't work
Gee, I wonder why. Totally a mystery. Re Zero just must be dead and Kadokawa will cancel it and force Tappei to take down the WN too, I'm sure. Maybe go door to door to try and destroy all the Rem figs while they're at it, like you say. Definitely what's going to happen.
Anonymous
8/25/2025, 5:54:25 AM
No.281732485
[Report]
>>281732663
>>281732453
It was mentioned he ate the dragons into extinction/fleeing/dragonkin but not that he attacked Volcanica I don't think. But there's a bunch so maybe it was brought up in one of them.
Anonymous
8/25/2025, 5:54:29 AM
No.281732486
[Report]
>>281732537
qrd on chapter 48?
Anonymous
8/25/2025, 5:56:12 AM
No.281732512
[Report]
>>281732434
No this is totally unique to Re Zero and its the only dead franchise in the world. Kadokawa is going to destroy all trace of it any day now at great expense to themselves to save themselves money by not getting any money from the franchise anymore. It just makes sense.
Anonymous
8/25/2025, 5:57:20 AM
No.281732537
[Report]
>>281732462
This retard is still clutching his strawmen lmao. Stop making up scenarios in your head and pinning them on other people when you cant refute a single argument coherently you retarded faggot
Anonymous
8/25/2025, 6:03:26 AM
No.281732632
[Report]
>>281732670
>>281732562
Hey man, I'm just agreeing with all your brilliant insights into the industry and all the totally correct and not retarded conclusions you came to. There is exactly one successful series in the whole world and then nothing else matters or makes money. As soon as a series isn't number one its instantly axed, canceled and destroyed from all public consciousness. That's just what normal businesses always do, as you say.
Businesses definitely cut costs from the top down starting with their most revenue generating and successful ventures and save all that money for the unprofitable and experimental shit nobody cares about.
It just makes perfect sense, its how every company is run.
Anonymous
8/25/2025, 6:03:32 AM
No.281732637
[Report]
>>281732771
>>281732462
>>Tappei updates at completely random times with no rhyme or reason so people don't know when to look and schedules don't work
Headcanons are pretty much a staple for our resident retard lmao. Let me try your strategy for once. Sooooo now you're admitting that less people give a shit about the rezero WN than usual? Kekwwwww
Anonymous
8/25/2025, 6:05:24 AM
No.281732663
[Report]
>>281732749
>>281732485
The Dragon Sword was described as being wielded against Volcanica in the past
Anonymous
8/25/2025, 6:05:29 AM
No.281732670
[Report]
>>281732735
>>281732632
Nice samefagging. Hope you have already reset your router and are about to post a pic of your totally not samefagging evidence kekwww
>>281732562
Well what's your argument then? My eyes have been rolling into my head trying to figure out what either of you retards are on about and I've never seen you make a single statement about what all this inane babble you keep bringing up is supposed to mean. You seem to get really buttflustered when someone makes random inferences about what you're getting at but you never say what you're even trying to get at. The best I've got really is just that meme, you hate Rem and can't stand to see her anywhere and think a series riding on her back is cheating somehow and shouldn't exist. I legitimately don't get it.
Anonymous
8/25/2025, 6:09:24 AM
No.281732735
[Report]
>>281732670
>One post
>Samefagging
What are you even smoking you fucking dipshit?
Anonymous
8/25/2025, 6:10:23 AM
No.281732749
[Report]
>>281732789
>>281732663
The Reid sword is so cool when Reinhard isn't the one wielding it
Anonymous
8/25/2025, 6:11:40 AM
No.281732771
[Report]
>>281732821
>>281732637
Yes retard. When he was updating at his actual scheduled time people would sit around in the thread talking shit and waiting to see if he would update. Then he wouldn't, people would call him a hack and the thread would die. If he updates then a bunch of people would read the chapter and talk about it and comment on it. It goes faster when more people are active at once because they have rapid replies and not playing reply tennis back and forth over hours. Its not rocket science buddy, but thanks for confirming how much of a newfag tourist you are you coping retard.
Anonymous
8/25/2025, 6:13:16 AM
No.281732789
[Report]
>>281732749
It would be the same with Reinhard wielding it, he just wasn't trying to kill the country's own guardian dragon for obvious reasons.
>>281704088
still waiting for the EMT win to happen
it's been 4 years
Anonymous
8/25/2025, 6:15:17 AM
No.281732813
[Report]
>>281732562
So when S5 happens you an hero or what? Or just cope like you coped about every other season you said never would happen that happened?
>>281732771
So if I can find 10 instances where chapter threads getting updated at random times still ended in 2 days in the last 4 years, you will admit that you are a retard?
Anonymous
8/25/2025, 6:16:18 AM
No.281732827
[Report]
>>281732792
It been ten years bro... just two more arcs... Trust the plan...
Anonymous
8/25/2025, 6:17:00 AM
No.281732837
[Report]
Anonymous
8/25/2025, 6:17:56 AM
No.281732852
[Report]
>>281732963
>>281732821
No? Why would any inane condition you pulled out of your ass matter? I was there and know how the threads work, you're just a coping retarded newfag tourist screeching about how much he wishes the series was dead and shits and pisses himself to sleep every night because it isn't and won't die.
>>281732716
>>281732716
Illiterate retard. My argument is S3 was not "extremely successful". Always has been. Never backed down once cause some rezerofags are retarded as fuck and keep posting half-assed shit that usually gets obliterated within hours.
Learn how to read retard or stay the fuck out especially when you clearly dont even know the context in previous threads. I mean you can even tell what I'm trying to say in this thread just like our resident "muh 142 million readers" retard if you have an IQ above room temperature lmao
Anonymous
8/25/2025, 6:24:39 AM
No.281732947
[Report]
>>281732988
>>281732821
I know you're a tourist, but most of the threads in the last four+ years had spamming shitflinging contests that only ended in the last couple months when the Emiliafag seems to have finally crawled off and died. Which is an improvement, I don't give a fuck about threads being fast if the only reason they are is obnoxious spam and shitposting. Only some newfaggot like you cares about threads being fast or think it signifies anything but how much shit is being puked out on the board. If you like fast threads so much go join your fellow faggots in /dbs/ or /csm/ or some other garbage.
Anonymous
8/25/2025, 6:25:44 AM
No.281732963
[Report]
>>281732852
>Threads updated at random times dont attract people bros
>What about several threads updated at random times that still attracted people? What was your retarded argument again?
>I dont care fuck off I love reeeeeezero
Kekw
Anonymous
8/25/2025, 6:27:25 AM
No.281732988
[Report]
>>281733032
>>281732947
Im talking about chapter threads you illiterate fuck.
Anonymous
8/25/2025, 6:27:48 AM
No.281732994
[Report]
>>281733071
>>281732904
>My argument is S3 was not "extremely successful"
So some weird strawman with conditions you can't even specify as seen by all the weird arbitrary conditions you assign like that all the sales of everything don't count because they don't? Why do you keep saying the series is totally dead and coming up with weird metrics that have nothing to do with anything to prove it if all you want to say is that S3 didn't do that well by some mysterious and ever shifting metric you never seem to stick to or apply to anything else? The only people who need to care if S3 did well by whatever metric is execs at Kadokawa and you can tell what they think about it by what they do.
Anonymous
8/25/2025, 6:29:04 AM
No.281733015
[Report]
>>281688164
Index has shitty adaptions and they’re incredibly rare as well
Anonymous
8/25/2025, 6:30:53 AM
No.281733032
[Report]
>>281733129
>>281732988
Those are the chapter threads you newfaggot. Chapter comes out, people talk about it for a bit, then its the same garbage spam for 400 posts. If it was an especially spicy or notable chapter maybe the discussion lasts 200 before 300 spam posts. The last time thread long discussion was had for the WN was all the way back at the start of Vollachia before everyone figured out the arc was actually shit.
Anonymous
8/25/2025, 6:34:02 AM
No.281733071
[Report]
>>281733125
>>281732994
>some weird strawman with conditions you can't even specify as seen by all the weird arbitrary conditions you assign like that all the sales of everything don't count because they don't?
Look at our resident retard lmaooooo. What sales numbers that I havent touched upon in all these threads? I have always been the one to bring up those sales figures cause most rezerofags are lazy and oblivious as fuck and only read headlines like the retard that they are just so you know. Fucking kekwww
>coming up with weird metrics that have nothing to do with anything to prove it if all you want to say is that S3 didn't do that well by some mysterious and ever shifting metric you never seem to stick to or apply to anything else?
Are you talking about the "muh 142 million readers" faggot? If no, prove it you fucking retard cause some of my replies were just going along with his retarded strawmen. Read better lmao
>>281732904
>just like our resident "muh 142 million readers"
You are quite literally the only person in any thread to ever bring that up or say that. Period.
>Never backed down once
What happened to all your 30 million view tiktok videos that MT had because MT totally does have millions and millions of WN readers and that's the absolute proof of such a thing? You jumped right off that train real quick when the simple problem that such things don't exist came up.
So you were arguing about S3 this whole time supposedly but the "anime shit" doesn't count? You said that a lot. Nothing for Re Zero counts because it was all "anime shit", but if your entire premise is about the success of the anime then "anime shit" is literally the only thing that counts or matters. So why didn't "anime shit" count if "anime shit" is your only point to begin with? So funny how you can't even stay consistent for 5 seconds and are just a seething, coping, malding machine that doesn't know dick about anything.
Anonymous
8/25/2025, 6:37:04 AM
No.281733108
[Report]
>>281733095
I don't but this faggot(s?) can go too.
Anonymous
8/25/2025, 6:38:39 AM
No.281733125
[Report]
>>281733071
You seem to be very upset and also incapable of reading or following a reply chain. I was just curious and I got my very poor answer so I'll leave you to this actual resident retard that you think everyone is.
Anonymous
8/25/2025, 6:38:46 AM
No.281733129
[Report]
>>281733210
>>281733032
Thats why I specifically said in the last 4 years you dumb fuck. I know that everything before the end of S2 was successful. I was addressing his retarded cope about random updates.
Also even if they were spamming, it still means that more people were active here. Now even spammers have lost all interests
Anonymous
8/25/2025, 6:41:13 AM
No.281733158
[Report]
>>281733296
>>281733090
BTW the reveal teaser thing they did for S4 has almost 2 million likes on tiktok which by retard magic translates to 10 million views. But supposedly that didn't count because its "anime shit" when the entire discussion was apparently actually about S3 and the anime the whole time. Wild. What a special retard.
>Begging for spammers to return
>threads kept alive by salesfaggotry
>little interest in anything that’s going on in the arc
The one-two punch of vollachia and the threads becoming petr/a/ killed the series.
Anonymous
8/25/2025, 6:45:15 AM
No.281733210
[Report]
>>281733232
>>281733129
>Now even spammers have lost all interests
Which is a good thing you newfaggot. And those things aren't unrelated. Spammers spam the thread, the threads become shit and unusable, people leave because all the threads are the same shit spam, the spammer gets bored, the thread stays dead. But somehow your newfaggot ass takes all that information and comes to the conclusion that actually nobody reads the series and not that people just avoid cancer like the cancer it is. Is that your game? You think the threads aren't shit enough because some people still make and post in them so you're here to be a new breed of fucktarded to try and drive off the rest?
Anonymous
8/25/2025, 6:46:44 AM
No.281733222
[Report]
>>281733239
>>281733198
>becoming petr/a/
No, that would be an improvement. Petra is based. Now it would be more based if she dies or kills Subaru for maximum kino..
Anonymous
8/25/2025, 6:47:15 AM
No.281733232
[Report]
>>281733210
NTA but I'm an anime-only that got stabbed in the heart by the From Zero Rem scene and now I'm going to lurk these threads for the next 10 years until Rem shows up in a new anime adaptation
>>281733090
>happened to all your 30 million view tiktok videos that MT had because MT totally does have millions and millions of WN readers and that's the absolute proof of such a thing?
This fucking retard cant stop making big and strong strawmen can he? Lmao
I said if rezero had 1 million readers who actually clicked on narou in the big fucking 2025, anime viewership aka the people that watched S3 should be 10-20-30 million+ or even more
Your fucking retarded ass keeps bringing up MT when both series dont even have that many readers. Fucking retarded faggot.
Also the most popular tiktok from MT in the last 2 years has almost 18 million views. Rezero is nowhere to be seen. Next copeeeee lmao
>>281733198
>>281733222
Really its the Al cycle that killed the momentum. Too many irrelevant characters right now that have dragged everything down into constant shounen shit. Arc needed to be tight and focused.
Anonymous
8/25/2025, 6:50:23 AM
No.281733267
[Report]
>>281733331
>>281733233
>Your fucking retarded ass keeps bringing up MT when both series dont even have that many readers
You said it did. Because MT is successful and Re Zero isn't with the metric you gave being WN readers and you pulling out of your ass that the data you yourself provided was actually wrong because you don't like what it says so you made up a fanciful world where it doesn't say what it says.
Anonymous
8/25/2025, 6:51:45 AM
No.281733282
[Report]
>>281733239
>Arc needed to be tight and focused.
Like Petra.
Anonymous
8/25/2025, 6:52:48 AM
No.281733296
[Report]
>>281733158
>reveal teaser thing they did for S4 has almost 2 million likes on tiktok which by retard magic translates to 10 million views
This retard is hallucinating shit lmooooo. The teaser on the official rezero tiktok account only has 1.8M views and 187k likes. You cant even fucking tell views and likes apart what a dumb fuck. Unfortunately, I keep track of all these stats so you probably shouldnt engage in this conversation unless you want to get fucked lmao
https://vt.tiktok.com/ZSAUNXhfo/
Anonymous
8/25/2025, 6:55:32 AM
No.281733331
[Report]
>>281733267
>You said it did
>Proceeds to elaborate about weird claims that the other guy didnt make at all
I stopped reading after the first line. Next!
Anonymous
8/25/2025, 6:57:01 AM
No.281733350
[Report]
>>281733446
>>281733233
Your entire basis for all this spam is a strawman to begin with. Buttmad that Re Zero was successful but oh no, not "extremely successful" something nobody said anywhere and is nebulous as fuck. It was one of the top anime of its season, does that fit "extremely"? Who knows, you sure don't because you don't define your terms. Then there's all your dumb shit about magic readbases and tiktok and all this other shit that literally only you brought up and care about until it proves you dead wrong and then it doesn't count. I don't give a fuck if anyone "strawmans" a retard like you because you've said shit already dumber than any strawman anyone could ever conceive, you hypocritical cunt. Go neck yourself.
Anonymous
8/25/2025, 6:58:24 AM
No.281733365
[Report]
>>281733561
I'm going to take a nap, you retards keep arguing for a few hours and I'll continue samefagging to keep this shit thread alive tomorrow
Anonymous
8/25/2025, 7:06:34 AM
No.281733446
[Report]
>>281733350
>not "extremely successful" something nobody said anywhere and is nebulous as fuck
Did you see all the rezerofags posting pics about muh 27 milly usd and muh top 1 b-but 500 million yen? No?! Thats what I thought. The success is measured relative to previous seasons. Even my WN readership pic proves that, otherwise I would have cropped it to Vollachia only cause none of you faggots ever bother to double check
>Then there's all your dumb shit about magic readbases and tiktok and all this other shit that literally only you brought up and care about until it proves you dead wrong and then it doesn't count
Whats wrong again? I said prove it you fucking retard. Saying the other guy lost isnt how you win an argument lmaooo
Anonymous
8/25/2025, 7:16:15 AM
No.281733561
[Report]
>>281733612
>>281733365
What if it gets past the bump limit?
Anonymous
8/25/2025, 7:20:42 AM
No.281733612
[Report]
>>281735421
>>281733561
Threads so dead it takes multiple retards arguing about sales to stay alive instead of the actual 2 chapters just released
>wonder why so many posts
>salesniggers back again
Mind you that the series is fucking free to read online.
The LNs have never sold that much compared to heavy hitters like overlord, it's just the accumulative amount that brought it high since it has tons of volumes.
Anonymous
8/25/2025, 8:20:49 AM
No.281734349
[Report]
>>281732792
That's reserved for the final arc
>>281733233
>anime viewership aka the people that watched S3 should be 10-20-30 million+ or even more
Sounds reasonable, s3 was one if not the most watched anime of the seasons it aired in.
Anonymous
8/25/2025, 8:31:57 AM
No.281734511
[Report]
If Volcanica is essentially dead and Clind is the reincarnation with nearly all his memories that possesses the Dragon body whenever, what exact conditions does Roswaal need to meet when killing Volcanica? Does he need to be able to kill Clind possessing Volcanica?
Anonymous
8/25/2025, 8:35:25 AM
No.281734548
[Report]
>the stand up line was a callback to subaru saying that in the trial with the fake rem
I'm too slow for all these connected lines.
Anonymous
8/25/2025, 8:38:17 AM
No.281734585
[Report]
>>281734726
>>281734369
Wow why are so many rezerofags so retarded lmao? Let me guess, you genuinely believe 142 million people aka 2% of the world population have clicked on narou and read the damn novel too. Truly impressive how retarded these faggots are.
Those are Solo Leveling level of views. And Solo Leveling was watched by so many casual people and non weebs that didnt even bother to vote in twitter polls. It didnt win shit in those weekly polls that rezerofags like to brag about, and yet it is the most watched show of all time on Crunchyroll and crashed the site a few times.
Anonymous
8/25/2025, 8:40:46 AM
No.281734610
[Report]
>>281733944
Arc 8 could have killed WN readership had it gone any longer. The trend is pretty much the same bar arc 9
Anonymous
8/25/2025, 8:46:52 AM
No.281734670
[Report]
>>281733944
>The LNs have never sold that much compared to heavy hitters like overlord
This is because of the WN btw. Why bother taking the time to read and buy the LN if you can get the WN for free with a quick google search, which has everything the LN has and then some? Overlord's WN is a bad joke, if you want to enjoy the series you need to read the LN.
There's other factors here to like the LN art for Re:Zero being extremely ugly and doing a disservice to the series overall, while most LN's have art that is actually complimentary
Anonymous
8/25/2025, 8:47:22 AM
No.281734674
[Report]
>>281734369
Yeah thats why the series thats free for 3.3 billion people on Youtube has only 250-300k average views for S3 there. I think we need 100 more platforms that are totally free so we can reach those milly amirite? I think we need multiple clips above 10 million views since the beginning of S3 to prove it too amirite?
Fucking kekw
>>281734585
10 million is nothing for a popular anime.
>solo lv
Doesn't mean rezero can't reach the numbers you put.
>you genuinely believe in 142 million
Yes I do, I'll even give you one reason it's doable.
New generations of teen and young adults click later on years later.
Re zero's current demographic is 50% aged 16-24 aka the demographic was like that a decade ago already and has kept the same ratio.
Anonymous
8/25/2025, 9:06:20 AM
No.281734884
[Report]
>>281735194
>>281734726
Yeah thats why no rezero clips have 10 million views on YouTube or TikTok since like 2021 bruhh. Oh what was the only time it got above 10m on those platforms again? Oh it was a Rem itasha. Fucking kekw.
10-20-30 million people watched S3 so that was why it even lost in japan, the place where it was watched the most, to at least 5 series in aggregate views across abematv and netflix japan and niconico bruhh.
Oh and what about the views from people who have never watched the show and only seen short highlights that popped up on their feeds? Do they count towards the fandom and S3 views too? Lmao. Shit struggles near the 10m mark for non spoiler short clips and you have the audacity to talk about muh S3 views
Anonymous
8/25/2025, 9:09:16 AM
No.281734925
[Report]
>>281735037
Why is everybody still discussing things with the zoomer concern troller (who is likely also the same one that loves to post Emilia blacked porn btw) rather than discussing the chapter?
Anonymous
8/25/2025, 9:11:17 AM
No.281734953
[Report]
>>281735194
>>281734726
>Yes I do, I'll even give you one reason it's doable. New generations of teen and young adults click later on years later.
How many retards here agree that 142 million unique people, which is 20 million more than the Japanese population, have clicked on narou.com/rzeroblahblah and actually read it? Show youself and your retardation cause at least 1 billion people must have watched the series for that number to make sense.lmaoooo
Anonymous
8/25/2025, 9:20:28 AM
No.281735037
[Report]
>>281734925
Cause no one gives a shit about these chapters. I, a troller, bumped this thread back to life multiple times lmao
>>281734884
I just checked YT and solo lv has one video at 38 million and that's with an overlord albedo cosplay picture KEKAROO.
Meanwhile rezero has 2 30 million plus videos which are the s1 songs.
>>281734953
>the human population doesn't keep increasing bro
Anonymous
8/25/2025, 9:48:07 AM
No.281735353
[Report]
>>281735456
>>281735194
We already talked about it above you retard. Those are fucking MVs. People blast them on loop. The fucking retard arguing against me even admitted that fact. You are even dumber than him lmao.
>Solo leveling has many views
Yes, 10 milly is very normal for *mainstream* anime. Solo leveling broke almost all records in existence on Crunchyroll. Retard.
Anonymous
8/25/2025, 9:48:13 AM
No.281735355
[Report]
Anonymous
8/25/2025, 9:52:32 AM
No.281735393
[Report]
>>281735866
>>281735194
>The human population doesn't keep increasing bro
Goddamn are all rezerofags this retarded? This shit sentence has nothing on with my argument lmao.
Anonymous
8/25/2025, 9:55:51 AM
No.281735421
[Report]
>>281733612
>Oh, please don't let me die. Waiting for your touch.
Anonymous
8/25/2025, 10:00:09 AM
No.281735456
[Report]
>>281735692
>>281735353
Yet it only has 38 million views on it's biggest video and that's a cosplay one also it's a short format video to boot.
Anonymous
8/25/2025, 10:26:33 AM
No.281735675
[Report]
can this mtfag zoomer spamming twitch emotes go away
Anonymous
8/25/2025, 10:27:45 AM
No.281735692
[Report]
>>281735456
Thats why 142 million people have *read* resero bro. Totally true!
Anonymous
8/25/2025, 10:44:55 AM
No.281735866
[Report]
>>281735956
>>281735393
>Goddamn are all rezerofags this retarded?
Yes, especially Subarufags
Anonymous
8/25/2025, 10:53:10 AM
No.281735956
[Report]
>>281736073
>>281735866
>Subarufags
First trooned, then turned into a child that acts nothing like Subaru, then BETRAYED and SEALED inside Al's anus
And that's not even counting that Re Zero has become shounenslop where Subaru is the weakest shitter and is always sidelined to wank everyone else
I don't think any Subarufag is left reading after Arc 7-8
Anonymous
8/25/2025, 11:03:58 AM
No.281736073
[Report]
>>281735956
as the resident anime-only newfag I have to wonder, who on earth is a subaru fag? How could you possibly be a subaru supporter after he rejects best girl?
does clind know roswaal is bodyjacking? i cant imagine him supporting this
>>281732792
Why are you talking like EMT didn't win in S3?
EMT wins every season.
Just in different ways.
S3 Emilia basically NTR'D all of Reggie's wives in the span of 1 evening.
I'm still waiting for a real REM win.
But that's likely a few seasons later if ever.
Anonymous
8/25/2025, 12:54:23 PM
No.281737242
[Report]
>>281733095
Fuck off retard.
Anonymous
8/25/2025, 2:24:38 PM
No.281738183
[Report]
>>281736150
Trying too hard faggot.
Anonymous
8/25/2025, 2:50:54 PM
No.281738482
[Report]
>>281736150
>EMT
>winning
Has never ever been the case for even a single season of the show, and S4 will continue that trend
Anonymous
8/25/2025, 3:34:44 PM
No.281739150
[Report]
> Chapter named "Apex Creature"
> Ezzo (my GOAT fr fr) appears to save the day
What did Tappei mean by this?
>"I'll make sure you never forget who I am. I, Ezzo Kadner the 'Gray', will surpass the 'Divine Dragon' before you do!"
I will be really dissatisfied if this brazen literally who green haired undeveloped pre-puberty adult midget will actually defeat Alcanica because he is very talented magician and clever observer or some other bullshit
I don't fucking care Tappei, try doing something other than making the great character like Roswaal going into retard mode and trying to brute force defeat the Divine Dragon in order give that side story character the spotlight
Anonymous
8/25/2025, 3:50:45 PM
No.281739404
[Report]
>>281740542
>>281739192
Don't worry, it will most likely be a team effort to cast the Sixfold Magic that has been teased since Arc 7 using Ezzo's weird way of spellcasting that managed to ignore Reinhard's antimagic aura in that one side story that no one read 10 years ago
Anonymous
8/25/2025, 4:27:55 PM
No.281739975
[Report]
>>281736097
He knows Roswaal is human, and he knows humans aren't supposed to live for 400 years
But he is kind of retarded, so yeah, maybe he never noticed Roswaal getting younger every 30 years or so and turning into a woman once
Anonymous
8/25/2025, 4:59:40 PM
No.281740542
[Report]
>>281739404
so hecking wholesome, can we get Tappei a chungus-award?
Anonymous
8/25/2025, 5:12:17 PM
No.281740834
[Report]
>>281741688
>>281739192
I don’t personally care about any of these SS characters and am honestly quite frustrated that Tappei seems to be writing all of them into the main story with the expectation we already know who they are
Anonymous
8/25/2025, 5:45:03 PM
No.281741531
[Report]
I have a small penis and my favorite character is subaru, I think this could mean something.
Anonymous
8/25/2025, 5:53:53 PM
No.281741688
[Report]
>>281740834
> I don’t personally care about any of these SS characters
Bro there are like two of those that actually matter, stop whining
Anonymous
8/25/2025, 6:02:17 PM
No.281741849
[Report]
>>281733239
>the Al cycle
post it
teppei writing clind fellating roswaal is too tonally disonant to be funny, is he just pretending roswaal is some misunderstood eccentric genius and not a complete fucking monster?
at this point als team is more morally correct than subarus by a large margin
Anonymous
8/25/2025, 6:06:06 PM
No.281741942
[Report]
>>281741891
>subarus team is more morally correct than subarus
Huh?
>>281741891
Subaru smells like a Witch Cultist, has three Authorities, is planning on "saving" Satella, and somehow the Aldebaran Gang are the bad guys because they want to get rid of him.
>>281741891
Clind loves human potential, and Roswaal is the most powerful wizard to ever live. With the description of magic this means he is in some way the human with the most potential as his will could reshape the world. This is also why Clind likes kids and its a personality trait that's a holdover from Volcanica and why Volcanica is aligned with humans. Interestingly this is basically Ram's position too, she views Roswaal as having tons of untapped potential and ability to do whatever (mostly her, she hopes, I suppose) if he wasn't being a retard and limiting himself in service of a stupid book given to him by some dead cunt.
Also this answers a mystery around Volcanica and how he appeared in Sword Ballad. When the contract is invoked, Clind teleports/runs over to the tower and uses the Dragon Shell to make Volcanica make an appearance. So Volcanica in Sword Ballad or whenever he's made other appearances and wasn't retarded is Clind.
Anonymous
8/25/2025, 6:29:06 PM
No.281742468
[Report]
>>281742573
>>281742396
>are the bad guys because they want to get rid of him.
Roi is definitely a bad guy. Heinkel is also a bad guy though pretty lame. Yae is a Vollachian so she's shit by default.
Anonymous
8/25/2025, 6:33:12 PM
No.281742573
[Report]
>>281742627
>>281742468
Roy literally loves everyone, didn't you read chapter 45?
Anonymous
8/25/2025, 6:35:43 PM
No.281742627
[Report]
>>281745755
>>281742573
Loves to eat everyone. He's not good people.
Anonymous
8/25/2025, 6:44:56 PM
No.281742827
[Report]
>>281743001
>capella and love babble
God we are going back to the love rants aren't we.
Arc 10 will be schizo kino.
Anonymous
8/25/2025, 6:47:31 PM
No.281742894
[Report]
>>281743051
>>281741891
Tappei does not really care about giving his evil characters consequences. Look at Eugard. Just like the Emilia camp, Tappei will forget about and ignore Roswaal’s monstrosities because it’s convenient
Anonymous
8/25/2025, 6:50:07 PM
No.281742958
[Report]
>>281733239
>Al Cycle
>kill momentum
Al and his crashout arc is carrying right now imo.
Anonymous
8/25/2025, 6:52:02 PM
No.281743001
[Report]
Anonymous
8/25/2025, 6:54:37 PM
No.281743051
[Report]
>>281742894
Roswaal has a potentially complicated out in that he is technically an innocent person who is possessed by an asshole ghost. As much as he likes to say he's just A, that doesn't seem really true. There's the whole yellow/blue eye split that's some up constantly throughout the series and that could be interpreted as events being thought about or viewed or said by L/A. So A could eat shit and die leaving L to live his life however he wants.
>Guese mentioned
Apparently keeping the cult away from the tower would be important because Guese could probably have possessed Volcanica.
Anonymous
8/25/2025, 7:06:37 PM
No.281743337
[Report]
>>281743082
How much more can he job?
> Clind just allowed the Arc 6 Gang to go to the Tower without warning them about the Shaula, Reid, Dragon Jesus and all the death traps in the Sand Dunes
Yeah, I refuse to believe Clindcanica was actually planned since his introduction in Arc 4.
>>281743459
Didn't Rem warn Subaru about Clind in a sidestory?
Anonymous
8/25/2025, 7:13:48 PM
No.281743499
[Report]
>>281744120
>>281743082
Geusecanica vs every other Sin Archbishop
How far does he get?
Anonymous
8/25/2025, 7:19:02 PM
No.281743612
[Report]
>>281743784
Roswaal is doing all of this in order to pursue his love, can you stop being mean and call him a monster?
Anonymous
8/25/2025, 7:24:27 PM
No.281743746
[Report]
>>281744034
>>281743490
> in a sidestory
You will have to be a little more specific than that, anon, there are THREE HUNDRED FOURTY ONE side stories and Tappei releases at least two more of them with every volume
>>281743612
Roswaal a shit
Anonymous
8/25/2025, 7:27:17 PM
No.281743806
[Report]
>>281761801
>>281743784
People wonder how Subaru will get the legendary oni shimaidon when the cuck clown pulls this crap.
Anonymous
8/25/2025, 7:32:36 PM
No.281743912
[Report]
>>281744036
>>281743784
okay, but what if Ram consents?
Anonymous
8/25/2025, 7:38:40 PM
No.281744034
[Report]
>>281744063
>>281743746
Imagine wasting your time on pointless side stories that no one gives a fuck about
Anonymous
8/25/2025, 7:38:44 PM
No.281744036
[Report]
>>281743912
> what if Ram consents?
Ram a shit
Anonymous
8/25/2025, 7:40:13 PM
No.281744063
[Report]
>>281744396
>>281744034
I give a fuck about them, and that's enough for me
If you are watching shit just because other people care about it, re zero is not for you, go read csm or Frieren, I'm sure you will feel at home
Anonymous
8/25/2025, 7:41:40 PM
No.281744089
[Report]
>>281746246
>>281743459
Clind is an ass and always been inexplicable. So this was almost certainly planned for a long ass time.
Anonymous
8/25/2025, 7:43:26 PM
No.281744120
[Report]
>>281743490
I think that was just in regards to everyone's perceived pedophilia of him mostly.
>>281743499
He'd probably win except maybe against Regulus that's a draw. Volcanica is apparently nearly invincible and I don't think any archbishop has the combined skills that would be needed to get past it.
>Clind just really likes people and beings that have a lot of potential and who strive towards said goal
>Children do this in particular and he likes them a lot as such so it's more like a borderline parental affection in liking seeing people grow
>Clind gets branded a likely lolicon or otherwise suspicious guy
Man.
Anonymous
8/25/2025, 7:58:12 PM
No.281744396
[Report]
>>281745712
>>281744063
Allow me to correct myself. Only retards like you care about them when they won’t even get adapted in the anime or discussed anywhere
Anonymous
8/25/2025, 8:03:07 PM
No.281744474
[Report]
>>281744576
>>281744308
>>Clind just really likes people and beings that have a lot of potential and who strive towards said goal
How much would he hate us?
Anonymous
8/25/2025, 8:08:42 PM
No.281744576
[Report]
>>281744474
"Wasted potential. Disapproval" I think that's the most he'd say if anything. Lots of people on this site have skills that aren't being actively used or refined for one reason or another.
Anonymous
8/25/2025, 8:12:22 PM
No.281744658
[Report]
>>281674902
Imagine an entire cour like this. How hype would animeonlies be?
Anonymous
8/25/2025, 8:25:52 PM
No.281744924
[Report]
>>281745142
>>281742396
Honestly I think Al was, when Priscilla was alive, willing to bet on Subaru's desire to save Satella. But if he can't save Al's princess how on earth would he save yandere gigasatan? Al's crashout is in part emotional but also really logical.
Anonymous
8/25/2025, 8:29:46 PM
No.281745004
[Report]
>>281673968 (OP)
mom says its my turn to possess the dragon
Anonymous
8/25/2025, 8:36:50 PM
No.281745142
[Report]
>>281745220
>>281744924
Priscilla chose death, she could have been saved but she was raped so much she didn't want to live anymore.
This is the fate of all women not protected by good men.
Anonymous
8/25/2025, 8:41:21 PM
No.281745220
[Report]
>>281745142
No she couldn't. Neither Subaru nor Al have an ability that sends them back far enough to intervene. She got captured by Sphinx and put into a pocket dimension weeks before and she kills herself to leave it. They literally cannot stop it, they'd have had to have recognized at the time that needed to be prevented.
Imagine this for a moment.
>Al's plan succeeds
>Next scene is Subaru saying goodbye to his mom and this time saying that he's heading out, and that he loves her and his dad.
>Still gets teleported to Luganica but this time, he's starting from zero..while remembering everything unlike all the other cycles
>Al smacks his back when they meet and says "Let's do it right this time, Kyoudai" since he didn't forget
Kino twist or no? I doubt it'll happen but Al being a bro again would be nice.
Anonymous
8/25/2025, 8:46:04 PM
No.281745317
[Report]
>>281745231
It would be funny but probably destroys too much of what's been going on.
Anonymous
8/25/2025, 8:51:07 PM
No.281745421
[Report]
>>281745231
>full reset
Never happening.
At best it can go to before arc 8 which won't be that bad.
Anonymous
8/25/2025, 8:53:29 PM
No.281745462
[Report]
>>281745231
only good for IF story
Anonymous
8/25/2025, 9:04:16 PM
No.281745678
[Report]
>>281747524
>>281745231
Never write anything in your life, please
Anonymous
8/25/2025, 9:06:04 PM
No.281745712
[Report]
>>281744396
> nooooo you can't read something you enjoy if there aren't more people willing to discuss shit with you stop having fun
Wow, you are retarded retarded
Anonymous
8/25/2025, 9:07:43 PM
No.281745755
[Report]
>>281742627
Nah Roy loves everybody and thinks everybody’s tasty
>>281743459
>>281744089
This has been foreshadowed since at least the Golden Siblings sidestory, initially published in 2019, where Clind wrecks a slime monster with his Authority and mentions that taking such direct action was necessary because it could have grown into a “threat to the Kingdom”. The side story also gives some info about Frederica’s blood.
Anonymous
8/25/2025, 9:55:34 PM
No.281746717
[Report]
>>281746246
Yeah he seems to not do much with the threshold being kingdom level threats. Then he cares, but otherwise doesn't do anything but creep on Annerose.
Anonymous
8/25/2025, 10:07:51 PM
No.281746930
[Report]
>>281742429
>clind loves human potential and kids like annerose
>will do nothing as she gets her body jacked by roswaal
I've been out of here for like 6 years
Please tell me
Has Rem gotten her memories back in LN/WN?
Is Subaru Flugel?
Is the background of the other Isekai'd guy revealed?
Anonymous
8/25/2025, 10:14:57 PM
No.281747054
[Report]
Anonymous
8/25/2025, 10:17:41 PM
No.281747111
[Report]
>>281746933
Yes
Unsure
Not yet, but this is his arc. But also sort of, though only in some recent side stories
Anonymous
8/25/2025, 10:40:53 PM
No.281747524
[Report]
Introducing, potential man! Has the potential to do anything, but instead spends all his time being retarded.
Anonymous
8/25/2025, 11:40:10 PM
No.281748521
[Report]
>>281748669
>>281748379
But does he have the potential to give Ram the brutal anal rape she craves?
>>281748521
Damn you, coworkers saw me looking at her ass.
Anonymous
8/25/2025, 11:48:24 PM
No.281748681
[Report]
>>281748669
Did you get a promotion?
Anonymous
8/25/2025, 11:52:43 PM
No.281748770
[Report]
>>281748669
Is your coworker Ram? Are you Barusu?
Starting to think maybe The Great Reset™ won't happen...
Anonymous
8/26/2025, 1:11:07 AM
No.281750266
[Report]
>>281750464
>>281750159
I'm starting to think I should pat Petra on the head.
Anonymous
8/26/2025, 1:23:03 AM
No.281750464
[Report]
Anonymous
8/26/2025, 1:42:22 AM
No.281750755
[Report]
>>281750159
Not with that attitude
Anonymous
8/26/2025, 1:48:13 AM
No.281750848
[Report]
>>281748379
> This man wasted 400 years perfecting his magecraft and is going to be outdone by a 20 year old dwarf next chapter btw
>>281746246
> Actschually, it was foreshadowed in the Golden Siblings side story
Is there a page with every translated side story in it or am I supposed to google [Subaru's worst erection yet] side story pdf english for every side story in existence until I read them all?
Anonymous
8/26/2025, 2:45:03 AM
No.281751821
[Report]
>>281752245
>>281750159
it better
this shit is retarded and better off as a fever dream
Anonymous
8/26/2025, 2:46:17 AM
No.281751838
[Report]
>>281755964
>>281750913
WCT has a side story section that's reasonably usable.
Anonymous
8/26/2025, 2:51:32 AM
No.281751930
[Report]
>>281752131
> 4 day thread
Dead series, I'll personally go and smash every Emilia and Rem figurine on the planet, so be nice, leave your doors open and wait for me
Anonymous
8/26/2025, 3:04:13 AM
No.281752131
[Report]
>>281753177
>>281751930
Calm down. We don't need you bumping every 12 hours to complain about thread length
Anonymous
8/26/2025, 3:10:10 AM
No.281752245
[Report]
>>281751821
But that would be bad for Petra and she's only going to win.
I'm a kissless handholdingless virgin incel, who's my favorite character?
Anonymous
8/26/2025, 3:15:45 AM
No.281752350
[Report]
Anonymous
8/26/2025, 3:16:07 AM
No.281752355
[Report]
Anonymous
8/26/2025, 3:17:23 AM
No.281752378
[Report]
>>281752339
You're me and my favourite character is Shaula
>>281752339
Rem, anything else is cope.
Anonymous
8/26/2025, 3:23:13 AM
No.281752517
[Report]
>>281752479
Remchads actually know how to make babies, unlike Emilifags.
Anonymous
8/26/2025, 3:51:45 AM
No.281753110
[Report]
>>281764037
>>281752339
I love Emilia
Anonymous
8/26/2025, 3:55:56 AM
No.281753177
[Report]
>>281752131
I like being a tsundere about it, I'll complain and moan and shit until this thread reaches the bump limit, and then I'll complain and moan and shit a little more just because I can
Anonymous
8/26/2025, 4:23:29 AM
No.281753684
[Report]
>>281754322
Reveal Al is alt subaru already faggot.
I want pandora or capella focus.
Anonymous
8/26/2025, 4:59:17 AM
No.281754322
[Report]
>>281753684
It has been. Sort of. The illustration for No Stella No Life shows younger Al to look like Subaru with the tracksuit and everything. Now, maybe his tracksuit has an A on it instead of an N or something, but unless that's the trick he looks the same.
Anonymous
8/26/2025, 5:18:35 AM
No.281754626
[Report]
This is the most powerful character in Re Zero
Anonymous
8/26/2025, 5:25:17 AM
No.281754716
[Report]
I love (Arc 4) Petra
Anonymous
8/26/2025, 5:39:51 AM
No.281754902
[Report]
>>281752339
Rem. She's literally otaku bait.
Anonymous
8/26/2025, 6:28:20 AM
No.281755536
[Report]
Anonymous
8/26/2025, 6:32:18 AM
No.281755584
[Report]
>>281755593
>>281752339
Betty, you hand slut.
Anonymous
8/26/2025, 6:33:23 AM
No.281755593
[Report]
>>281755584
Based + Beakopilled
Anonymous
8/26/2025, 7:13:03 AM
No.281755964
[Report]
>>281756180
>>281751838
> reasonably usable.
Is that a weak jab at the site or a tsundere compliment?
Anonymous
8/26/2025, 7:36:45 AM
No.281756180
[Report]
>>281755964
Just being honest. Its a little like a big spreadsheet, its mostly functional but has a bit of jank to it. Also since not everything is actually translated not everything has translations and the number of translators over the years mean it links all over the place. Sometimes random google docs, sometimes personal blogs. That sort of thing.
Anonymous
8/26/2025, 8:19:45 AM
No.281756593
[Report]
I think her new hair is dumb
Anonymous
8/26/2025, 9:17:49 AM
No.281757070
[Report]
>>281758350
Anonymous
8/26/2025, 12:00:41 PM
No.281758350
[Report]
>>281757070
Sex wih Petra
Anonymous
8/26/2025, 12:40:38 PM
No.281758729
[Report]
>>281744308
Clind is the Hisoka of Re:Zero.
Anonymous
8/26/2025, 12:44:02 PM
No.281758761
[Report]
>>281750159
But the guys on telegram promised me it would happen in Two Weeks™.
Anonymous
8/26/2025, 1:55:59 PM
No.281759405
[Report]
>>281759894
Could homosexuality cure Regulus's autism?
Anonymous
8/26/2025, 2:41:08 PM
No.281759894
[Report]
Anonymous
8/26/2025, 3:32:31 PM
No.281760459
[Report]
>>281760955
>>281728901
>managed to harm reinhard with regular magic
wow
i guess I'll read that side story
I'm excited to see rosfraud get mogged by someone who actually loves magic and learning and teaching
Anonymous
8/26/2025, 3:41:13 PM
No.281760590
[Report]
>>281736097
Maybe he finds the bodyjacking cool and evidence of how versatile and flexible the human form is.
It seems like dragon existences involve a lot of busywork and rules and attached strings (e.g. making and keeping dragonkin alive)
Anonymous
8/26/2025, 3:44:40 PM
No.281760637
[Report]
>>281767079
>>281742429
>When the contract is invoked, Clind teleports/runs over to the tower and uses the Dragon Shell to make Volcanica make an appearance.
I wonder if Clind has an affinity for the Lugunicans like Volcanica's body does
Anonymous
8/26/2025, 3:49:01 PM
No.281760708
[Report]
There are growing parallels between Subaru and Roswaal. Roswaal is like a Subaru who has been grinding alone for a super long time (and it seems like he has only slowly improved) in futile pursuit of a woman who helped him. He doesn't trust allies to help him of their own autonomy (reflected in his soul vow thing).
I wonder if the soul vow thing is less about penance and more about sticking to his defeated philosophy about the nature of collaboration.
Anonymous
8/26/2025, 3:54:23 PM
No.281760784
[Report]
>>281745231
No it's not kino because Al hasn't been stalking subaru and thus can't replicate all the growth stages Subaru went through
It will just be a repeat of the previous 8 arcs with a tiny twist
Anonymous
8/26/2025, 3:56:02 PM
No.281760811
[Report]
>>281746933
The recent side stories make me think that the other guy is a Subaru clone
Anonymous
8/26/2025, 3:57:58 PM
No.281760834
[Report]
>>281750913
rezerodb.com
Would have thought everyone here would know it
Wait, so this Clind hijacking Volcanica rubbish means the Dragon Covenant was void all along because it was just Clind doing stuff himself, meaning half the reason for the Royal Selection is gone just like that?
And in the SS where he killed Valgren Volcanica did not at like Clind at all. He even referred to Valgren's sickness in such a way that implied that he himself didn't have it, and that it was surprising it had happened to him.
>???:『――In accordance with the covenant of antiquity, for the descendants of the Lion King, I hath hastened to thee with mine wings at thy service』
...
>Volcanica:『I, am Volcanica. I hath hearkened to the appeal of the blood of mine old friend, and so manifested here』
>Volcanica:『Valgren, thou art a pitiful child. Hath thou fallen into wickedness, burnt by thine undue hatred?』
>Volcanica:『It shall be better for thee to be at rest. Thou hath been twisted into what thou art now, mine brethren.』
I wonder who got assigned to fight Yae. Maybe Ezzo?
Anonymous
8/26/2025, 4:02:10 PM
No.281760890
[Report]
>>281760906
>>281760855
>Maybe Ezzo
He's fighting Volc
Anonymous
8/26/2025, 4:02:19 PM
No.281760893
[Report]
>>281760933
>>281760847
maybe clind is like a co-pilot and his presence wakes volcanica's mind up
Anonymous
8/26/2025, 4:03:20 PM
No.281760906
[Report]
>>281760890
Well yeah he could have strolled over Volc after Yae went AWOL and stowed away with Al.
>>281760893
Maybe. Something's going on, because Clind's personality has absolutely nothing in common with the one Volcanica displayed in the SS.
Anonymous
8/26/2025, 4:06:35 PM
No.281760955
[Report]
>>281760459
Don't get too excited, Ezzo just manages to blow a button out of Reinhard's shirt and almost dies in the process
The side story is [The Golden Lion and the Sword Saint, Riot in Flanders] btw
Anonymous
8/26/2025, 4:08:03 PM
No.281760976
[Report]
>>281760933
Clind could be keeping up the pretense of Volc's lucidity
>>281760855
Yae and Aldebaran have been fighting Subaru's wives midair for the last 5 chapters or so, read the fucking WN
Anonymous
8/26/2025, 4:12:31 PM
No.281761038
[Report]
>>281761367
>>281760985
Emilia and Rem didn't expect Yae to be with Al, therefore they planned for some other people to fight Yae. Yae didn't appear, so those people are now freed up and might appear in the middle of other fights to turn the tables. (like ezzo)
Anonymous
8/26/2025, 4:16:07 PM
No.281761093
[Report]
>>281767288
Does each dragon have only one dragonkin? If not, I wonder if Frederica is also a dragonkin and could bust similar moves to Clind.
Also, it's kinda hard visualising what Clind's moveset is like, but I guess that's a skill issue.
Anonymous
8/26/2025, 4:19:45 PM
No.281761158
[Report]
>>281761225
>>281760847
Covenants are between bloodlines, so Clind still needs to help out if the kingdom itself is threatened.
In the Golden Siblings short story Clind takes direct action to fight a slime monster growing out of control, and afterward states that he took care of a potential "threat to the Kingdom".
>>281760985
Yae wasn't supposed to have been teleported with Al, they were supposed to be teleported separately but she grabbed onto him to defend him before Petra could teleport him away. My best guess is that the plan was for everyone not on the field for taking on Al+Roy+Alcanica initially (almost everyone in the Roy fight except Petra, Rom, Ram, and Meili) to jump Yae before she could get her bearings and then help out with Roy.
>>281761158
>My best guess ...
Oh yeah that makes sense I forgot they were on the sidelines.
Also because we're in Kararagi we should expect to see Julius somewhere, right? Unless he's still dealing with the Slasher.
Anonymous
8/26/2025, 4:26:39 PM
No.281761273
[Report]
>>281761442
>>281760855
I know it is logical for people to plan shit before fighting another group, but imagining the Petra Squad discussing matchups and reaching the conclusion that three girls and Rom were enough to beat Roy, Heinkel and probably Yae is so fucking funny to me
Aldebaran vs Emilia and Rem is a close second on the funny scale, assuming that Petra figured out that Al's domain works the same way as Return by Death and she basically sent them to die
Anonymous
8/26/2025, 4:30:23 PM
No.281761327
[Report]
>>281761707
>>281760855
Yae is slamming Emilia and Rem's face into the metaphorical pavement as we speak.
Anonymous
8/26/2025, 4:31:53 PM
No.281761345
[Report]
>>281760847
Clind is like Volcanica's offspring and Volcanica himself. It's not void hence Clind was doing his duty just like the kingdom is doing theirs.
Anonymous
8/26/2025, 4:33:07 PM
No.281761367
[Report]
>>281767365
>>281761038
Oh, mb, I thought you were being retarded
I think Ezzo was always meant to be Roswaal's backup
There is no one physically strong enough to just punch Volcanica to death, so magic users were probably the only choice they had to begin with, and Ezzo, Roswaal and Clind are probably the only retards strong enough to at least stall Volcanica until the others win their respective fights
I'm guessing that in the plan, Yae was supposed to be in Roy's team
Anonymous
8/26/2025, 4:38:08 PM
No.281761442
[Report]
>>281761714
>>281761273
Emilia is Al's worst matchup since she can put him on ice. She nearly won on her own before. Rem's good at midair combat and at supporting others as we saw in the last chapter. Petra is probably drawing on Subaru's memories of the White Whale battle to make that call if Rem didn't volunteer herself.
>>281761225
Anastasia and Julius went back to Kararagi to report to the ruling council over there about events in the Empire, so it's possible a missive may have been sent to them to request aid. But if that were actually done I think Halibel, who is with them, would've just came over and resolved everything by now.
It would be funny though if Al got to the bottom of that ravine ahead of Emilia and Rem and found Julius and Halibel down there waiting for him as the final "Al thinks he's out of the woods and then it turns out he very much isn't" moment.
Anonymous
8/26/2025, 4:54:04 PM
No.281761707
[Report]
>>281761809
>>281761327
>Yae is slamming Emilia and Rem's face into the metaphorical pavement as we speak.
Does this mean that we will see Yae feet used to curbstomp mobilia?
Anonymous
8/26/2025, 4:54:33 PM
No.281761714
[Report]
>>281761442
> Emilia is Al's worst matchup since she can put him on ice.
This foreshadows Emilia being the only counter to Return by Death btw
Anonymous
8/26/2025, 4:59:37 PM
No.281761801
[Report]
>>281763991
>>281743806
The oni sisters are forever stuck at being #2
>Subaru I love Emilia
>Roswaal I love Teacher
Anonymous
8/26/2025, 5:00:11 PM
No.281761809
[Report]
>>281761707
> Does this mean that we will see Yae feet used to curbstomp mobilia?
Only in the anime because Ootsuka is not based enough to do a decent illustration of Yae's toes
Anonymous
8/26/2025, 5:12:27 PM
No.281762075
[Report]
Roy's Pain Eclipse should instakill Al's sanity, but it will never happen because having Roy beat the big bad of the Arc would be anticlimactic.
Is Ringo responsible for this word salad of a translation or does Tappei actually write like this? There was similar amounts of hyperpretentious jargon when describing the Black Snake.
Anonymous
8/26/2025, 5:29:07 PM
No.281762551
[Report]
>>281762282
I don't recall reading something that flowery
but Tappei does do really artsy sentence structure
Anonymous
8/26/2025, 5:30:13 PM
No.281762586
[Report]
>>281762282
Ringo is a retarded name, so yeah, probably
Anonymous
8/26/2025, 5:50:12 PM
No.281763119
[Report]
>>281763186
Friendly reminder that Clind decided to just die without using his dragon powers in Greed IF, even when he was sure Subaru was a threat bigger than The Witch
Guardian of the Kingdom of Lugunica my ass
Anonymous
8/26/2025, 5:53:24 PM
No.281763186
[Report]
>>281763119
Because IF baru is just that good, he likely got done it from who knows how many loops and instantly realized it.
Anonymous
8/26/2025, 5:54:24 PM
No.281763214
[Report]
>greed IF anime saves the franchise
Do it.
Anonymous
8/26/2025, 5:57:09 PM
No.281763290
[Report]
Anonymous
8/26/2025, 6:03:51 PM
No.281763468
[Report]
How the hell does Subaru go through a second growth spurt to become Al? Aganau proves that he's got more juice left in him. Somehow it's very late since not even Slothbaru gets it.
Anonymous
8/26/2025, 6:12:33 PM
No.281763700
[Report]
Anonymous
8/26/2025, 6:14:37 PM
No.281763757
[Report]
Anonymous
8/26/2025, 6:19:24 PM
No.281763925
[Report]
>>281763612
> not even Slothbaru gets it.
Slothbaru had a peaceful life in a village in the middle on nowhere, Aganaubaru was stuck on beast mode for 15 years+
Anonymous
8/26/2025, 6:22:04 PM
No.281763991
[Report]
>>281766210
>>281761801
You are forever stuck at having brain-damage.
Anonymous
8/26/2025, 6:23:24 PM
No.281764037
[Report]
>>281764707
Anonymous
8/26/2025, 6:34:08 PM
No.281764382
[Report]
>>281764662
>>281763612
> a second growth spurt
If you are talking about height, Subaru and Al are canonically the same height (173 cm kek)
>>281764382
He looks bigger, I don't believe it. Not saying you're lying.
Anonymous
8/26/2025, 6:45:00 PM
No.281764707
[Report]
>>281764037
Emilia going through a meltdown of regret in the finale would be a decent way to tie things up.
Anonymous
8/26/2025, 6:48:32 PM
No.281764792
[Report]
>>281764662
Probably the helmet makes him look taller, also the fact that the anime likes to make Subaru tiny for some reason
Anonymous
8/26/2025, 6:54:28 PM
No.281764932
[Report]
I wonder if Reinhard is hungry, or cold, or scared
Anonymous
8/26/2025, 7:35:59 PM
No.281766030
[Report]
>>281766611
I love manga Emilia so fucking much, it is such a shame that she isn't canon
>>281763991
That's just a truth, why are you mad
Anonymous
8/26/2025, 8:00:20 PM
No.281766611
[Report]
>>281766931
>>281766030
I like Emilia for what she could be, not for what she actually is thanks to Hackpei repeatedly trolling her few actual fans and making everyone else understandably hate her. But for me, I still hold hope that she can be salvaged and he isn't seriously going to let her be carried to the finale without learning a thing. At the very least I hope that Tappei knows what he's doing with her, which he should because he's been able to write consistent characterization before and afterwards.
>>281766210
My guess is because you said ILE, that's an old trolling tactic around here. You could have a little more tact.
>>281766611
> ILE
Explanation: Required
Anonymous
8/26/2025, 8:17:22 PM
No.281767079
[Report]
>>281760637
He at the very least upholds the contract, I'm not sure if he has particular concern for them.
Anonymous
8/26/2025, 8:22:19 PM
No.281767232
[Report]
>>281760847
The covenant is bound to Volcanica's body, so its not void, though Clind apparently has to go make it happen. Whether he just pretends to be Volcanica to not tip people off since he normally speaks in a super unique way (whether this is true in-universe its certainly true meta-wise as it would've been way obvious Clind was or had something to do with Volcanica if Volcanica also talked in his weird way) or if him reinvigorating Volcanica allows Volcanica's actual mind/personality to return is unknown.
Anonymous
8/26/2025, 8:23:26 PM
No.281767252
[Report]
>>281760933
You mean his speech pattern, their personalities are explicitly similar as stated this chapter.
Anonymous
8/26/2025, 8:24:44 PM
No.281767288
[Report]
>>281761093
Yes, creating a dragonkin makes the dragon retarded. Also Frederica was born, she has a mom and a dad and all that.
Anonymous
8/26/2025, 8:26:14 PM
No.281767328
[Report]
>>281761225
They're currently in a particular city trying to deal with the Shinigami incident. There's side stories covering it.
Anonymous
8/26/2025, 8:27:23 PM
No.281767359
[Report]
>>281760933
I'm guessing that Clind talks and acts like a retard because of all the shit he "lost" using the Authority of Melancholy
When Clind goes inside/rides/whatever Volcanica, he is no longer Clind, so his vows stop working until he goes back to his human form and he can express himself normally
Anonymous
8/26/2025, 8:27:39 PM
No.281767365
[Report]
>>281761367
>There is no one physically strong enough to just punch Volcanica to death, so magic users were probably the only choice they had to begin with
You need both. You have to get past both the dragon aura/halo and the dragon's scales. The scales already have a vulnerability because of Reid but you need to do some serious magic bullshit to circumvent the aura. Once you get past both you can attack his core which is the only way to beat him.
Anonymous
8/26/2025, 8:27:58 PM
No.281767372
[Report]
>>281766210
I'm not mad just pointing out the truth.
Anonymous
8/26/2025, 8:29:27 PM
No.281767416
[Report]
>>281762282
Ringo translates via thesaurus but Tappei does use a fair bit of uncommon wording and plays with structure and is often verbose.
Anonymous
8/26/2025, 8:32:29 PM
No.281767490
[Report]
>>281764662
They also weigh the same. But that's Al being more muscular all over but missing an arm. Typically for shots they'll like to change up relative character heights for effect so a weaker character might be drawn smaller than they are or a stronger character drawn bigger. Like Elsa feels bigger than Subaru but she isn't and is actually a little shorter than him. Betty and the Pearlbatons are often depicted smaller than they actually are as well.
Anonymous
8/26/2025, 8:33:30 PM
No.281767510
[Report]
>>281766931
Wow, you actually do have brain damage!
Anonymous
8/26/2025, 8:34:25 PM
No.281767531
[Report]
>>281766931
I assume he means I Love Emilia but I've never seen anyone turn that into an acronym before.
Anonymous
8/26/2025, 8:35:54 PM
No.281767565
[Report]
Can we take a moment to talk about how retarded Od Laguna is and that Roswaal skated by on the airbud clause?
>Ain't no rule saying you can't cast 5 elements at once
>Nobody could possibly pull that shit off so its not illegal
Anonymous
8/26/2025, 8:39:09 PM
No.281767637
[Report]
>>281767841
> Who the fuck is Ezzo and why is he so broken?
He appeared in two side stories 10 years ago
> Who is this Yae person and why is Al so familiar with her?
She was kind of relevant in one side story and it was implied that she died but she didn't
> Where are Anastasia and Julius while the world is ending?
Solving some shinigami shit in Kararagi, it is actually explained in a side story
> Felt has royal blood?
Reinhard kind of hints at it in a side story and it is briefly discussed in Arc 5 WN (it was removed in the LN for some fucking reason)
> Was it ever teased that Clind was a Dragonkin?
Side story.
This series is so fucking good, I love it so much, I love having to check the side stories of every character that is relevant every chapter so I have a chance of understanding what the fuck is happening on the main story
Anonymous
8/26/2025, 8:46:43 PM
No.281767841
[Report]
>>281767637
Thank you Beakobro, I almost thought you were serious.
Anonymous
8/26/2025, 8:47:15 PM
No.281767862
[Report]
I do not care about the astrea family plot line.
Anonymous
8/26/2025, 8:51:13 PM
No.281767965
[Report]
I care about Felt's belly.