/bfg/ - Battlefield General
#32 - Marauder edition
Battlefield 6 Intel:
>Battlefield 6 Official Multiplayer Gameplay Reveal Event
https://www.youtube.com/watch?v=c_BRbvYxgOY
>Battlefield 6 Combat, Classes & Destruction
https://www.youtube.com/watch?v=dW00mXmP0bQ&ab_channel=Battlefield
>Battlefield 6 Maps, Modes & Portal
youtube.com/watch?v=92CHDiFW0wA&feature=youtu.be
Battlefield News:
>Post-Beta game adjustments announced
https://x.com/BattlefieldComm/status/1958544678409642329?t=0Xh9bt61TnsGzoRMTXxtOw&s=09
>Iwo Jima Returns in 2042
https://youtu.be/W4NCy_GQeP8
>BF6 Lead Producer confirms "large maps exist"
https://www.pcgamer.com/games/fps/battlefield-6-lead-producer-says-large-maps-exist-confirming-the-full-game-will-offer-bigger-battles-than-the-betas-cramped-chaotic-firefights/
>Playing with /bfg/? Check the Squad List and add yourself
https://pastebin.com/hpEGpj7H
Last Thread
>>536109374 
 
Anonymous
8/22/2025, 3:07:39 PM
No.536219867
[Report]
>>536226653
 
>>536216173
>>536216240
some people just can't aim, I'm not a human bot like enders or other, the bullets going to where the pointer is is a plus, me strafing away to cover fast out of fire, or in to fire is a plus, take those away and you have objectively a shittier game
I can see not wanting the speed demon experience, shame really, because that shit is cool, but I can see that's not what everyone wants in a fps
other than that, if an fps is not about aiming then about what is it?
 
 
>>536219601 (OP)
>b-but the shotgun doesn't n-need a n-n-nerf! Fucking s-streamers r-r-ruining a b-b-b-balanced g-gun! 
 
Anonymous
8/22/2025, 3:12:26 PM
No.536220276
[Report]
 
>>536220020
he literally could've put a suppressor on an M4 and got the same result, hell a better and more expedient result too.
 
 
>want to do weekly challenges
>kills with incendiaries
>cant unlock them until lv42
fuck my chungus life whats the quickest way to level up and unlock shit
 
Anonymous
8/22/2025, 3:15:44 PM
No.536220550
[Report]
>>536258341
 
>movement nerf
codfags btfo
love to see it
 
Anonymous
8/22/2025, 3:16:54 PM
No.536220629
[Report]
 
>>536218545
you went from boastful smug responses within 5minutes to nervous replies every 1 hour and being stunlocked in this convo
just post one channel, i want to see what kind of experts you have on your side of the fence
 
 
Anonymous
8/22/2025, 3:18:04 PM
No.536220742
[Report]
>>536221145
 
>>536219601 (OP)
You can tell the nigga in this video is shaking IRL from having his first ever "pop-off" with how he's missing half his shots at people who aren't even looking at him/standing still
 
 
Anonymous
8/22/2025, 3:22:10 PM
No.536221145
[Report]
 
>>536220742
nobody's standing still in that webm
also, it's harder to hit people who don't see you generally.
 
 
Anonymous
8/22/2025, 3:23:03 PM
No.536221215
[Report]
>>536334683
 
>BF2042 is 95% off
Waitchads, we won
Imagine the tards who bought it at full retail right after the beta lmao.
Still debating whether ill actually buy and play it but..
 
Anonymous
8/22/2025, 3:24:05 PM
No.536221331
[Report]
 
Do you guys think they'll adjust the spotting?
 
Anonymous
8/22/2025, 3:36:24 PM
No.536222502
[Report]
 
>playing tank vs infantry
 
Anonymous
8/22/2025, 3:43:45 PM
No.536223212
[Report]
 
>>536219601 (OP)
XBOX RECORD THAT
 
 
Anonymous
8/22/2025, 3:54:34 PM
No.536224262
[Report]
>>536225148
 
>>536220289
iirc you can play portal mode and join a 12 player slot lobby vs AI, i think that's how i unlocked all my attachmentd and weapons etc but there's probably better ways
 
 
Anonymous
8/22/2025, 4:04:06 PM
No.536225148
[Report]
>>536225318
 
>>536224262
will that level me up though? not just my weapons but my actual level
 
 
Anonymous
8/22/2025, 4:04:52 PM
No.536225225
[Report]
 
>>536224069
Post the link to the video you watched, prove it exists.
>I’m not living here 24/7, stop being so nervous
You were replying boastfully within 5min, and then you started losing your grasp on the argument after you were prompted to show proof and you started stalling and only making nervous responses.
Also having to cherry pick my posts is not a good look either. Looks like you're running out of arguments, cant post proof of any of your claims and all you have left is stalling tactics.
>You don’t even know how to use YouTube
And you clearly don't know how this website works. You were replying in the wrong thread.
 
 
Anonymous
8/22/2025, 4:05:47 PM
No.536225318
[Report]
>>536226158
 
>>536225148
you'll get some xp but not much, if you want xp i think you can set up a co op game vs AI then max out 2 ribons in 5 minutes using the spotting drone end the game and repeat
 
 
Anonymous
8/22/2025, 4:06:08 PM
No.536225349
[Report]
 
Just kiss already...
 
Anonymous
8/22/2025, 4:07:08 PM
No.536225447
[Report]
 
>you can do the solo bots to finish the battlepass 
alright pretty based
 
Anonymous
8/22/2025, 4:08:48 PM
No.536225604
[Report]
 
Those heli servers say you get 25k per round but I get like 12k max, tf am I doing wrong
 
Anonymous
8/22/2025, 4:09:14 PM
No.536225656
[Report]
 
>>536219601 (OP)
Is the doubleXP weekend on 2042 only for levels or for freepass aswell?
 
 
Anonymous
8/22/2025, 4:14:27 PM
No.536226158
[Report]
>>536226953
 
>>536225318
nta but i think hosting games has been disabled, or there is a max cap that's permanently reached. i tried making a portal server yday just for practicing the aircraft and couldn't.
 
 
Anonymous
8/22/2025, 4:18:58 PM
No.536226653
[Report]
 
>>536219867
Just fix the suppression or buff it on LMG and I just might buy this game since it'll be basically BF3 reborn
 
 
Errrrm, like guys. Come on. Seriously? I mean wow. Can we like, stop gatekeeping the franchise? Wow. I can't even.
 
Anonymous
8/22/2025, 4:21:33 PM
No.536226953
[Report]
>>536227113
 
>>536226158
oh dam they really fucked all the noobs 
i assume you still can get unlocks against bots?
 
 
Anonymous
8/22/2025, 4:23:03 PM
No.536227113
[Report]
>>536228393
 
>>536226953
idk, i just play the game
theres "bot games" in the portal but i havent tried them, supposedly you can just farm them if you need
 
 
Anonymous
8/22/2025, 4:35:41 PM
No.536228393
[Report]
 
>>536227113
i feel like the enjoyment of this game is mostly with the fun weapons, all of the base weapons are ass
 
 
Anonymous
8/22/2025, 4:39:36 PM
No.536228796
[Report]
>>536277254
 
>>536226828
dude, let's just, like, be nice to everyone, and stuff, man.
 
 
Anonymous
8/22/2025, 4:43:58 PM
No.536229245
[Report]
 
>>536193930
What makes you a "sweat" is that your only joy in the game comes from winning. For most players if the optimal play is unfun (like spamming movement and not being in any way immersed in the action) then they'll just play suboptimally. Sweats revel in this situation because it means they aren't competing with half the server. There will always be something unfun about perfectly optimal play, but it can get to the point where you can't do anything without dipping into that unfun territory, at which point something has to be changed.
 
 
Anonymous
8/22/2025, 4:52:26 PM
No.536230127
[Report]
>>536231412
 
public opinion seems to have completely turned on schmoovement faggotry considering every single one of these whiny posts by "content creators" is getting quote tweeted and ratio'd into oblivion
 
Anonymous
8/22/2025, 4:54:02 PM
No.536230292
[Report]
 
i hate cod niggers so fucking much, why do they insist on gay unnecessary movement mechanics? they won't be happy until we're fucking wall running and jetpacking around the map
 
>play bf6
>see squadmate using one of the bf2042 unlock skins
>kick him
fucking based giving us an easy way to filter these retards
 
Anonymous
8/22/2025, 5:00:30 PM
No.536231015
[Report]
 
>>536230462
>>play bf6
You're already retarded
 
 
Anonymous
8/22/2025, 5:02:52 PM
No.536231295
[Report]
 
What's stupider, gatekeeping a team game or getting gatekept by a mean tweet
 
>>536230127
good and this is coming from a cod player who is playing 2042 for the bp stuff for bf6, the movement bullshit gets tiresome and ive been playing that cod shit for years bf is about team play and blowing shit up not sliding across the floor then bug bunny hopping 3 times in a row because it fucks with hit detection
 
 
Anonymous
8/22/2025, 5:05:01 PM
No.536231547
[Report]
 
>>536230462
>see squadmate not having a premium skin
>kick them
no poorfags near me
 
 
Anonymous
8/22/2025, 5:06:10 PM
No.536231662
[Report]
 
>>536231412
honestly i think its just oversaturation, sliding and movement tech would be fine if the games industry didnt insist on making that the default
 
 
Anonymous
8/22/2025, 5:06:47 PM
No.536231734
[Report]
 
>>536231412
>sliding across the floor then bug bunny hopping 3 times in a row
cool, undesriable, but still cool
 
 
Anonymous
8/22/2025, 5:10:55 PM
No.536232201
[Report]
>>536232565
 
I want my AN-94.
 
Anonymous
8/22/2025, 5:13:57 PM
No.536232565
[Report]
 
>>536232201
I want mp5 navy contract, with bonus movement speed and accuracy, and headshot damage boost, a man can dream
 
 
Anonymous
8/22/2025, 5:14:55 PM
No.536232678
[Report]
>>536232882
 
lol
 
Anonymous
8/22/2025, 5:16:38 PM
No.536232882
[Report]
 
>>536232678
Thank god all these faggots are getting filtered out. Go play call of beavis modern butthead.
 
 
Anonymous
8/22/2025, 5:16:46 PM
No.536232894
[Report]
 
>>536232534
smokes for medic stuff, frags for assault
 
 
Anonymous
8/22/2025, 5:18:12 PM
No.536233064
[Report]
 
>>536232534
smokes can be tactical, enders uses them a lot, mostly to go from cover to cover when between it there's a potential enemy fire
 
 
Anonymous
8/22/2025, 5:20:56 PM
No.536233406
[Report]
>>536233554
 
Remember guys sliding your ass across the floor no friction burn that then propels you into the stratosphere with the same momentum you had going into the slide times by 1.5 speed multiple times whilst having no ADS penalty is grounded according to the fags that film themselves in their bedrooms playing video games
 
>>536233406
excellent post but you're an anime poster so you deserve to burn in the same hell as them
 
 
Anonymous
8/22/2025, 5:23:50 PM
No.536233735
[Report]
 
>>536233554
dont be sad thats just how things work out sometimes
 
 
Anonymous
8/22/2025, 5:24:00 PM
No.536233751
[Report]
 
>>536233554
Anime website
 
 
Did they reveal the president's face in game yet?
 
Anonymous
8/22/2025, 5:25:52 PM
No.536233971
[Report]
 
>>536233554
im going to pray to the gacha gods we get anime guns in bf6 your blasphemy will not go unchecked
 
 
the battledads crying about people outplaying them with movement would have cried just as hard when it happened in bf2 with dolphin dive enjoyers. it's just that that game wasn't around with mainstream social media, and twitch didnt exist, so when the crying battledad got raped by a dolphin diving movement ninja they just cried in chat a bit, then left the server to join their usual favorited 24/7 road rage server. now they close the game, post to their 5 million follower feed, while reposting some clip of a rare movement player ninjaing around on the flag while the boomer misses then dies, and then gets updooted by 5 million retards for their opinion so the devs have to nerf the dolphin diver enjoyers instead of the cryboomers just going to their 24/7 road rage server
 
Anonymous
8/22/2025, 5:32:19 PM
No.536234684
[Report]
>>536235080
 
>>536234336
You lost, go play cod 592,039: blops 38,624
 
 
Anonymous
8/22/2025, 5:36:01 PM
No.536235061
[Report]
 
>>536232534
I almost never find the occasional kill I get from a frag to be worth the loss in mobility for not taking smokes, unless you're defending on breakthrough or rush
 
 
Anonymous
8/22/2025, 5:36:19 PM
No.536235080
[Report]
>>536235231
 
>>536234684
>you lost
i hope you realize they didnt actually nerf any relevant movement from the beta, and its just poorly worded, you're still going to get hipfired by a guy sliding around the corner, miss 10 shots and the guy turns around and kills you real quick and continues sliding around
 
 
Anonymous
8/22/2025, 5:37:34 PM
No.536235231
[Report]
>>536235575
 
>>536235080
nta but if they didnt nerf anything these retards on twitter wouldnt be sperging
 
 
Anonymous
8/22/2025, 5:37:56 PM
No.536235279
[Report]
>>536236060
 
>>536234336
disingenous post no. 395438954 conflating deliberate gameplay mechanics like ass sliding with animation and physics exploits that were never intended by devs
 
 
Anonymous
8/22/2025, 5:40:38 PM
No.536235575
[Report]
>>536236120
 
>>536235231
the blog post left out a lot of details, i guess just to get upvotes from some redditors but the key take is that they want there to be skill based movement, just nothing too insane. there's a slight nerf to hopping after a slide, but that's it.
 
 
Anonymous
8/22/2025, 5:41:10 PM
No.536235631
[Report]
>>536236060
 
>>536234336
They nerfed dolphin diving in BF2 too though. And way fucking harder than the movement in 6 is getting nerfed. BF2 nerfed it so you couldn't shoot while jumping. You weren't less accurate, you flat out couldn't shoot at all. And they added the delay to standing up so you couldn't even use it defensively either.
 
 
Anonymous
8/22/2025, 5:44:58 PM
No.536236060
[Report]
>>536236313
 
>>536235279
>exploits that were never intended by devs
both sliding and dolphin diving are intended mechanics
>>536235631
if thats the case then it was too little too late because i still remember the default action in 1v1 being to pressing Z, or when trying to survive getting hit you would just spam prone and throw medpacks around
 
 
Anonymous
8/22/2025, 5:45:23 PM
No.536236120
[Report]
>>536236769
 
>>536235575
yeah as there should be, i dont mind sliding and diving its the dumb ass jumping after it
 
 
Anonymous
8/22/2025, 5:46:55 PM
No.536236313
[Report]
>>536236934
 
>>536236060
>both sliding and dolphin diving are intended mechanics
hmmm nyo
 
 
Anonymous
8/22/2025, 5:49:44 PM
No.536236640
[Report]
>>536236830
 
I honestly say bring back commander roles. Or at least a special mode for them in Portal. Please
 
Anonymous
8/22/2025, 5:50:54 PM
No.536236759
[Report]
 
Idea: they should allow crazy as fuck movement JUST for a 1 week event, then remove it afterwards
 
>>536236120
the guy writing the followups was giving the picture that its going to be barely noticable on the initial jump, but wanted to give diminishing returns for spamming jump.
 
 
Anonymous
8/22/2025, 5:51:24 PM
No.536236830
[Report]
 
>>536236640
artillery and supply drop call ins kudasai
 
 
Anonymous
8/22/2025, 5:52:24 PM
No.536236927
[Report]
 
 
Anonymous
8/22/2025, 5:52:27 PM
No.536236934
[Report]
 
>>536236313
jumping and pressing prone at the time isn't an exploit. its just how the game worked. and if you mean that twitter clip of "bhop" then nobody is talking about that.
 
 
>>536226828
why are all the faggot youtubers right now who take part in the COD vs BF war are now going 
>erm guys dont be toxic
Westie,jackfrags,levelcap,glakfire all harbored this fanbase and are now shocked they are doing what they pushed
 
 
Anonymous
8/22/2025, 5:54:17 PM
No.536237123
[Report]
 
>>536236769
i dont think you should be able to jump from a slide at all if im being honest, its the most retarded shit in cod i had to deal with it all the time in ranked, you do not want this shit in BF it will turn a large portion of players away like it did COD
 
 
It brings me great pleasure to know you suffer because what you believe to have been your game was stolen from you by CoD schmovers.
 
Anonymous
8/22/2025, 5:55:56 PM
No.536237292
[Report]
 
/bfg/ is acting like reddit now stop talking about call of duty holy fuck mentally touched and obsessed at this point
 
Anonymous
8/22/2025, 5:57:49 PM
No.536237469
[Report]
 
>>536237289
erm, why are all the schmoovement faggots pitching a mega melty over this then
 
 
Anonymous
8/22/2025, 5:59:09 PM
No.536237650
[Report]
 
>>536237001
They'll get cannibalised before they know it. Just don't be insanely obtuse on these situations as a major voice.
 
 
>>536237001
it's more that the ati-CoD thing has become clearly forced and NPC behavior at this point
 
 
Anonymous
8/22/2025, 6:03:27 PM
No.536238097
[Report]
 
>>536238007
>at this point
It has been for at least 15 years running
 
 
Anonymous
8/22/2025, 6:04:29 PM
No.536238198
[Report]
>>536238279
 
>>536238007
>that the ati-CoD thing has become clearly forced
>forced
nigger...
 
 
>>536238198
dont we like MW2019 here?
 
 
Anonymous
8/22/2025, 6:05:18 PM
No.536238284
[Report]
 
>>536237289
You're losing your battle on /gig/, go back
 
 
Anonymous
8/22/2025, 6:05:45 PM
No.536238327
[Report]
>>536275729
 
>>536237001
i dont know how you dont know this but, youtubers/twitch streamers etc have no backbone no soul, they would sell their mother to whore herself out if it meant they got a leg up in streaming they will follow the money sponsor shit that is downright hazardous to your health and tell you this game is god tier and you should kill yourself if you think otherwise to them because THEY are better than you like they dont have addresses and can be got at, at any point by the mentally ill faggots that follow them on their streams 
ego.
 
 
Anonymous
8/22/2025, 6:05:57 PM
No.536238345
[Report]
 
 
Anonymous
8/22/2025, 6:06:45 PM
No.536238448
[Report]
 
>>536237747
this guy asked for help
>>536237289
come back shitposter, theres saleposting, kusoge ad posting, and cunny in /gig/
or you can post how gay/straight aether is
 
 
Anonymous
8/22/2025, 6:06:47 PM
No.536238452
[Report]
 
>>536238279
yes but MW2019 was destroyed by a movement glitch turned mechanic by sweats
 
 
Anonymous
8/22/2025, 6:07:00 PM
No.536238476
[Report]
>>536238638
 
>>536238279
>game that introduced FortZone
>woke as fuck campaign
>Shitty Battlefield knockoff mode that died almost instantly
#NotMyModernWarfare
 
 
Anonymous
8/22/2025, 6:07:00 PM
No.536238479
[Report]
 
>>536238007
>Don't gatekeep CoD shitters
>CoD shitters flock in mass
>Dev see a huge influx of dumbfuck retards they can easily sell garbage skins to
>Game turns to Rick and Morty garbage zoomerfest
How about we don't.
 
 
Anonymous
8/22/2025, 6:07:46 PM
No.536238572
[Report]
 
>>536238279
We like the general aesthetic of Modern Warfare, but the game itself is vastly overhyped at this point. It also started the inevitable downfall of CoD with Memezone
 
 
Anonymous
8/22/2025, 6:08:18 PM
No.536238638
[Report]
 
>>536238476
bahahaha even the wokest COD campaign doesnt hold a candle to what Dice did in BFV
 
 
Anonymous
8/22/2025, 6:08:38 PM
No.536238678
[Report]
>>536292247
 
still in shock that from the stats dice dumped that only one person was getting revived for every 14 matches, I knew it was bad but not THAT bad
 
Anonymous
8/22/2025, 6:08:44 PM
No.536238685
[Report]
 
>536238448
>posted it again award
 
Anonymous
8/22/2025, 6:09:26 PM
No.536238767
[Report]
 
>>536237289
i played 80hrs of the beta and mainly inf gameplay and i dont think i ever died to a guy who outplayed me with movement, people especially on social media just have made up this boogieman of a tap strafing CoD nigger that spins around their mouse and 1frame flicks niggers from the skybox between his jump combos. even in bfv where the slide was "better" i never saw people using it.
 
 
Anonymous
8/22/2025, 6:15:13 PM
No.536239427
[Report]
>>536241312
 
>>536230462
>flank the enemy team
>prioritize killing the guys with the flamboyant 2042 skins
It will happen
 
 
>tfw im a multi FPS chad and never picked sides 
>Most BF only faggots have the worst FPS skills known to man. 
Most of you fags are console only groids and it shows, nu /bfg/ is full of BF only retards who cant play COD becasue its "too sweaty and too casual" yet at the same time actual milsim experiences are too scary for you guys too becasue you need dopamine and cant handle even milsim lite games like Hell Let Loose or Red Orchestra. 
The typical BF chud is the perfect blueberry ripe for the picking and its no wonder you can just do simple flanks and BF6 and grab like 6 kills.
 
Anonymous
8/22/2025, 6:31:43 PM
No.536241312
[Report]
 
>>536239427
this except phantom skins
 
 
Anonymous
8/22/2025, 6:32:43 PM
No.536241394
[Report]
 
>>536241165
go back to black ops7 faggot
 
 
Anonymous
8/22/2025, 6:34:09 PM
No.536241569
[Report]
 
>>536241165
lost me at
>BF chud
you're a jew-minded faggot, dilate and then 41% ys
 
 
Anonymous
8/22/2025, 6:35:11 PM
No.536241675
[Report]
 
 
Anonymous
8/22/2025, 6:36:29 PM
No.536241819
[Report]
 
>>536241165
>chud
you are a homosexual tranny and i play cod and i shit on everyone with mkb
 
 
Anonymous
8/22/2025, 6:36:33 PM
No.536241827
[Report]
>>536242802
 
EYYY NO MAMES NO FREAKIN MOVEMENT HOLMES? WHYTE PEPO DONT HAVE THE SAUCE NO MORE MANG
 
Anonymous
8/22/2025, 6:36:43 PM
No.536241848
[Report]
>>536251480
 
>>536241434
People like Enders thrive in battlefield because its like 
>>536241165 the BF fanbase always been notoriously on the shit end of skill level. I assure you Enders only prefers this game becasue he can show the amount of lobby stomps he performs since all he does is try to find a flank route and kill groups.
 
 
>>536241165
truthnvuke, especially the part about being sick and mentally ass blasted over COD but cant cut it out in even milsim lite tier games
 
 
>>536242239
I think the actual issue is most military FPS groids dont play other video games ever in their life. They are stuck trying to relive being alive in 2007
 
 
Anonymous
8/22/2025, 6:44:51 PM
No.536242798
[Report]
>>536243052
 
 
Anonymous
8/22/2025, 6:44:54 PM
No.536242802
[Report]
 
>>536241827
no extra spicy 4 u, esse
 
 
>>536233934
I'm like 90% sure its voiced and modeled after Benito Martinez. Even the bottom half of his face looks like him
 
 
Anonymous
8/22/2025, 6:46:59 PM
No.536243052
[Report]
>>536243272
 
>>536242798
this attitude is just gonna make the general gaming community turn on the fanbase its getting to a point you niggas need to shut up
 
 
Anonymous
8/22/2025, 6:47:50 PM
No.536243150
[Report]
>>536243293
 
 
Anonymous
8/22/2025, 6:48:56 PM
No.536243272
[Report]
 
>>536243052
You are the minority you subhuman cod exists go play that
 
 
>>536242913
>>536243150
>>536233934
The campaign was made around peak TDS but they have since had to scale back on it. As im pretty sure they were gonna make America the bad guys in this game
 
 
Anonymous
8/22/2025, 6:50:34 PM
No.536243471
[Report]
 
>>536243293
>As im pretty sure they were gonna make America the bad guys in this game
would have been epic if so, but EA doesnt have the balls to make any specific country the villain these days which is why we're getting euro PMCs as the baddies
 
 
Anonymous
8/22/2025, 6:55:27 PM
No.536244036
[Report]
>>536244491
 
>>536243293
I have a slight feeling that due to being inspired by Civil War they were planning some big reveal where the US president overtook NATO and Pax Armata were NATO fallouts
It doesnt make sense France, Algeria, and a whole bunch of other western European countries dropped out of NATO like this
 
 
Anonymous
8/22/2025, 6:56:15 PM
No.536244145
[Report]
>>536246842
 
>>536242913
It's definitely him. He was in Hardline's campaign too.
 
 
>450 fucking kills with the drauger to get the jdam
2042's biggest mistake is the grind bloat to keep people playing with the promise of getting some overpowered shit
 
Anonymous
8/22/2025, 6:58:56 PM
No.536244491
[Report]
 
>>536244036
I predict the twist is the American president is a bad guy still
 
 
Anonymous
8/22/2025, 6:59:45 PM
No.536244604
[Report]
 
>>536244410
nu-gaming was a mistake
 
 
Anonymous
8/22/2025, 7:00:47 PM
No.536244743
[Report]
>>536245419
 
>>536241165
Battlefield fanboys dont wanna hear this one
 
 
Anonymous
8/22/2025, 7:03:28 PM
No.536245051
[Report]
>>536245419
 
>>536241165
AIIIIIIIIIIEEEEEE GO BACK TO COD YOU DONT UNDERSTAND BF IS FOR TRUE MEN AIIIIIIEEEEEEEEEEEEE
 
 
Anonymous
8/22/2025, 7:06:36 PM
No.536245419
[Report]
 
 
Anonymous
8/22/2025, 7:07:40 PM
No.536245531
[Report]
 
>>536242685
Why should I play anything else? Video games were good when then they were all shooters
 
 
Anonymous
8/22/2025, 7:11:45 PM
No.536246017
[Report]
 
>>536244410
Dunno if they adjusted it, but it also used to require a lot of kills just to get the fucking jammer against lock-ons. It used to be basically impossible to farm it in PvP because a Wildcat would just instakill you with missiles across half the map with no way to counter it.
 
 
Anonymous
8/22/2025, 7:14:03 PM
No.536246279
[Report]
 
>>536242685
lmfao no reforger us huge right now. go back to cod
 
 
>GO BACK TO COD
Is that all you nigs have? Really? nu /bfg/ is this now huh?
 
Anonymous
8/22/2025, 7:17:48 PM
No.536246712
[Report]
 
>>536246543
ok buddy back to cod, we've returned from our vacation
 
 
Anonymous
8/22/2025, 7:18:39 PM
No.536246827
[Report]
 
>>536246543
you should go back to the year 2011 and tell the EA marketers to knock it off
 
 
Anonymous
8/22/2025, 7:18:47 PM
No.536246842
[Report]
 
>>536244145
Ok yea that just reaffirmed my guess
 
 
Anonymous
8/22/2025, 7:21:45 PM
No.536247185
[Report]
>>536251178
 
>>536246976
after playing 2042 for the first time honestly its fine you get use to it, the problem with big maps is when its big open with no cover and you are the attacker trying to capture
 
 
Anonymous
8/22/2025, 7:22:30 PM
No.536247275
[Report]
 
>>536246976
Good that’s battlefield
 
 
Anonymous
8/22/2025, 7:23:05 PM
No.536247365
[Report]
 
i forgot how broken hipfire is in 2042, even without a laser you can beam people
 
Anonymous
8/22/2025, 7:23:13 PM
No.536247379
[Report]
 
Daily reminder to report the soflam bug so that vehicles don't have free reign
 
Anonymous
8/22/2025, 7:23:42 PM
No.536247425
[Report]
>>536248283
 
>>536246976
>bunch of lanes that are easy to put mines on, no room for vehicles to manuever
i have alleyway fatigue
 
 
Anonymous
8/22/2025, 7:24:41 PM
No.536247558
[Report]
 
just remake karkand and mashtuur and jalalabad and sharqui what the fuck is wrong with you, DICE, why do you hate money?
 
Anonymous
8/22/2025, 7:25:44 PM
No.536247687
[Report]
>>536247821
 
>>536246976
let me guess, that massive hill at the bottom is completely inaccessible
 
 
what in the fuck is this cluster grenade thing people are using in "redacted" in 2042? they throw it, it then splits into 8 grenades and kills everyone in the room
 
Anonymous
8/22/2025, 7:26:48 PM
No.536247821
[Report]
 
 
Anonymous
8/22/2025, 7:27:51 PM
No.536247938
[Report]
>>536248436
 
>>536247693
special ability for the wingsuit assault chick
 
 
Anonymous
8/22/2025, 7:27:56 PM
No.536247951
[Report]
>>536248436
 
>>536247693
wingsuit nonbinary queen's gadget
 
 
Anonymous
8/22/2025, 7:30:37 PM
No.536248283
[Report]
>>536248571
 
 
Anonymous
8/22/2025, 7:31:52 PM
No.536248436
[Report]
 
 
Anonymous
8/22/2025, 7:32:57 PM
No.536248571
[Report]
 
>>536248283
this is codslop design thoughbeit
 
 
Anonymous
8/22/2025, 7:35:49 PM
No.536248927
[Report]
>>536256775
 
>want the chinaman skin
>level 49
I'm not going to make it
 
Anonymous
8/22/2025, 7:35:59 PM
No.536248943
[Report]
 
>>536247693
Don't worry about. Just assume 2042 never happened altogether. It's for the best.
 
 
Why yes, I do want to look like a 20yo tiktok zoomer doing a photo OP
 
Anonymous
8/22/2025, 7:40:56 PM
No.536249571
[Report]
 
>>536249291
textures obviously arent finished
 
 
Anonymous
8/22/2025, 7:41:29 PM
No.536249636
[Report]
 
>download 2042 for the event
>revive 10 people in smoke
>go to breakthrough and rive 20+ people in smoke
>check mission
>3/10
Uninstalled.
 
Is 2042 even worth 3 bucks?
 
Anonymous
8/22/2025, 7:52:38 PM
No.536250921
[Report]
>>536251840
 
>>536250789
its not as bad as people say it is surprisingly
 
 
Anonymous
8/22/2025, 7:52:43 PM
No.536250935
[Report]
 
test
 
Anonymous
8/22/2025, 7:52:59 PM
No.536250963
[Report]
 
>>536250789
The real question to ask is "are the BF6 skins worth 3 bucks?"
 
 
Anonymous
8/22/2025, 7:55:05 PM
No.536251178
[Report]
 
>>536247185
>like db but it's actually troon appealing characters
grim
 
 
Anonymous
8/22/2025, 7:56:42 PM
No.536251367
[Report]
 
>>536249291
>no zoomer haircut
not bussin'
 
 
Anonymous
8/22/2025, 7:57:34 PM
No.536251480
[Report]
 
>>536241165
>>536241434
>>536241848
keep crying chud, my daddy enders is gonna keep clowning on you while you go 7-20 and cry on reddit
 
 
Anonymous
8/22/2025, 8:00:27 PM
No.536251840
[Report]
 
>>536250921
that was my honeymoon impression but after 10 hrs i kinda think its worse than bfv. so many points i spawn at im just like where the fuck am i and i look at the closest enemy objective and its 300m+ away and i just suicide and spawn somewhere else. 128 isnt big enough and the maps arent big enough to have that planetside 2 engagement where 2 walls of flesh just throw each other at the opposing wall and the front lines develop over time, nor is it small enough for any kind of tactical play. 
its just like playing on a big map in regular battlefield for no gameplay reason.
 
 
Anonymous
8/22/2025, 8:07:28 PM
No.536252615
[Report]
 
Battlefield 6
 
Fucking hate hills fuck these leak maps
 
Anonymous
8/22/2025, 8:18:39 PM
No.536253840
[Report]
 
>>536253467
snipers and vehiclefags paradise
 
 
>>536253467
Sniperschads we won!!!
 
 
Anonymous
8/22/2025, 8:25:09 PM
No.536254516
[Report]
 
>>536254348
>can't spawn beacon parachute to it
Is it over?
 
 
Anonymous
8/22/2025, 8:25:24 PM
No.536254550
[Report]
 
>>536253467
So called battlefield veterans shitting their pants over an actual bf map
 
 
Anonymous
8/22/2025, 8:27:29 PM
No.536254782
[Report]
 
>>536254348
epic verticality
 
 
Anonymous
8/22/2025, 8:31:19 PM
No.536255217
[Report]
 
>>536254348
if it was for me, all sniperfags would be forced to only play sniper vs sniper games, they know damn well that would be their worst hell and nightmare
 
 
Anonymous
8/22/2025, 8:33:28 PM
No.536255439
[Report]
 
Oh fug we're in here
 
Anonymous
8/22/2025, 8:37:20 PM
No.536255858
[Report]
>>536256476
 
>>536254348
>>536253467
All these roof top and towers i can't wait..Sniperbros
 
 
Anonymous
8/22/2025, 8:39:31 PM
No.536256093
[Report]
>>536256326
 
Another leak map looks boring tho
 
Anonymous
8/22/2025, 8:41:34 PM
No.536256326
[Report]
>>536268536
 
 
Anonymous
8/22/2025, 8:42:34 PM
No.536256440
[Report]
>>536260398
 
>>536238007
People gatekeep because the CoD audience/playerbase is a shitty playerbase. They enable some of the worse developer behaviors imaginable. Its why EA keeps chasing them. CoD sports horrible skins, yearly releases where nothing changes, retarded monetization, etc. They're the fifa of FPS games. You've got these CoD games with negative to mixed reviews, yet its playerbase still spends millions out the ass on these games. Cause they're so stupid and addicted. 
2042 was a result of unrestrained chasing of the CoD crowd. They showed their hand with that game. If you like 2042, good for you. But it was a shit game for a majority of people. Along those same lines, the past 4 battlefield games were quickly abandoned by DICE because they died (revenue wise). As they went hard for the CoD crowd, and the CoD crowd went back to CoD after a year.Then you have things like commander mode being removed because it was deemed "too complicated" for this audience. CoD players hate vehicles on top of this. Ever see how much they seethe when dying to a jet or helicopter? Its hilarious. Its also why we're getting 5/9 maps in Bf6 was "small" and "infantry focused" maps. To appeal to this playerbase. Every iteration they nerf tactical skill displays, vehicles, and strategy. To appeal to this CoD playstyle. 
The core of what makes "CoD, CoD" and what makes "Battlefield, Battlefied" are not compatible. And the past 12 years of BF failures is evidence of this. Yet they keep trying cause retard money is too good
 
 
Anonymous
8/22/2025, 8:42:51 PM
No.536256476
[Report]
 
>>536255858
I can't wait to run through those buildings with a semi auto shotgun
 
 
Anonymous
8/22/2025, 8:44:10 PM
No.536256604
[Report]
 
>>536241165
>claims he's an "epic god gamer chad" who never picks sides
>cries about zoomer movement faggotry getting nerfed 
Why don't you tell Counter Strike players to add sliding then, you shitter? Games like HLL or RO don't fill the the arcade combined arms sandbox niche that BF has and not everyone likes what BF does which is fine, why do you think Squad and Project Reality exist you stupid nigger? Because they DON'T like the arcade nature of BF. 
Ironic that you bring up dopamine need yet you want retarded movement as a crutch to fulfill that need of yours. I don't even fucking play nuBF anymore that much because of how much dogshit they've become but at least I know very well that I'm not the target audience and won't bother to whine and cry about every single little change to the devs because from their point of view my opinion and yours are worthless at the end of the day, you either adapt to their shitty games or move on.
 
 
Anonymous
8/22/2025, 8:44:22 PM
No.536256634
[Report]
 
We are gatekeeping?
 
Anonymous
8/22/2025, 8:45:32 PM
No.536256775
[Report]
>>536257108
 
>>536248927
Retard they do it like this intentionally to make you come back every week and do all the weeklies
Only niggers grind
 
 
Anonymous
8/22/2025, 8:47:03 PM
No.536256942
[Report]
 
>>536249291
I might preorder this for the simple fact it's going to be the only unmasked operator skin in the game for a long time judging by how the leaked content looks
 
 
>>536256775
>only niggers grind
How are you supposed to get the fucking skins retard?
 
 
Anonymous
8/22/2025, 8:50:10 PM
No.536257362
[Report]
 
>>536257016
Egypt will grow larger...
 
 
Anonymous
8/22/2025, 8:51:23 PM
No.536257505
[Report]
>>536258096
 
>Double xp
>Season pass still takes forever to finish
 
Anonymous
8/22/2025, 8:52:51 PM
No.536257668
[Report]
>>536258869
 
>>536257108
Log in every weekend
Join some shitty bot farm server on portal to do all the challenges
1 hour a week and you're at level 40, the rest of the ranks you can do by afk farming in a helicopter or ammo box server during 2x exp weekends. I just unlocked the f2000 and I barely played 2042 genuinely (maybe a handful of iwo jima games)
People who want to get it done NOW NOW NOW are giving EA what they want, engagement to show their stockholders. They set it up to keep you coming back, so think ahead, stop being impatient, come back when there's new challenges, etc.
Also you only need to be level 42 to do all the challenges, in order to unlock the incendiary grenade. You can get there in 2 days.
 
 
Anonymous
8/22/2025, 8:52:56 PM
No.536257678
[Report]
 
>>536257108
Reread the post niggerbaby
 
 
Anonymous
8/22/2025, 8:53:38 PM
No.536257738
[Report]
 
>>536257016
funny cause I got covid
 
 
Anonymous
8/22/2025, 8:56:50 PM
No.536258096
[Report]
>>536274183
 
>>536257505
Pov: "grinding" the season pass
 
 
Anonymous
8/22/2025, 8:58:52 PM
No.536258341
[Report]
 
>>536220550
Be advised, nice.
 
 
Now entering: new basedjak city
 
Anonymous
8/22/2025, 9:03:04 PM
No.536258809
[Report]
 
>>536258740
GET OFF THE ROOOF FAGGOTT
 
 
>suspended for 168 hours because I called some idiot in the BF6 beta a retard
He deserved it though. I stepped out of my tank for 2 seconds to revive a squad mate, and some random retard ran into the drivers seat before I could get back in and immediately drove it into a fight and got it blown it. fucking moron.
 
18 more battlepass levels until i'm free from this hellscape of a game
 
Anonymous
8/22/2025, 9:03:26 PM
No.536258860
[Report]
 
>>536258740
i fucking hate this picture
 
 
Anonymous
8/22/2025, 9:03:30 PM
No.536258869
[Report]
 
>>536257668
Isn't it better to log in everyday for the first match of the day? 
>Join some shitty bot farm server on portal to do all the challenges
What the fuck is portal how do i join
 
 
Anonymous
8/22/2025, 9:05:08 PM
No.536259057
[Report]
 
>what is portal
i dont know bro maybe that big fucking option on the homescreen called 'portal'
 
Anonymous
8/22/2025, 9:07:53 PM
No.536259364
[Report]
 
i have the nastiest head glitch on redacted, perfect for breakthrough i dont even need to move my crosshair just keep tapping as the enemies walk head first into my sight
 
Anonymous
8/22/2025, 9:10:20 PM
No.536259658
[Report]
 
>>536241165
What are you talking about? I play Squad and Red Orchestra. Flanking is a complete toss up in BF6 because of the complete dog shit spawn logic causing enemies to spawn 5m behind you.
In Squad flanking can be very effective because you know theres no way some asshole will materialize out of thin air. Whenever you die its always your own fault because you were caught slacking and didnt check a corner/window/building before moving past it.
 
 
You guys are acting like the last decade of battlefield hasn't involved jumpy and janky movement. Did you get collective amnesia, or is everyone ITT refugees?
 
Anonymous
8/22/2025, 9:16:43 PM
No.536260390
[Report]
 
>>536260224
I have not played Battlefield since 3 abdcI hated it too.
Still waiting on that lightning in a bottle like BF2
 
 
Anonymous
8/22/2025, 9:16:46 PM
No.536260397
[Report]
 
>>536260224
>erm the last 10 years were dogshit therefore you need to accept the dogshit 
 
>>536256440
At this point the only way these retards will learn is through acceleration.
Dice has been inching towards the death of Battlefield for a long time now, 2042 damn near killed it which is why they course corrected a little bit but the overall trend will keep sending it the same way.
I suspect the following Battlefield game will do even more ridiculous bullshit to appeal to the CoD audience because they're clearly the bigger audience, they skew younger and they spend more than the Battlefield audience, so the financial incentive is all there. Once Battlefield finds itself fighting on CoDs terms then CoD will easily be the preferred choice because no one can do CoD better than CoD does CoD.
Also everyone needs to remind these fags about XDefiant, that game was a love letter to disgruntled CoD fans and it fucking flopped anyway.
 
 
Anonymous
8/22/2025, 9:17:00 PM
No.536260421
[Report]
>>536293096
 
>>536218692
what do you even use for color correction?
 
 
The trvke movement troons can't accept. They're fucking pajeets shitting up everything and with the gall to demand any normal game they pollute to BE like the AIDs-ridden franchises they've ruined.
 
Anonymous
8/22/2025, 9:24:20 PM
No.536261246
[Report]
 
>>536260224
>acting
That's not the narrative here you stupid little faggot.
 
 
Anonymous
8/22/2025, 9:24:22 PM
No.536261249
[Report]
>>536281709
 
now say it with less buzzwords
 
Anonymous
8/22/2025, 9:25:19 PM
No.536261369
[Report]
>>536262079
 
>>536258824
How are you grinding it
 
 
Anonymous
8/22/2025, 9:31:33 PM
No.536262079
[Report]
>>536267489
 
>>536261369
mostly portal grinding
 
 
Anonymous
8/22/2025, 9:32:51 PM
No.536262229
[Report]
>>536269262
 
>>536260398
>that game was a love letter to disgruntled CoD fans and it fucking flopped anyway.
Yeah because Ubisoft is fucking retarded and didn't know how to market it, in addition to a stint in development hell. But much like 2042 decided to hop on the trend BO3 started well after COD players got sick of specialist abilities, XDefiant tried to do the same while also pushing Ubisoft's deranged idea that people care about their bootleg MCU. The game also played nothing like a 'classic' COD at all, it played like actual dogshit.
The one game I've seen that does the 'we have COD at home' strategy find any success was Ironsight, and even then it was only alive for about a year before it went on life support for 5 years. It recently ended service. Unlike XDefiant, it actually played like Black Ops 2 which is generally the end point for what people consider classic COD. Still didn't save it in the end though. It's like all those WoWkiller MMO's or the hero shooters trying to be the next Overwatch, you'll never match those even if your game is objectively better.
 
 
Anonymous
8/22/2025, 9:35:18 PM
No.536262494
[Report]
>>536264864
 
>>536258824
How da fug are you that far ahead already
 
 
Anonymous
8/22/2025, 9:38:28 PM
No.536262852
[Report]
>>536263874
 
why can't you shoot through walls in bf6?
 
Anonymous
8/22/2025, 9:48:31 PM
No.536264050
[Report]
>>536265552
 
>>536263874
Even handgun calibers would still penetrate that althoughbeit
 
 
Anonymous
8/22/2025, 9:52:34 PM
No.536264510
[Report]
>>536265552
 
>>536263874
The fame has no bullet penetation. Even wooden frames or chairs absorb 100% of your damage. Cairo is extremely can be obnoxious because of that.
 
 
Anonymous
8/22/2025, 9:54:08 PM
No.536264685
[Report]
>>536265552
 
>>536263874
>retarded currymuncher has no idea how bullet penetration works
Who would have figured?
 
 
Anonymous
8/22/2025, 9:54:36 PM
No.536264737
[Report]
>>536280492
 
>>536260934
mentioning movement and referring to quake and unreal tournament when discussing those other games is so dishonest. there's no actual reason for all that retarded movement in cowadoody or battlefield, it serves no purpose to the game. in quake and ut the primary aspect of the game is keep your stacks up, collect the good guns and keep your enemy from doing these things. this is why you need to strafe jump and be fast, it serves an actual purpose to the game. if you want to use a technical argument strafe jumping was never even intended in quake, but became a core mechanic. there's literally no argument against this wonky movement horse shit in battlefield and cawadoody, definitely not by bringing up old game exploits
 
 
Anonymous
8/22/2025, 9:55:38 PM
No.536264864
[Report]
 
>>536262494
no lifed it because im an unemployed freak
 
 
Anonymous
8/22/2025, 9:56:52 PM
No.536265023
[Report]
 
>>536246976
Looks good, actually, like Gulf of Oman without the asymmetry that makes it super obnoxious to play.
 
 
Anonymous
8/22/2025, 9:57:22 PM
No.536265078
[Report]
>>536265552
 
>>536263874
>hey why can't you shoot through things in this video ga-
>HELLO SAARR I TELL YOU OF THE GLORIOUS YUROP 
 
Anonymous
8/22/2025, 10:01:29 PM
No.536265552
[Report]
>>536265830
 
>>536264050
>>536264510
>>536264685
>>536265078
Damn, you faggots all live in houses that only have UNFILLED cinder block walls? Or do you live in a corrugated iron sheet hut, Jamal?
https://www.youtube.com/watch?v=7VeqqNuQU_4 
 
Anonymous
8/22/2025, 10:03:53 PM
No.536265830
[Report]
 
>>536265552
No one gives a fuck, Harpreet. This is BATTLEFIELD
 
 
Anonymous
8/22/2025, 10:09:37 PM
No.536266495
[Report]
 
>Masterkey still gone from 2042
wew lad
 
Anonymous
8/22/2025, 10:17:53 PM
No.536267489
[Report]
 
>>536262079
i heard close quarter is better?
 
 
Anonymous
8/22/2025, 10:18:27 PM
No.536267537
[Report]
>>536267764
 
Ammo box portal servers are by far the best way to grind xp by the way, it's like 3-5 times faster than the helicopter servers
 
Anonymous
8/22/2025, 10:20:26 PM
No.536267764
[Report]
>>536268007
 
>>536267537
>Ammo box portal servers
Newfag here, how do i join those? Why not just play hardcore
 
 
Anonymous
8/22/2025, 10:22:20 PM
No.536268007
[Report]
 
>>536267764
Main menu, bottom left corner, portal mode, click on a server that has "ammo box" in it. And you don't play hardcore because that requires you to actually play the game. I'm just dropping supply crates with my controller on my second monitor while watching youtube on my main monitor.
 
 
Anonymous
8/22/2025, 10:26:58 PM
No.536268536
[Report]
 
>>536256326
This one looks like Golmud Railway combined with Zavod 311. Honestly, I think the too-big 2042 maps have skewed people's perspective. I'd prefer fewer infantry-only maps, but the ones we're getting at least aren't grind corridors like Metro and Locker, and maps like Liberation Peak remind me more of Zavod 311 in scale. The problems with that map have more to do with how the points are built up and placed rather than anything inherently wrong with the map design. Maybe they could put a tunnel complex under the rock between C and D flags to improve cycling between them and open up C for use in Breakthrough to open up the third set of points, but size-wise, I don't see much that isn't precedented in previous modern Battlefields.
 
 
>>536260398
Preciously. Its a huge problem in the game industry among AAA audiences, in my opinion. Their budgets are so inflated that they can't/wont take a risk on any formulas that haven't been proven recently. To me, the big thing is this leak in the picture from Jan 2025. The reason I'm leaning towards it being true is because the AI commander was true. Could be a lucky guess, but I can see the rest happening. So they want yearly releases where little changes and the want stupid skins. 
>>536262229 comment on the MMO aspect really resonates. You see it all the time right now. MMO tries to be like current popular mmorpg (WoW/FF14/Gw2/etc), fails because people don't see a reason to play it over the original. 
BF needs to cultivate its own audience instead of trying to ride coattails. It seems like since Bf2, they haven't been quite sure how to handle the game given the titles track records. Where a lot of BFs either didn't sell well initially, or died so fast that they were viewed as failures from the live service perspective (Bf1, for example, sold well. But lost most of its players very fast). After they saw success with BC1/2 and its "mainline" iteration BF3/4, they kept going down the trend that those games started. And its failed for the past 12 years. They need to pivot.
 
 
Anonymous
8/22/2025, 10:35:14 PM
No.536269430
[Report]
>>536279345
 
>>536269262
The red X's represent either failure in sales or failure in live service revenue (EA values this significantly)
 
 
Anonymous
8/22/2025, 10:39:40 PM
No.536269908
[Report]
>>536273405
 
>>536269262
Here is the mentioned leak from a former dice dev.
 
 
Anonymous
8/22/2025, 10:49:36 PM
No.536270971
[Report]
>>536275505
 
the problem battlefield has is it tries to appeal to everyone and ends up being a decent all rounder without doing anything special, they should just make a fun large scale semi realistic modern war simulator and find new ways to innovate it every ~3 years
 
i miss bf6
those two weekends were really fun
 
Anonymous
8/22/2025, 11:11:23 PM
No.536273405
[Report]
 
>>536269908
>Goal is new bf game every year
ok sign me up for vietnam or 2142 reskin next year.
 
 
Anonymous
8/22/2025, 11:11:58 PM
No.536273465
[Report]
 
>>536271221
same man it was the most comfy weekends of the summer
 
 
Anonymous
8/22/2025, 11:13:39 PM
No.536273654
[Report]
>>536279638
 
>>536269262
i don't know why you would incluide project reality while leaving out dcmod who's developers went on to work for dice making bf2. that was a pretty significant event and many people back in the day thought dcmod was superior to bf2
 
 
Anonymous
8/22/2025, 11:18:35 PM
No.536274183
[Report]
 
 
Anonymous
8/22/2025, 11:19:51 PM
No.536274316
[Report]
>>536276181
 
>>536271221
fucking nuts how much we got raided
You would have thought the game sucked based on what the /v/efugee shitposters were saying here
 
 
Anonymous
8/22/2025, 11:20:46 PM
No.536274441
[Report]
 
wow zowy
 
Anonymous
8/22/2025, 11:23:50 PM
No.536274768
[Report]
>>536274896
 
bfg is done
 
>Repoasting
Reminder to save the challenges for the end of the week instead of doing them immediately.
Each level of the battlepass adds 500 exp requirement to earn points (the dots) towards the level.
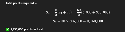
So doing challenges after grinding is the smartest thing, not doing them immediately. Also it takes 9,150,000 exp to complete the battlepass without challenges. Fuck dice.
 
Anonymous
8/22/2025, 11:24:35 PM
No.536274838
[Report]
 
>>536274772
i'm just going to play to win
 
 
Anonymous
8/22/2025, 11:25:08 PM
No.536274896
[Report]
 
>>536274768
comfy halo frends <3
 
 
Anonymous
8/22/2025, 11:25:18 PM
No.536274923
[Report]
 
>>536274275
>>536274275
also im just doin the battlepass but i want to make it feel less grindy as possible. i do want to have that thing they call fun
 
 
Anonymous
8/22/2025, 11:25:55 PM
No.536274987
[Report]
 
>>536274965
AAAAAAAAAIIIIIIIIIIIIIIIEEEEEEEEEEEEE
 
 
Anonymous
8/22/2025, 11:28:43 PM
No.536275306
[Report]
 
>>536274965
it's a feature
 
 
Anonymous
8/22/2025, 11:30:25 PM
No.536275505
[Report]
>>536277890
 
>>536270971
this is why they should drop the whole campaign/portal/battle royale meme
they can barely even do battlefield anymore
 
 
Anonymous
8/22/2025, 11:32:30 PM
No.536275729
[Report]
 
>>536238327
why did you post shin megami tensei
 
 
Anonymous
8/22/2025, 11:34:39 PM
No.536275961
[Report]
>>536276050
 
bf5 fucking sucks, these games feel so weird and like your hands are so disconnected and shit
 
Anonymous
8/22/2025, 11:35:30 PM
No.536276050
[Report]
 
>>536275961
this except 4
 
 
Anonymous
8/22/2025, 11:36:42 PM
No.536276181
[Report]
 
>>536274316
the catboy thing got me more fired up than the game itself
now after playin 2042 after playin bf6 makes me miss it.
 
 
Anonymous
8/22/2025, 11:37:09 PM
No.536276221
[Report]
 
this except All Refractor games
 
Anonymous
8/22/2025, 11:42:13 PM
No.536276775
[Report]
 
finally just got bf2042, last played it in beta, wasnt a fan but $3 and it has old maps so i said fuck it
but why does every populated portal server have bots?
 
Anonymous
8/22/2025, 11:46:32 PM
No.536277254
[Report]
 
>>536228796
Just let people have fun, bro!
 
 
Anonymous
8/22/2025, 11:52:23 PM
No.536277890
[Report]
>>536280791
 
>>536275505
Making Firestorm is a mistake. We don't need another fucking Battle Royale game. Should have tried an extraction shooter, if they had to do something. Warzone and it's casual mode have BR zipped up and Fortnite can't even be touched.
 
 
Anonymous
8/22/2025, 11:55:49 PM
No.536278248
[Report]
>>536283401
 
>>536260934
actchyally i think battlefield would play better with strafe jumping, skiing, or rocket jumping or all of them
but not wallriding. and no i won't elaborate.
 
 
Anonymous
8/23/2025, 12:00:28 AM
No.536278784
[Report]
 
>>536278205
not reading all that but in 2042 the open weapons feel so natural. i see zero reason why bf6 shouldnt be the same. just make sniper rifles recon only, since rn you can be a threat to vehicles for free while also sniping. also engis need to choose between at/aa. even 2042 where you're much weaker in a vehicle because there's so many more threats to you, you still have to choose.
 
 
Anonymous
8/23/2025, 12:05:55 AM
No.536279345
[Report]
 
>>536269430
Then get rid of the X over BF1 retard
 
 
Anonymous
8/23/2025, 12:07:09 AM
No.536279470
[Report]
 
>>536271221
same
I played with a bro I didnt play with for about 10+ years. 
Didnt think of screenshoting the 52h spent on this beta. It felt good.
 
 
Anonymous
8/23/2025, 12:08:18 AM
No.536279624
[Report]
 
>>536274772
thanks for the heads up.
 
 
>>536273654
Good point, do you have the info of when DC started development or released. I think it was 2003, but hoping to get some confirmation. 
>>536278205
He aint wrong. That being said, a meta will always exist. With or without classes. Practically every BF had a "best" class. Even 2. You had a lot of cases where some of the best players went medic (and then played it like an assault class) because it was considered "meta" to have a medkit. 
The only way to truly balance classes is to make them hyper specialized for specific scenarios while shit for other scenarios. Assault for infantry killin, sucks at vehicles and self sustain. Medic for healing, sucks at everything else. Engineer for anti vehicle, sucks at everything else. Recon for long range sniping and maybe information gathering, sucks at everything else. But people lose their minds over situations like that because they encounter situations where they don't have the tools they need to properly address an enemy. And they lose their shit. That's where a bunch of complaints you see around infantry vs vehicles come from.
 
 
Anonymous
8/23/2025, 12:12:28 AM
No.536280041
[Report]
>>536283494
 
>>536279638
Medic in BF2 was not a "meta" class.
 
 
Anonymous
8/23/2025, 12:15:58 AM
No.536280418
[Report]
 
im about to SOOOOPRESSSSSS in bf1 and NO ONE CAN STOP ME >:]
 
Anonymous
8/23/2025, 12:16:40 AM
No.536280492
[Report]
 
>>536260934
>>536264737
I'd also like to say that in the fucking skeleton ALPHA of UT4 it taught you the basic movement functions of slide, wall hop and lift jumping and the map designers would put some of the better power ups and weapons in places that'd make you think "hmm how do I get up there" and encourage you to use the movement or go stalk a better player and watch how they got there.
 
 
Anonymous
8/23/2025, 12:18:41 AM
No.536280717
[Report]
 
>>536278205
I don't think open or closed weapons makes any difference at the end of the day. In all my games in either playlist most people used carbines which are always open anyways and I never saw wacky stuff like non-recons using snipers
 
 
Anonymous
8/23/2025, 12:19:21 AM
No.536280791
[Report]
>>536282004
 
>>536277890
>Should have tried an extraction shooter, if they had to do something
2042 did this and failed
 
 
I still don't know what an extraction shooter is
 
Anonymous
8/23/2025, 12:28:05 AM
No.536281709
[Report]
 
 
Anonymous
8/23/2025, 12:30:54 AM
No.536282004
[Report]
>>536282173
 
>>536280791
Where the hell did they do that!?
 
 
Anonymous
8/23/2025, 12:32:33 AM
No.536282173
[Report]
>>536283546
 
 
>>536281589
go in, get loot, get out without dying. you can then take your better loot into your next run but if you die it's gone
 
 
>>536281589
Tarkov, or if we wanna go even further back technically DayZ. Its just a persistent PvPvE BR game where you keep what you loot and drop what you had on you when killed. Tarkov is popular for gun autism and suits have been trying to tap into the market for nearly 4 years with not a single stand out success (again the draw of tarkov is guntism and masochism). They REALLY want it to catch on like souls games did but even people that I know that play strictly PvE extraction shooters say that shit will piss them off from time to time and it'd probably be worse if they got caught by someone ratting at an extract in a PvP one.
 
 
Anonymous
8/23/2025, 12:43:23 AM
No.536283401
[Report]
 
 
Anonymous
8/23/2025, 12:44:10 AM
No.536283494
[Report]
>>536286372
 
>>536280041
it absolutely was, the sweats played nothing else but medic. it was so meta that even vehiclefags played medic for the passive regen for the out of bounds damage
 
 
Anonymous
8/23/2025, 12:44:43 AM
No.536283546
[Report]
 
>>536282173
That's what that is? I'm guessing it's dead as fuck.
 
 
Anonymous
8/23/2025, 12:44:56 AM
No.536283580
[Report]
 
>>536282863
>play strictly PvE extraction shooters say that shit will piss them off from time to time
because these mfs are all ass at programing AI, is it really that hard to replicate phantom pain's AI and add a simple ass faction rep system like the original fucking mercenaries?
 
 
Anonymous
8/23/2025, 12:45:45 AM
No.536283664
[Report]
>>536283757
 
>>536282629
>>536282863
Oh ok, I hate those games lololol
 
 
Anonymous
8/23/2025, 12:46:37 AM
No.536283757
[Report]
 
 
>>536282863
See, having a custom weapon that you had to hunt down all the parts for and losing it sounds like fun to me. In an FPS, your gun is your character. That's you in the game world, your Samurai Soul folded 10,000 Nippon steel blade. I like having more of a connection to your weapon instead of just like, "Noooooo! My meta build! TommyTwoFags from YouTube told me how to build!"
 
 
Anonymous
8/23/2025, 12:51:41 AM
No.536284274
[Report]
 
firing up bf1 rn bros. looking forward to the new hotness though
 
Anonymous
8/23/2025, 12:55:01 AM
No.536284642
[Report]
 
>>536284114
this is why people play tarkov, all the other clones just don't go that deep (don't wanna either, too cost intensive and they want the sweet casual bux but the genre at its best is very anti casual).
 
 
Anonymous
8/23/2025, 12:55:14 AM
No.536284674
[Report]
 
level 15 now
i WILprioritize support and ammo to people using the 2042 BP skins in BF6 for having to deal with this bullshit.
 
Anonymous
8/23/2025, 12:57:59 AM
No.536284954
[Report]
 
>>536284114
I agree, I like having just a few guns that I love and know like the back of my hand. AK variants and shotguns mostly.
 
 
Anonymous
8/23/2025, 12:59:24 AM
No.536285105
[Report]
>>536286728
 
>someone figured out that the Tier 60 dude is Mackay in a mask
lol BF6 technically has specialists from the beginning
 
Anonymous
8/23/2025, 1:04:10 AM
No.536285568
[Report]
 
Scrolling to change wep is so broken in bf1, doesnt work half the time
 
>>536283494
It was not. Medic's passive heal abiilty wasn't the sole factor that vehicle mains relied on, there was Engineer's passive ability that repaired vehicles nearby including the empty ones which was useful for stealing. 
Medics cannot provide smoke cover, destroy or repair vehicles, provide ammo resupplies, neutralize commander assets, or engage in long range. They had to rely on other classes for all of that, it's not a "meta".
 
 
Anonymous
8/23/2025, 1:15:37 AM
No.536286728
[Report]
 
>>536285105
the skin should have a low chance to trigger his old quips upon getting a multikill
 
 
Anonymous
8/23/2025, 1:16:29 AM
No.536286793
[Report]
>>536289432
 
>>536278205
I think an important element to BF6's escalation of power is how it forces teamplay. In BF4, I almost never carried a repair torch as an engineer because mines were usually a better option, but in BF6, I always have a torch, AND I can carry mines without sacrificing my launcher. Or I would almost never use grenade launchers as an Assault so I could do my job and either revive or heal, or I'd have to be very choosey about my Support gadget because one of them HAD to be the box. But now every class but Assault has a required teamplay gadget, and Assault has a gadget that encourages rushing forward into the fight, and I think these are good changes since it encourages you to play within a role. Within that scope, taking the spawn beacon from Recon and giving it to Assault is brilliant, since a recon player is far less likely to play as part of the team if they can camp in an elevated place away from objectives all game, while the Assault player will want to be as close to the action as possible. 
BUT that goes out the window with open weapons. Sure, you don't get the unrevivable headshots or better sniper handling, but if you just want to sit on a rock all game clicking at heads and padding your stats, Assault is now your class. Hell, the Assault stim even synergizes with this. Getting suppressed to hell by an LMG that's spotted you? Just hit the stim and your suppression clears so you can click on his head. And you still end up with the same problem of self-centered snipers, camping on remote hills. Sure, even without this, you'll still have dudes camping places like around F and C on Liberation Peak, but at least then they're incentivized to defend the point so they have an easy enough time respawning, and their TUGS will help spot on the point too. But let Assaults use sniper rifles, you're just gonna end up with those dumb campers swapping their class instead of their tactics and the problem remains.
 
 
Anonymous
8/23/2025, 1:17:57 AM
No.536286945
[Report]
>>536287197
 
>redacted breakthrough 24/7
>support
>equip pp29
getting like 3-4 battlepass tiers per game
 
Anonymous
8/23/2025, 1:20:39 AM
No.536287197
[Report]
>>536287607
 
>>536286945
EXP requirement per dot increases exponentially
 
 
Anonymous
8/23/2025, 1:24:32 AM
No.536287606
[Report]
 
wow getting spawncamped by the airship is SUCH GREAT GAME DESIGN
 
Anonymous
8/23/2025, 1:24:32 AM
No.536287607
[Report]
>>536288521
 
>>536287197
fuck when does it start slowing down? i'm almost 20
 
 
Anonymous
8/23/2025, 1:28:55 AM
No.536288068
[Report]
 
remember jumping the atv on the satellite map on bf4. heh, fun times
 
Anonymous
8/23/2025, 1:33:04 AM
No.536288521
[Report]
>>536288872
 
>>536287607
Every level 500 exp is added, or 5000 xp total to level that tier
 
 
Anonymous
8/23/2025, 1:33:37 AM
No.536288571
[Report]
>>536289340
 
what age would the 2042 champions be in bf6 though
 
Anonymous
8/23/2025, 1:36:53 AM
No.536288872
[Report]
>>536289073
 
>>536288521
i only need to get to like tier 30 right? then use the weekly challenges for the rest
 
 
Anonymous
8/23/2025, 1:39:03 AM
No.536289073
[Report]
 
>>536288872
Pretty sure yeah
 
 
Anonymous
8/23/2025, 1:41:29 AM
No.536289340
[Report]
 
>>536288571
Assault
>Sundance: 16
>Dozer: 13
>Mackay: 21
>Zain: 9
Engineer
>Boris: 37
>Lis: 13
>Crawford: 25
Support
>Angel : 22
>Falck: 43
>Irish: 39
Recon
>Casper: 20
>Paik: 10
>Rao: 14
>Blasco: 15 
 
Anonymous
8/23/2025, 1:42:23 AM
No.536289432
[Report]
>>536293851
 
>>536286793
BF6's approach with gadgets is poorly implemented by having 1 permanent gadget while some of the previous games had 2-locked slots and/or a very limited gadget pool which was better for teamplay than this current system, and it's not really that different from BF4 since the other 2 gadget slots can be chosen much like BF4 so Support players can choose anything other than defibs, or Engineers running around without an AT launcher, or a Recon without C4 or a laser designator, or Assault without the spawn beacon. A 3 gadgets system would work better by having 2-locked gadgets and 1 gadget slot that has an option to choose as a bonus.
 
 
Anonymous
8/23/2025, 1:46:00 AM
No.536289797
[Report]
 
>>536286372
You're sorta proving my point though. The other classes were only "good" in specific scenarios. Save for your example around smoke cover. Meta was still considered "meta" for general use. At the very least neck and neck with assault. I'm not sure if there are good LBs anywhere anymore, but I remember back in the day it wasn't uncommon to see medic with the most kills and least deaths. Were there other classes meta in specific scenarios? 100%. But that's what is needed. Bf6 is heavily reducing those scenarios. Creating that same meta scenario, but its so much more amplified than Bf2. So yeah I think I do agree with you in the sense that a "meta" class wasn't as strong as say a meta class in bf6. But if you went on infantry only (or heavily infantry focused maps), I don't think it would be far fetched to say many of the top performing players on those maps would be medic and assault. Bf6 just takes the meta (and lets be honest, this has been happening since 3) and just makes it 10x worse.
 
 
why did like 60% of the playerbase play assault in the bf6 beta even though it was open class and assault was literally the worst
 
Anonymous
8/23/2025, 1:49:45 AM
No.536290161
[Report]
 
>>536289953
it's not that 60% of the playerbase played assault, it's that 60% of the redeploys were assaults.
Assaulttards just spawn-die-spawn-die over and over again, that is all.
 
 
Anonymous
8/23/2025, 1:50:22 AM
No.536290218
[Report]
 
>>536289953
OP shotgun did you know the shotgun is OP use the OP shotgun
 
 
Anonymous
8/23/2025, 1:54:09 AM
No.536290629
[Report]
>>536291816
 
>In ram
>squadmate in gunner
>sits in 50 cal shooting at enemy tank instead of using the lockon missile
 
Anonymous
8/23/2025, 1:56:05 AM
No.536290812
[Report]
 
>>536289953
>Most of the maps infantry focused and CQC
>Two most OP guns in the game are best used on Assault (shotgun) or medic (LMG) 
Really no surprise there. I'm sure if they did something like "deploy rate only on liberation peak", it would be different. Engineer would probably be the most played. As the other anon said, I do wonder if this was truly how many unique players playing said class or just how many people deployed at that class. If its just how many respawned as that class, could just mean assault players died a lot lol.
 
 
Anonymous
8/23/2025, 1:56:13 AM
No.536290834
[Report]
 
>in someone's attack helicopter
>seat hotkeys won't work
>can't switch to a passenger seat and repair him
>just look like an idiot stuck in the gunner spot
 
Anonymous
8/23/2025, 2:04:05 AM
No.536291606
[Report]
 
>>536220020
>use a close range gun in close range
>get optimal results
This is somehow a bad thing
 
 
Anonymous
8/23/2025, 2:06:04 AM
No.536291816
[Report]
 
>>536290629
>double long revive medic 
>get fragged right next to him
>he sits on his med box watching me for 15 seconds before completely ignoring me and running face on into death 
 
what happened to us all squadding up on bf V
 
Anonymous
8/23/2025, 2:09:37 AM
No.536292146
[Report]
>>536292417
 
>>536291998
Everyone realized 2042 is kinv sovl
 
 
Anonymous
8/23/2025, 2:10:13 AM
No.536292215
[Report]
>>536292417
 
>>536291998
too busy enjoying 2042
 
 
Anonymous
8/23/2025, 2:10:28 AM
No.536292247
[Report]
 
>>536238678
I tried to revive all the time but people just skip and deploy
 
 
Anonymous
8/23/2025, 2:12:03 AM
No.536292417
[Report]
>>536292563
 
>>536292146
>>536292215
whatever you're probably just all playing without me
 
 
Anonymous
8/23/2025, 2:13:28 AM
No.536292563
[Report]
 
>>536292417
I don't even have V installed lol
 
 
Anonymous
8/23/2025, 2:15:42 AM
No.536292794
[Report]
 
>>536291979
it's all so tiresome
 
 
Anonymous
8/23/2025, 2:17:17 AM
No.536292957
[Report]
 
 
Anonymous
8/23/2025, 2:18:48 AM
No.536293096
[Report]
 
>>536260421
Monitor or gpu driver software
 
 
Anonymous
8/23/2025, 2:19:26 AM
No.536293164
[Report]
 
>>536258814
>suspended for 168 hours
so how does it work? you now can't play bf6 when it come out?
 
 
so everyone is just grinding for the chink skins right?
 
Anonymous
8/23/2025, 2:21:06 AM
No.536293335
[Report]
 
>>536291979
No Günter and Miskai, no buy!
 
 
Anonymous
8/23/2025, 2:22:58 AM
No.536293516
[Report]
 
>>536293248
Yeah, but I'm gonna go for the tier 60 skin as well because those other 6 things included in the pack might be worth getting, probably not but I'm doing it anyway
 
 
Anonymous
8/23/2025, 2:24:50 AM
No.536293697
[Report]
 
>>536284114
I liked that for a while but nowadays every Tarkov raid has at least one cheater in it and if you are in the same half of the map as him he will offscreen you with a grenade and wont even loot your shitty gun
 
 
Anonymous
8/23/2025, 2:25:07 AM
No.536293731
[Report]
 
>>536293248
No because I'm just playing 2042, the pass is just a bonus
 
 
>>536289432
Support players can still drag-revive anyone and do it damn quick, which is better for larger game modes where you're not jumping into a pile of dead bodies and spamming revive (and you know those paddles are getting their revive frequency nerfed). By having two gadgets, you don't need to abandon a necessary gadget or a "best" gadget, you have room to use the more situational gadgets, like the ladder or the wall or smoke launcher.
 
 
>>536291979
>locked
AHAHAHAHA
it's so fucking weird how in 2025 companies are still doing this weird shit, it's like they didn't get the memo
 
 
>>536293885
armchair moderators aren't DICE employees
 
 
Anonymous
8/23/2025, 2:28:57 AM
No.536294127
[Report]
 
>>536293974
Fairly certain he was talking about the post content itself
 
 
Anonymous
8/23/2025, 2:29:20 AM
No.536294173
[Report]
 
>>536293851
>and you know those paddles are getting their revive frequency nerfed
It was so jarring going back to 2042 and seeing how slow defibs are there
I prefer the defibs being slower for sure from a balance point of view but it makes rezzing people feel like a chore
 
 
Anonymous
8/23/2025, 2:30:33 AM
No.536294284
[Report]
>>536294608
 
>>536293974
I know they're not the mods, I meant that it's weird that EA/Dice is still caught up in their ideological warfare bullshit
 
 
HAHAAH hope you didn't preorder this trash. Can't wait until they rugpull all of you by making unmasked skins later and revealing these characters. No refunds!
 
Anonymous
8/23/2025, 2:33:52 AM
No.536294608
[Report]
 
>>536294284
Swedes LOVE the holier than thou act
 
 
Anonymous
8/23/2025, 2:34:39 AM
No.536294683
[Report]
 
>>536294423
Ah, a perfect depiction of modern british demographics
 
 
Anonymous
8/23/2025, 2:35:04 AM
No.536294730
[Report]
 
>>536294423
preordered as soon as I could
not cancelling don't care
 
 
Anonymous
8/23/2025, 2:35:21 AM
No.536294760
[Report]
 
>>536294423
I do not care
 
 
Anonymous
8/23/2025, 2:39:36 AM
No.536295185
[Report]
 
 
Anonymous
8/23/2025, 2:40:57 AM
No.536295320
[Report]
 
>>536293885
stay mad chuds lol
 
 
Anonymous
8/23/2025, 2:41:42 AM
No.536295405
[Report]
 
 
Anonymous
8/23/2025, 2:43:56 AM
No.536295620
[Report]
>>536295692
 
 
Anonymous
8/23/2025, 2:44:37 AM
No.536295692
[Report]
>>536300463
 
>>536295620
yeah these are definitely placeholders, why would Pac be so babyfaced
 
 
Anonymous
8/23/2025, 2:45:06 AM
No.536295740
[Report]
>>536295891
 
>m-muh female soldiers
You can't even see your soldier
 
Anonymous
8/23/2025, 2:45:59 AM
No.536295837
[Report]
 
 
>>536295740
>I NEED A FAHKING MEDICK 
 
Anonymous
8/23/2025, 2:48:07 AM
No.536296048
[Report]
 
 
Anonymous
8/23/2025, 2:50:08 AM
No.536296228
[Report]
>>536296363
 
 
Anonymous
8/23/2025, 2:51:30 AM
No.536296348
[Report]
>>536296512
 
>>536295891
Your sound settings bro??
You cant be seriously saying that a mere female voice sends you so far over the edge
 
 
Anonymous
8/23/2025, 2:51:40 AM
No.536296363
[Report]
 
>>536296228
i'm paying whatever i need to for that medic skin
 
 
Anonymous
8/23/2025, 2:51:56 AM
No.536296393
[Report]
 
>>536294423
lol it only matter when devs do it out loud, get ready for your gun bunny collab 4 months after launch.
 
 
Anonymous
8/23/2025, 2:52:58 AM
No.536296512
[Report]
 
>>536296348
>Your sound settings bro??
are you fucking for real
 
 
Anonymous
8/23/2025, 2:53:50 AM
No.536296589
[Report]
 
>The Friday Night Battlefield playlist is "everyone moves and shoots faster"
are they having a laugh after fixing movement in 6?
 
They should add some of the guns from 2042 to 6 desu. All they'd have to do is fix the chunky smart attachment rail on top of them and they'd fit in perfectly.
 
Anonymous
8/23/2025, 2:58:05 AM
No.536297008
[Report]
 
>>536295891
that shit was so grating on the ears
 
 
Anonymous
8/23/2025, 2:58:25 AM
No.536297053
[Report]
 
I liked 2042 better when tourists didn't play it.
 
Anonymous
8/23/2025, 2:58:53 AM
No.536297103
[Report]
 
>>536296735
Absolutely not
 
 
Anonymous
8/23/2025, 2:59:43 AM
No.536297187
[Report]
 
>unlock F2000
>it's OP
classic battlepass weapon
 
Anonymous
8/23/2025, 3:00:46 AM
No.536297303
[Report]
>>536307913
 
>>536293851
Defibs will most likely be nerfed to prevent them from becoming a better melee weapon than a knife or a sledgehammer but I highly doubt that they would make them even worse so that they'll "encourage" people to revive multiple players in a row instead of relying only on body dragging. 
Besides the game still has the option to skip revives just like the last three games so it's going to carry the same problems that those games had with frustrated medics and people constantly skipping and respawning leading to more unneeded ticket loss. 
>By having two gadgets, you don't need to abandon a necessary gadget or a "best" gadget, you have room to use the more situational gadgets, like the ladder or the wall or smoke launcher.
This isn't going to improve teamplay it's gonna the same as BF4 with people selfishly running with useless or niche gadgets they think it's "best", it's probably gonna get worse throughout the game's lifespan when they add more new gadgets.
 
 
Anonymous
8/23/2025, 3:01:32 AM
No.536297380
[Report]
 
>beers
>weed
>chips
yep, it's friday night battlefield time
 
Anonymous
8/23/2025, 3:03:45 AM
No.536297608
[Report]
 
NO FUCKING WAY
 
Anonymous
8/23/2025, 3:07:58 AM
No.536298018
[Report]
 
>Attackers have 700 tickets on Iwo Jima Chaos
wew
 
Anonymous
8/23/2025, 3:09:06 AM
No.536298145
[Report]
>>536298321
 
>>536296735
>"integrally suppressed"
>large suppressor on end of barrel 
 
Anonymous
8/23/2025, 3:10:44 AM
No.536298321
[Report]
>>536298621
 
>>536298145
you can't take it off because it's the barrel though
 
 
Anonymous
8/23/2025, 3:13:39 AM
No.536298621
[Report]
 
>>536298321
>skins change it 
 
Anonymous
8/23/2025, 3:14:01 AM
No.536298661
[Report]
 
whats the best xp farm now? also whats with 99% of the servers being moderate xp on portal?
 
Anonymous
8/23/2025, 3:15:24 AM
No.536298829
[Report]
 
kfs2000 is criminally overpowered
 
Anonymous
8/23/2025, 3:15:59 AM
No.536298879
[Report]
 
>>536296735
SVK, XM5 and M44/Raging Hunter are returning in BF6.
 
 
Anonymous
8/23/2025, 3:23:35 AM
No.536299623
[Report]
>>536299817
 
chuds our response?
 
Anonymous
8/23/2025, 3:25:39 AM
No.536299817
[Report]
>>536301026
 
 
Anonymous
8/23/2025, 3:26:46 AM
No.536299928
[Report]
 
>>536296735
The RM68 is a real prototype weapon I think, but it looks like you butchered the fuck out of it with 3d printed codslop cosmetics.
 
 
Anonymous
8/23/2025, 3:31:49 AM
No.536300463
[Report]
 
>>536295692
I mean obviously they're placeholders a lot of them don't even have textures.
 
 
Anonymous
8/23/2025, 3:37:48 AM
No.536301026
[Report]
 
>>536299817
There is nowhere in the leaks that suggest you will be able to change faces, tattoos, and gender.
 
 
Anonymous
8/23/2025, 3:40:42 AM
No.536301304
[Report]
 
>Somehow hold G on Iwo Jima Chaos for 700 tickets
>9 pips
 
Anonymous
8/23/2025, 3:41:49 AM
No.536301427
[Report]
 
How common is teabagging in 2042? I don't even think I'm particularly good enough to get them out of seething.
 
Anonymous
8/23/2025, 3:52:36 AM
No.536302516
[Report]
>>536304628
 
I thought streamers hated the movement nerfs?
 
Anonymous
8/23/2025, 3:55:00 AM
No.536302743
[Report]
 
>Iwo Jima Conquest
>"64 v 64"
>it's 32 v 32
 
Anonymous
8/23/2025, 3:56:16 AM
No.536302863
[Report]
 
 
>Afghanistan War Sim
>It's not Afghanistan
 
Anonymous
8/23/2025, 4:00:10 AM
No.536303242
[Report]
>>536350881
 
>>536291979
I knew I was right not to preorder. Really sucks this is the hill they want to die on.
 
 
Anonymous
8/23/2025, 4:04:34 AM
No.536303659
[Report]
 
>>536302895
that's why it says sim
 
 
Is it true that they are removing all mobility potential? This is such bullshit
 
Anonymous
8/23/2025, 4:08:43 AM
No.536304046
[Report]
>>536304105
 
>>536302895
>irrelevant
>irrelevant
fuck you
 
 
Anonymous
8/23/2025, 4:09:13 AM
No.536304086
[Report]
>>536307090
 
So is 2042 decent or should I just keep playing the older ones? I heard they introduced a generic specialist or something since people hated specialists?
 
Anonymous
8/23/2025, 4:09:25 AM
No.536304105
[Report]
>>536304302
 
>>536304046
??? it's a 2042 server
 
 
Anonymous
8/23/2025, 4:10:06 AM
No.536304178
[Report]
 
>>536304019
Yeah they are giving everyone wheelchairs and putting more stairs on all maps
 
 
Anonymous
8/23/2025, 4:11:03 AM
No.536304278
[Report]
>>536304567
 
>play the mode where everyone moves faster
>how people look tactical sprinting around at 40mph
 
>>536304105
it's not an official playlist built into the main menu
 
 
Anonymous
8/23/2025, 4:11:49 AM
No.536304361
[Report]
 
>>536304019
Sliding into a jump still exists. Redditors just can't read and thought DICE removed that entirely. They just nerfed doing multiple jumps after a slide while keeping too much momentum. They'll be in for a rude awakening when people are still gonna come sliding around a corner and wreck them.
 
 
Anonymous
8/23/2025, 4:11:54 AM
No.536304371
[Report]
 
 
Anonymous
8/23/2025, 4:12:04 AM
No.536304386
[Report]
 
>>536304302
portal mogs based 2042
 
 
>>536304278
when are we getting a terminator skin
 
 
Anonymous
8/23/2025, 4:14:26 AM
No.536304628
[Report]
 
 
Anonymous
8/23/2025, 4:15:51 AM
No.536304768
[Report]
 
>>536304567
When the new Cod destroys BF6 and Dice finally goes full Fortnite in desperation.
 
 
Anonymous
8/23/2025, 4:16:40 AM
No.536304851
[Report]
 
>>536304567
we already have Sarah Connor Lis (and for some reason Tugg Speedman Mackay)
 
 
Anonymous
8/23/2025, 4:21:07 AM
No.536305287
[Report]
 
>dreadnought shelling us from the south
>4 vehicles shelling us from a hill to the west
>bomber and fighter bomber doing constant bombing runs on us
Pure fucking cancer. They didn't even win, all it did was make the fight super fucking annoying for us getting blown up as soon as we spawn, but those faggots forgot they actually have to cap the point instead of just spamming the enemy spawn from vehicles.
 
Anonymous
8/23/2025, 4:22:31 AM
No.536305427
[Report]
 
i just want to play the literal advertised 64v64 slop on iwo jima, dice apologists pls go
 
The intent of sliding is to quickly get to cover, there's no need to be able to shoot during a slide
Jump shooting should work once per match and then in all other attempts your gun should slip out and you shoot yourself in the knees or the chin
 
Anonymous
8/23/2025, 4:29:45 AM
No.536306151
[Report]
 
 
Anonymous
8/23/2025, 4:29:51 AM
No.536306159
[Report]
 
>>536305897
I genuinely think slide jump was bugged because the inherited momentum was wild, way more than BF1 or BFV. Felt like I was a gymnast doing a spring board
 
 
Anonymous
8/23/2025, 4:30:01 AM
No.536306179
[Report]
 
>>536305897
I know you're taking the piss but people say this shit unironically and thats sad
 
 
Anonymous
8/23/2025, 4:31:11 AM
No.536306308
[Report]
 
this whole sliding situation reminds me of how almost every 'action' game has turned into rollslop soulslop over the last decade
it's like no one knows how to do anything but make the same exact shit everyone else is making
 
Anonymous
8/23/2025, 4:32:52 AM
No.536306473
[Report]
 
Make titanfall 3 and make it good and I'll fuck off, until then I will beg for every game to have schmovement and there is nothing you can do to stop me.
 
Anonymous
8/23/2025, 4:35:55 AM
No.536306758
[Report]
 
Cod fans bitch and whine until every game is Cod, and then they never play it, they play Cod instead, and the game dies. Kill all Cod players.
 
Anonymous
8/23/2025, 4:39:17 AM
No.536307090
[Report]
 
>>536304086
Only for the sale price it's at now.
 
 
Anonymous
8/23/2025, 4:43:34 AM
No.536307552
[Report]
 
Holy fuck. I forgot how bad BF2042 is. Jesus Christ.
 
Anonymous
8/23/2025, 4:44:10 AM
No.536307608
[Report]
 
I forgot how fun 2042 is Jesus Christ
Hoping they bring back Breakthrough 128 sometime
 
Anonymous
8/23/2025, 4:45:52 AM
No.536307772
[Report]
 
battle pass tier 24, only 3 more tiers until I can stop grinding and just do the weekly challenges, easy peasy
 
Anonymous
8/23/2025, 4:47:07 AM
No.536307913
[Report]
 
>>536297303
>it's gonna the same as BF4 with people selfishly running with useless or niche gadgets they think it's "best"
Yeah, but now at they have to carry at least one useful team gadget no matter how many bullshit gadgets they add, and more of the "useless" gadgets will get more play and create more interesting scenarios, or just not have any real impact because they're useless.
As for the defibs, I think going back to the BF4 speed would be plenty in most scenarios, especially if they keep up the charge = three full revives mechanic to spice it up. The initial deploy and revive should be fast, it's the follow-ups that need some delay. I also think increasing the spawn timers is going to help a lot as well. Part of what made some engagements feel so frantic was how quickly people could respawn. Extend those timers, some gamers will get the hint to wait to bleed out a bit before going back to redeploy. Sometimes you want to instantly bleed out too, since you don't want a camper to use your body as bait for a foolhardy revive.
 
 
Anonymous
8/23/2025, 4:52:31 AM
No.536308452
[Report]
 
>attackers try to be clever throwing smoke on point and laying down
>use Paik's ability to spot them and knife them in the smoke
 
Anonymous
8/23/2025, 4:55:35 AM
No.536308779
[Report]
>>536309049
 
well?
 
Anonymous
8/23/2025, 4:58:21 AM
No.536309049
[Report]
 
>>536308779
I was not aware
 
 
Anonymous
8/23/2025, 4:59:22 AM
No.536309165
[Report]
 
This game is like an abusive relationship. One match will be pure antifun spawn camping cancer 1 sided stomp then the next will be an even, back and forth close match with clutches from both teams with intense fights on the objective that comes down to the last ticket. THIS GODDAMN ROLLERCOASTER OF EMOTIONS HAS ME HOOKED
 
if CoD toddlers want movement so badly then why don't they play arena shooters?
 
Anonymous
8/23/2025, 5:07:55 AM
No.536310048
[Report]
 
>ea STILL hasn't sent me a survey email about the beta
 
Anonymous
8/23/2025, 5:10:04 AM
No.536310259
[Report]
>>536313335
 
>>536310035
Cod players know their game is absolute dogshit, and they want every other game to be absolute dogshit too
 
 
Anonymous
8/23/2025, 5:11:02 AM
No.536310361
[Report]
 
15 and a half done. 
m8s idk if I can make it to 26 or whatever level you need to be to not need to grind even with 2xp.
My mind is going numb
 
Anonymous
8/23/2025, 5:12:25 AM
No.536310482
[Report]
 
foh cod kittens 
https://www.youtube.com/watch?v=DrCs-n6pB4c&list=RDDrCs-n6pB4c&start_radio=1
 
 
Anonymous
8/23/2025, 5:17:09 AM
No.536310959
[Report]
 
>>536310035
arena shooters don't have military larping
 
 
Anonymous
8/23/2025, 5:17:52 AM
No.536311026
[Report]
>>536311115
 
When I was looking at the Portal settings it seems you can't entirely disable Specialists for 2042 game modes in Portal. I don't mean like putting BF3 classes on a 2042 map, I mean playing as the generic AI grunts that the bots show up on 2042 maps when you play with bots. But the Portal makes you keep at least one Specialist active on each team.
 
Anonymous
8/23/2025, 5:18:50 AM
No.536311115
[Report]
>>536311590
 
>>536311026
god this game fucking sucks lmao
 
 
Anonymous
8/23/2025, 5:19:21 AM
No.536311171
[Report]
 
Tier 18 so far just playing the game normally, even just playing on the double exp weekends feel like it'll be more than enough for me to be done way before Week 7
 
Anonymous
8/23/2025, 5:23:41 AM
No.536311590
[Report]
 
>>536311115
I'm honestly really fucking bummed because there's an XP restriction if you run bots and I wanted to play as the basic classes without the Specialist abilities. Absolutely arbitrary restriction.
 
 
Anonymous
8/23/2025, 5:25:28 AM
No.536311773
[Report]
>>536311972
 
This dude's complaining that he has to use the BF3 factions instead of the crappy 2042 generics
 
Anonymous
8/23/2025, 5:26:27 AM
No.536311851
[Report]
>>536311940
 
>one friday night battlefield iwo jima match lasted 50 mins
>attackers start with 700 tickets
>still lose to defenders on the last 2 points
 
Anonymous
8/23/2025, 5:27:21 AM
No.536311940
[Report]
 
>>536311851
>220 spot assists by the time it's over just throwing proximity sensors in the hallways before G
yep, Recon time
 
 
Anonymous
8/23/2025, 5:27:42 AM
No.536311972
[Report]
 
>>536311773
I think they look kinda cool. But I think you can use BF3 classes with 2042 weapons and vehicles and gadgets right?
 
 
Anonymous
8/23/2025, 5:28:49 AM
No.536312082
[Report]
 
>>536220289
>solo breakthru
>redacted
>be irish
>wall in ur team at first doorway
>go up stairs on the left
>????
>profit 
 
Anonymous
8/23/2025, 5:30:10 AM
No.536312208
[Report]
 
libpeak is going to be unplayable for attackers on breakthrough when we have access to mortars
 
Anonymous
8/23/2025, 5:30:18 AM
No.536312229
[Report]
>>536313037
 
Watching some people try to fly in the Caspian Border servers is an actual joke
 
Anonymous
8/23/2025, 5:37:07 AM
No.536312941
[Report]
>>536313272
 
how long does it take to level up the free battlepass for bf6 skins?
 
Anonymous
8/23/2025, 5:38:07 AM
No.536313037
[Report]
 
>>536312229
I did 2 rounds of pilot and wanted to afk for a bit while making food. 3 different pilots crashed the helos.
Although most average pilots are just playing iwo jima 24/7 and farming with the Huron
 
 
Anonymous
8/23/2025, 5:40:22 AM
No.536313272
[Report]
>>536313593
 
>>536312941
not that long just playing normally on and off with challenges and double experience weekends but retards act like it's pulling teeth and will say it takes forever
 
 
Anonymous
8/23/2025, 5:40:56 AM
No.536313335
[Report]
 
>>536310259
>its not that I must win, it's that I must see you suffer. 
 
Anonymous
8/23/2025, 5:43:32 AM
No.536313593
[Report]
 
 
Anonymous
8/23/2025, 5:44:55 AM
No.536313740
[Report]
 
who /here/
 
>A Battlefield title and CoD title are coming out
>The CoD title is futuristic garbage everyone is shitting on
>The BF title isn't
 
Anonymous
8/23/2025, 5:51:49 AM
No.536314392
[Report]
>>536314537
 
>>536313974
It's not just futuristic, it's more like complete fantasy
 
 
Anonymous
8/23/2025, 5:53:20 AM
No.536314537
[Report]
>>536315283
 
>>536314392
CoD Infinity War was complete fantasy too with robots and shit running on walls
 
 
Anonymous
8/23/2025, 5:59:00 AM
No.536315078
[Report]
 
I can't believe they tied skins for a decent game to an awful game. I played the garbage before but the whole experience just makes me not to want to bother buying the next one. Let me buy the damn BF4 engi skin DICE, you absolute niggers.
 
Anonymous
8/23/2025, 6:00:44 AM
No.536315225
[Report]
 
I can't believe they're allowing anyone but day 1 2042 players an opportunity for these skins for BF6. 2042 tourists shouldn't be given shit.
 
Anonymous
8/23/2025, 6:01:21 AM
No.536315283
[Report]
 
>>536314537
At least that was grounded in some kind of vision of future technology, the new CoD trailer had them in an alternate dimension getting killed by giant swords and shooting at a giant head.
 
 
Anonymous
8/23/2025, 6:03:51 AM
No.536315520
[Report]
 
I will be Tier 60 way before 6 actually comes up, and I will continue playing 2042 until the 10th.
 
We gotta gatekeep these fake "lol I hate BO6 we're BF6 this year" fake ass niggas
 
Anonymous
8/23/2025, 6:06:55 AM
No.536315772
[Report]
 
>>536315634
DICE is already gatekeeping them by nerfing the shit out of consecutive jumps
 
 
Anonymous
8/23/2025, 6:07:55 AM
No.536315859
[Report]
 
>>536315634
the faggots will go back to Infinity Sloppy 4th round comes out and it's exactly the same shit
good riddance
 
 
>gatekeep meme
BF will be lucky to even beat CoD.
 
Anonymous
8/23/2025, 6:26:26 AM
No.536317467
[Report]
 
>>536315892
we don't want to beat CoD
we want to keep CoD out
 
 
Anonymous
8/23/2025, 6:33:19 AM
No.536318093
[Report]
 
>>536315892
Look at BF player counts. Now look at CoD player counts.
 
 
Anonymous
8/23/2025, 6:40:58 AM
No.536318739
[Report]
 
>boot up 2042 for the first time in years
>feel like being a cheeky cunt and just drone spotting all match long
>can't stun lock vehicles anymore
no fucking way vechiclefags bitched loud enough to get DICE to remove the stun attack against vehicles from casper's drone
 
Anonymous
8/23/2025, 6:43:18 AM
No.536318942
[Report]
 
I just boughted 2042....
 
I use to exclusively play conquest, but now that I've played operations, conquest feels fucking retarded in comparison. It's become blatantly obvious that there is no strategy in conquest, its just 'capture nearest point' repeated over and over again. No defense, no front line, no tricky maneuvering.. just a clockwise or counter clockwise cycle of capping and leaving the point. You have entire matches were the enemy teams mostly avoid each other and just circle the map capping nearly empty points. So fucking dumb.
 
Anonymous
8/23/2025, 6:47:08 AM
No.536319290
[Report]
 
bf6
>bf3 remaster
>no major features from older titles
>just a cod expansion for bf 2042
cod bo7
>bo2 remaster
>back to the future, baby
>dude hallucinations lmao
>jetpacks and wallrunning are lost tech
>we got wall jumps tho
which way, black man?
 
Anonymous
8/23/2025, 6:48:29 AM
No.536319417
[Report]
>>536319490
 
>2042 back on top
You all laughed at me years ago...
 
Anonymous
8/23/2025, 6:49:15 AM
No.536319490
[Report]
>>536319768
 
>>536319417
everyone is being bribed to play it dickhead
 
 
>>536319273
That's mainly because people join BF games with the casual solo queue mindset. No squad play, no tactics, no communication. Even in that kind of scenario if you aren't a brain rotted zoomer you can easily contest a point by yourself if you actually try.
 
 
Anonymous
8/23/2025, 6:49:24 AM
No.536319505
[Report]
 
>>536319273
true, it's not a very focused mode compared to the more "linear" modes
i think the idea was that two teams fight over the middle, pushing back and forth
but it can very easily turn into a run around and cap mode with little fighting
 
 
>>536319490
That's their cope, but 2042 will become cool just as 6 releases; and I will say I came before all of you. You're not forced to indulge 2042. 2042 is just what you hunger for.
 
 
Anonymous
8/23/2025, 6:52:13 AM
No.536319779
[Report]
 
2042 has ugly ui, boring plastic art style and maps there are way too fucking big
it has no soul
ea tried to fix it by throwing money at it, but it will always be a miscarriage
 
Anonymous
8/23/2025, 6:53:01 AM
No.536319843
[Report]
 
>>536319768
I hunger for the chinese engie skin my nigga nothing else
 
 
Anonymous
8/23/2025, 6:54:22 AM
No.536319968
[Report]
>>536320273
 
I can't wait for DICE to rugpull you tourists and have the skins look nothing like the pics and have you all wind up disappointed
 
Anonymous
8/23/2025, 6:56:55 AM
No.536320189
[Report]
>>536320730
 
>>536319498
>Even in that kind of scenario if you aren't a brain rotted zoomer you can easily contest a point by yourself if you actually try.
ahh yes I specifically join a 32 vs 32 team based game in order to play off by myself, right, very satisfying
 
 
Anonymous
8/23/2025, 6:57:49 AM
No.536320273
[Report]
 
>>536319968
>dev team with a dream try their best to make a good game
>publisher says thank you and launches it
>devs are given a new project to work on
>meanwhile the game is handed to the live service team
>live service team do their best to turn the game into fortnite
every time
 
 
Anonymous
8/23/2025, 6:57:53 AM
No.536320280
[Report]
>>536354945
 
erm where'd his gun go?
 
Anonymous
8/23/2025, 6:59:54 AM
No.536320453
[Report]
 
>Full XP
>hover over server
>Moderate XP
 
Anonymous
8/23/2025, 7:01:36 AM
No.536320604
[Report]
>>536321043
 
why is the M39 so fucking bad in 2042
 
Anonymous
8/23/2025, 7:03:27 AM
No.536320730
[Report]
>>536322326
 
>>536320189
>Complain about teams running from point to point without any strategy
>WTF I'M NOT GOING TO DEFEND A POINT WHILE MY TEAM ROTATES TO THE NEXT POINT
You can go back to CoD now.
 
 
Anonymous
8/23/2025, 7:07:44 AM
No.536321043
[Report]
>>536321093
 
>>536320604
Is it as bad as it was in the BF6 beta?
 
 
>>536321043
all the DMRs were bad in the beta
 
 
Anonymous
8/23/2025, 7:08:54 AM
No.536321135
[Report]
 
DBL XP
 
Anonymous
8/23/2025, 7:14:17 AM
No.536321561
[Report]
 
>>536279638
dcmod started development in late 2002
 
 
>>536321093
No they weren't
 
 
Anonymous
8/23/2025, 7:23:35 AM
No.536322321
[Report]
 
So glad vehicles are nerfed to shit in Battlefield 6. Was playing BF4 just now and holy fuck the vehiclecucks are invisible
 
Anonymous
8/23/2025, 7:23:41 AM
No.536322326
[Report]
>>536322415
 
>>536320730
You made a stupid point and now you've decided to be mad. Congrats.
 
 
Anonymous
8/23/2025, 7:24:54 AM
No.536322415
[Report]
>>536322687
 
>>536322326
Took you 20 minutes to come up with that? lol
 
 
Anonymous
8/23/2025, 7:25:46 AM
No.536322494
[Report]
 
>>536321093
SVK raped in the beta doebeit
 
 
Anonymous
8/23/2025, 7:25:50 AM
No.536322502
[Report]
>>536322759
 
>>536321726
SVK was still getting outgunned practically anywhere they're in a really rough spot
 
 
Anonymous
8/23/2025, 7:28:11 AM
No.536322687
[Report]
>>536323691
 
>>536322415
You're going to be shocked to find out i was playing a match and not sitting in the thread hitting f5 looking for replies.
 
 
Anonymous
8/23/2025, 7:29:08 AM
No.536322759
[Report]
 
>>536322502
SVK was two tapping body shots with little to no damage drop off at distance, racked up mondo streaks on lib peak
a DMR being less than ideal when your in knife fight range with a shotty or subgun user is actually good balance
 
 
Anonymous
8/23/2025, 7:40:38 AM
No.536323691
[Report]
>>536324143
 
>>536322687
How's BLOPS 6 these days?
 
 
Anonymous
8/23/2025, 7:44:49 AM
No.536324014
[Report]
 
imagine
 
Anonymous
8/23/2025, 7:45:33 AM
No.536324074
[Report]
>>536366903
 
>>536321726
why are you talking about the beta when you clearly didn't play it
 
 
Anonymous
8/23/2025, 7:46:21 AM
No.536324143
[Report]
 
>>536323691
I have no idea. You should ask someone who plays it.
 
 
>>536319768
This happens every release. I will forever standby that if 2042 wasn't missing some random core features at launch, didn't force specialists; people would have loved it. People didn't care about the vehicle design, or the gadgets that are stupid, or the movement, or gunplay, or map design, or 128. What really bothered them was being forced to play specialists with specific races/genders/personalities and the lack of things like a scoreboard. If they had regular classes and included scoreboard at launch, people would have loved it. Average person, which is most people playing these BF games, couldn't care less about any of the other stuff.
 
 
Anonymous
8/23/2025, 7:58:08 AM
No.536325090
[Report]
>>536325460
 
>>536324652
this and also whatever engine changes they did between 2042 and 6. 6 feels good to play, 2042 feels like I'm trying to move in jelly. Settings are identical between both games.
 
 
Anonymous
8/23/2025, 7:58:11 AM
No.536325096
[Report]
>>536326852
 
>>536324652
>If they hadn't pozzed their own game up the anus people would've enjoyed it
Wow what a brave thing to say.
 
 
Anonymous
8/23/2025, 8:01:58 AM
No.536325390
[Report]
 
2042 spawn beacon is fucking ez mode in breakthrough, nobody watches the flanks on these big ass map
 
Anonymous
8/23/2025, 8:02:48 AM
No.536325460
[Report]
 
>>536325090
running in 2042 feels like your character is skating on a completely frictionless surface, except for when you get hooked by an ankle high piece of level geometry which kills all forward momentum instantly
the animation work for the guns is also super inconsistent, there's some decently pro level stuff with the 2042 guns, but all the portal guns look and feel like they were rigged and animated by some unpaid intern
 
 
Anonymous
8/23/2025, 8:08:46 AM
No.536325890
[Report]
 
>have to play iwo jima if I want more xp
this map sucking sucks
 
Anonymous
8/23/2025, 8:21:28 AM
No.536326852
[Report]
>>536327998
 
>>536325096
You wouldn't think so. But saying what I said 2 months ago got me reamed. Even the retards over at reddit who circle jerk positivity got pissy at me for even suggesting it.
 
 
Anonymous
8/23/2025, 8:37:46 AM
No.536327998
[Report]
 
>>536326852
redditors are deathly afraid of admitting that artistic, coherent visual direction is a real thing that has an impact on a videogame
 
 
>>536286372
>It was not.
Again, it absolutely was. Look at every piece of "karkand fragmovie" or gameplay in general and 99% of people will use medic
>smoke cover
literally NOBODY played assault, and if it was, it wasn't for smoke, it was for the noobtube
> destroy or repair vehicles
Believe it or not, not every one of the 32 players on your team is gonna be needed to run around with a SRAW for the 1-3 enemy vehicles, which are usually dealt with by your team's vehicle and their teams anyway, since the engi weapons were such dogshit vs ARs.
>provide ammo resupplies
Only really relevant in karkand 64 grenade spam noob lobbies, a lot of the playerbase disabled grenades, and support was so bad and the commander supply drops were plenty enough, plus you didnt really run out of ammo for your primary, it wasn't that sort of game.
>neutralize commander assets
Spec ops was so bad that people only used it to destroy the assets then suicide and switch to medic.
>engage in long range
Sniping has never ever been meta in any battlefield game, unless you mean "how to lose the game" meta.
So... No. Medic was always hard meta for infantry only or smaller maps. Unless you were specifically either getting in a land vehicles or wanting to fight vehicles while playing inf, you always played medic. This is just non negotiable, in a game where you couldn't self heal unless you played medic, you picked the class that could.
 
 
Anonymous
8/23/2025, 8:44:23 AM
No.536328431
[Report]
 
>>536324652
No. The launch maps were all shit even in the 128 meme modes, way worse than what we had in the BF6 beta and at launch in BF1 and V.
 
 
Anonymous
8/23/2025, 8:46:33 AM
No.536328603
[Report]
>>536328772
 
>>536319273
true, conquest is alright as a staple mode but dice are limiting themselves by not trying to improve other modes
breakthrough is cool but it really hinges on dice not being stupid with the maps/flags/sectors/vehicles
2042 sucks but the first few points on iwo jima in 2042 are so much cooler than anything in BF6's breakthrough mode and now rush is just a cucked breakthrough so that mode might as well not exist
 
 
>>536328603
>2042 sucks but the first few points on iwo jima in 2042 are so much cooler than anything in BF6's breakthrough mode and now rush is just a cucked breakthrough so that mode might as well not exist
huffing hopium that its because DICE frontloaded the beta with cqc urban meatgrinder maps to trick refugees into preordering and that the full release will have a couple beachhead combined arms maps for trve vehicle-infantry interplay
 
 
Anonymous
8/23/2025, 8:54:05 AM
No.536329168
[Report]
>>536330338
 
>>536328772
that'd be awesome but I'm too cynical to think that'll happen
 
 
>>536328350
Agreed 100%. This has always been the issue with medic, it seems like, in a majority of battlefield games. The self healing is so strong. I often wonder if the dominance of the medic in the early BFs was another major reason they decided to give everyone regenerating health. Since one class being able to do it was too powerful.
I feel like they need to separate out medic to its own class, always, and make it significantly worse at infantry killing. As in mainly spotting close range weapons like SMGs that are not good at medium and long ranges. Can't think of a BF game I played where I didn't run medic and just run around wiping the floor. I mean shoot, its so bad in 2042. You have to play old lady falyk, but my god is it so strong. Infinite health, infinite ammo.
 
 
>>536329231
BFV medic was the best iteration so far for these reasons.
 
 
>>536329892
1942 was also like that. I think. It's been a very long time so I don't remember exactly how the guns played.
It's bizarre how they got the classes right in the first game and then immediately forgot.
 
 
Anonymous
8/23/2025, 9:09:53 AM
No.536330338
[Report]
 
>>536329168
at the very least im like 80 percent sure we'll get some classic combined arms maps like oman and caspian if only for the nostalgiafag memberberries in a later battlepass
 
 
Anonymous
8/23/2025, 9:14:19 AM
No.536330661
[Report]
 
>>536329231
Yeah it's pretty clear they gave self heal to everyone since it was such a huge obvious disadvantage to start a 1v1 at low hp. I'm not sure if it should be universal though or as fast as it was in the beta. I actually like the slowed down self heal rate in 2042. Part of why bf6 feels more hectic is because people are encouraged to re peek faster because the self heal rate is so high.
 
 
im trying 2042 for the first time and its unhinged. in the sandswept city map i was spawn camped no matter which point i tried. even home base, it'd spawn me in front of a dude doing donuts spraying me down. wild shit
 
Anonymous
8/23/2025, 9:15:22 AM
No.536330738
[Report]
 
>>536330680
ive also never been revived and maybe found dropped ammo once in 3 rounds
 
 
Anonymous
8/23/2025, 9:20:58 AM
No.536331159
[Report]
>>536331236
 
>>536329892
SMGs in BFV were meta weapons though.
>>536330268
I distinctly remember the tommy gun and it being shit, and everyone and their dog running around with the BAR.
>>536330680
If you tryhard in these games you're probaly going to have a bad time. I started playing it a few days ago and I'm getting top 10 leaderboards by basically doing nothing. The only major issue I have is that ground AA is just out of control. It's basically impossible to have a good airchav round.
 
 
Anonymous
8/23/2025, 9:22:03 AM
No.536331236
[Report]
>>536331552
 
>>536331159
I started 2042 recently and basically do nothing but walk around with the shield and bash people. Same thing I did in MW2019
 
 
Anonymous
8/23/2025, 9:23:00 AM
No.536331296
[Report]
 
>>536330268
Good points. I've often thought about why they went off the path so far with classes. If I had to guess based on what I've seen of player behavior, its because players will always choose what class gets them the most kills; not what is needed. So these heavily specialized classes, players may not play them because they get more points/kills with another class. Take anti tank in 1942. I believe they had a pistol and a rocket launcher. Were pretty hard to get routine kills, outside of vehicles. So people may not play enough anti tank because they want more kills. Actually I think 2042 had a similar issue to this early on. Where everyone and their mother was running C4. Since nobody was running rockets (AA or AT), you could just farm for days. Your only threat was to avoid getting close (and fly sundances) and other vehicles. I remember someone throwing a fit at me in chat for being a "sweat" in a helicopter. When I said they should switch to AA and do something about it, I was met with "Don't tell me how to play". So I continued to farm him.
Seems like there's two types of game design. Designing a good game. And designing a game that tries to account for idiots. And sadly it feels like BF has to lean more into the latter. 
>>536328772
If my memory of the leaks serve me right. 2 of the maps are similar to the size of liberation peak (3 medium). 2 are "big" maps. The remaining 5 are small infantry focused ones like we saw in the beta. As long as they put in a queue or some type that lets me only play the 4 combined arms (including air) maps, I will be happy.
 
 
Anonymous
8/23/2025, 9:26:20 AM
No.536331552
[Report]
 
>>536331236
To me, that's the fun of 2042. There's so much ridiculous cheese in that game. Practically a deli platter at this point. Running Lis and then air striking random snipers from across the map. Playing the sniper tank and just camping with that. Playing the stealth helicopter and spend all day stealth bombing. Radar missile spam with the jet. Flying across the map as sundance. Falyk with infinite ammo or health. Playing the hacker and spend all day annoying the fuck out of littlebird try hards. Don't even get me started at the post launch weapons. Insane damage, little to no recoil. Good times.
 
 
any movement semons here? if bf6 does not fix the movement the game will flop and be a pile of casual trash for battle dads. they need to take notes from cod.
 
Anonymous
8/23/2025, 9:33:37 AM
No.536332042
[Report]
>>536333716
 
>>536331747
What's truly sad is your webm doesn't even have any actually crazy movement. There's a few slides, maybe a jump shot, that's it. Yet it LOOKS like they're abusing movement because they just keep making pointless snappy movements and switching weapons. And all that spam actually makes you feel better too because it makes your brain get excited and shoots of dopamine, like flashing lights at a slot machine kind of thing. You could post the exact same webm but without the switching and people would call it slow
 
 
Anonymous
8/23/2025, 9:34:59 AM
No.536332146
[Report]
 
>>536331747
>the game will flop
you dont have the knowledge or sense to make that call lil nigga
 
 
Anonymous
8/23/2025, 10:00:39 AM
No.536333716
[Report]
 
>>536332042
Its the equivalent of a hood rat gesticulating and doing wild movements to intimidate while he's approaching you but lacks any depth
 
 
Anonymous
8/23/2025, 10:02:11 AM
No.536333813
[Report]
 
Have you said thank you today to the second best map "Operation Clean Sweep" from BF2 yet?
 
Anonymous
8/23/2025, 10:03:20 AM
No.536333887
[Report]
 
>playing BF1
>get killed by the SAA revolver
>find out you have to do some cryptic shit to unlock it
CUNTS I'd buy that shit
 
Anonymous
8/23/2025, 10:06:40 AM
No.536334080
[Report]
 
wow, playing 2042 again and I forgot how awful it is
 
Anonymous
8/23/2025, 10:15:37 AM
No.536334683
[Report]
 
>>536221215
get it, its worth it
 
 
Anonymous
8/23/2025, 10:18:29 AM
No.536334860
[Report]
 
>>536331747
nope, just sentinel chads
 
 
>>536328350
>actually medic is the meta
>except for these scenarios? no they don't count
The fact you brought up "infantry only" is a nice excuse since this is something that is optional from the admins themselves and not what the game is designed around. And even on BF2's smaller maps Medic was NOT capable of offering all those roles. Just because you got filtered by Support and Spec Ops doesn't mean they're "bad", the former is way more reliable with ammo resupplies by spamming up to 5 ammo crates than one commander drop at a time and has high damage LMGs (especially with the PKM), while the other has some of the most accurate guns in the game alongside Medic's ARs, and C4 that is useful for not only destroying commander assets but also vehicles and bridges as well (you mentioning the switching to the class proves my point that Medic isn't a meta in that regard). Assault's ARs had high damage close range and combined with body armor you could outgun Medics and people DID play Aasault for smokes and not just the noobtube to break sightlines and it had more extra mags than Medic which ran ammo out of ammo fast. You don't necessarily NEED another vehicle to destroy tanks the SRAW/ERYX deal more damage unlike other AT launchers from future titles. Never did I proclaim that Sniper is the "meta" the class is objectively better than the rest when it comes to long range engagements with the L96 or type 88 and MEC had the SVD which was very effective and capable of shredding multiple people on top of added bonus of claymores that deny flanks. 
Your argument would've made more sense in game like BF3/4 with the likes of Operation Metro or Locker due to the lack of vehicles, commander assets and class mergers but even in those games I wouldn't consider Assault to be the "meta" in general just because they're dominant in one small part of the game.
 
 
>>536334935
>except for these scenarios? no they don't count
You don't understand what meta is. Literally nobody played support to run around giving people ammo unless they were terminally shit at the game. Every single good player played medic because they could self heal and that's the end of it.
>The fact you brought up "infantry only" is a nice excuse since this is something that is optional from the admins themselves and not what the game is designed around
Multiple maps had either no tanks or APCs or the points were out of their reach or you could play around them. Karkand had a grand total of 1 tank and 1 APC for the 64 player map. You could easily play around them.
Your post sounds like what ChatGPT or some youtuber who googled BF2 videos thinks BF2 played like. Fucking smoke grenades lmao, I have 1000hrs+ in the game. The profile isn't a random profile, it's my profile from BF2S and I never saw a single smoke grenade in all of that.
 
 
you are earning 54 pips yes?
 
Anonymous
8/23/2025, 10:32:13 AM
No.536335785
[Report]
 
 
Anonymous
8/23/2025, 10:32:25 AM
No.536335795
[Report]
 
 
Anonymous
8/23/2025, 10:33:09 AM
No.536335841
[Report]
>>536337728
 
>>536334935
>SVD which was very effective
HAHAHAHAHA this confirms you are literally using ChatGPT. Boot up BF2 right now and go try shooting at enemies with SVD, you'll notice something funny pretty quick. I won't spoil you the surprise because to a zoomer who never played a refractor game it's going to be a surprise.
 
 
Anonymous
8/23/2025, 10:40:11 AM
No.536336330
[Report]
>>536337127
 
>>536335716
im getting 5 at most every breakthrough fucking tell us you cunt
 
 
Anonymous
8/23/2025, 10:43:43 AM
No.536336549
[Report]
>>536338806
 
>>536334935
>>536335583
I played BF2 a lot (I think I was captain? definitely an officer rank, which puts me above 99% of players since barely anyone ever got past first sergeant) and the guy saying medic was meta is right. If you were planning on using a vehicle then you spawned as engineer. If there were a lot of enemy vehicles then you spawned as anti tank (or special forces for jihad jeep). In any other situation then it was medic time. Good guns, heals, revives. Why wouldn't you play as him?
 
 
Anonymous
8/23/2025, 10:53:13 AM
No.536337127
[Report]
>>536337351
 
>>536336330
not that guy but 128 player bot games
 
 
Anonymous
8/23/2025, 10:53:29 AM
No.536337152
[Report]
 
>>536335716
what kind of fag word is pip
 
 
Anonymous
8/23/2025, 10:56:23 AM
No.536337351
[Report]
>>536337927
 
 
Anonymous
8/23/2025, 11:03:01 AM
No.536337728
[Report]
>>536338784
 
>>536335583
>>536335841
>ChatGPT
Ironic coming the guy who comes up with "karkand fragmovie" and "infantry only" as sound arguments to prove his point, you don't have to spoil anything you did that by exposing yourself with these arguments.
I guess the little zoomie is too shit at using the SVD then, but that's understandable.
 
 
Anonymous
8/23/2025, 11:05:56 AM
No.536337927
[Report]
>>536338073
 
>>536337351
where else are you going to play 128 bots
 
 
Anonymous
8/23/2025, 11:06:14 AM
No.536337952
[Report]
 
it's 4 classes now. that is the reality you live
 
Anonymous
8/23/2025, 11:07:31 AM
No.536338034
[Report]
>>536339553
 
i'm gonna say it, they need to rework bf6 recoil and make it the same as 2042
this gun play is fun as fuck
 
Anonymous
8/23/2025, 11:08:12 AM
No.536338073
[Report]
 
>>536337927
breakthrough solo/co-op? im new i dont know shit
 
 
Anonymous
8/23/2025, 11:12:59 AM
No.536338378
[Report]
>>536338806
 
>mp28 has more firepower than a 1911
what the fuck is this
 
Anonymous
8/23/2025, 11:19:24 AM
No.536338784
[Report]
>>536339829
 
>>536337728
stop asking chatGPT what bf2 is like and go play it yourself instead of larping, you're not a tech illiterate zoomer are you?
>exposing
I'm the one who posted their player profile. You're the one saying medic is not meta because somethingsomething medic can't destroy commander assets (LMAO)
>zoomie
Not the gotcha you thought it was, after your larp was called out
>is too shit at using the SVD then
the fact you are choosing SVD as your meta sniper of choice says everything
 
 
2042's Hardcore isn't too bad, good for grinding kills on snipers at least.
>>536336549
>Why wouldn't you play as him?
Assault has the exact same default gun with a grenade launcher. It has it's uses. But then again Medic was the one who got the L85A1 right? I remember that thing being really powerful.
>>536338378
Weird weapon balance decision, the MP28's intended purpose is to be a mid-ranged sidearm that can reach out farther than most pistols so it makes senss it hits harder. The Vault 1911 is apparently a colossal piece of shit.
 
 
Anonymous
8/23/2025, 11:32:05 AM
No.536339553
[Report]
 
>>536338034
is 2042 just bloom no kick?
 
 
>>536338806
for some reason i remember (like 20 years ago) this death squad squad dolphin diving and using the underbarrel and rolling my team.
 
 
Anonymous
8/23/2025, 11:36:06 AM
No.536339829
[Report]
>>536340129
 
>>536338784
You're the one here going for strawmans and posting screencaps as "proof" that you're "experienced" instead of refuting all the points made here. Concession accepted.
 
 
Anonymous
8/23/2025, 11:37:58 AM
No.536339927
[Report]
 
>>536339680
The thing was the textbook definition of a noobtube, only hard part was getting used to the firing arc at longer rangers. Honestly explosives in general were insane in BF2.
 
 
Anonymous
8/23/2025, 11:39:02 AM
No.536339984
[Report]
>>536340358
 
>ping 30 on portal lobby
>still laggy as shit
why the fuck are you fags shilling this bullshit so hard?
 
Anonymous
8/23/2025, 11:39:30 AM
No.536340014
[Report]
>>536340123
 
>>536338806
>>536339680
Grenade launcher was good at first but got nerfed very quickly. After that everyone ran as medic balls. A swarm of medics was nearly unstoppable since if you didn't kill every one of the fuckers they'd all instantly revive each other.
 
 
Anonymous
8/23/2025, 11:41:19 AM
No.536340123
[Report]
 
>>536340014
Ok I do vaguely remember that. Probably contributed to a few of those Medic balls because I was too shit to be useful in combat so I just revived people constantly. Made a good habit for later BF games and any other game with revive mechanics.
 
 
Anonymous
8/23/2025, 11:41:27 AM
No.536340129
[Report]
 
>>536339829
Your points? You mean "medic in bf2 isnt meta because it can't blow up the satellite/arty" point? Or the "bf2 medic isnt meta" point? Or the "SVD is sniper meta" point? 
>experienced
I played BF2 instead typing "what was playing BF2 like" in the chatgpt window
 
 
Anonymous
8/23/2025, 11:45:34 AM
No.536340358
[Report]
>>536340671
 
>>536339984
Because we want more retards to suffer with us and grind the free pass. I played on that Afghanistan server, honestly it'd be fun if it had a smaller ticket cap. 5000 is ridiculous.
 
 
Anonymous
8/23/2025, 11:50:50 AM
No.536340671
[Report]
>>536341108
 
>>536340358
im not saying the game isnt fun im saying portal runs like shit for internet connection
 
 
Anonymous
8/23/2025, 11:51:56 AM
No.536340731
[Report]
 
>>536338806
Nobody used assault in bf2, g36e outperformed every assault weapons as well. Having a noob tube for cheap kills was not worth losing the ability to self heal, never ever.
 
 
Anonymous
8/23/2025, 11:58:32 AM
No.536341108
[Report]
 
>>536340671
Oh yeah it's super jank.
 
 
Anonymous
8/23/2025, 12:12:23 PM
No.536341924
[Report]
>>536343047
 
what the fuck is this? ive been waiting for like 5 min
the game just went on sale for like a dollar, why cant i get into a game
 
Anonymous
8/23/2025, 12:31:44 PM
No.536343004
[Report]
>>536343632
 
>double XP apparently
>play a game as Blasco on breakthrough Redacted, 170+ assists
>battlepass progress is nothing more than a wet fart
fuuuuck
 
Anonymous
8/23/2025, 12:32:23 PM
No.536343047
[Report]
>>536343768
 
>>536341924
just go portal and join active lobbies, its the only way to play 2042 t b h
 
 
Anonymous
8/23/2025, 12:42:29 PM
No.536343632
[Report]
>>536343825
 
>>536343004
i hope bf6's battlepasses and xp isnt as bad as this
 
 
Anonymous
8/23/2025, 12:44:55 PM
No.536343768
[Report]
>>536343817
 
>>536343047
the first one i tried had like 30 different modifiers. it was like golden gun cod. you "people" make me sick
 
 
Anonymous
8/23/2025, 12:45:46 PM
No.536343817
[Report]
 
>>536343768
did you try maybe reading the lobby name? or the description?
 
 
Anonymous
8/23/2025, 12:45:54 PM
No.536343825
[Report]
 
>>536343632
300xp/min cap on official servers as well. fucking scumbags. I'm 90% sure it'll be this bad in bf6 as well.
 
 
Anonymous
8/23/2025, 12:55:47 PM
No.536344429
[Report]
>>536375308
 
Port Valdez
 
Anonymous
8/23/2025, 12:57:25 PM
No.536344538
[Report]
 
 
Anonymous
8/23/2025, 12:58:54 PM
No.536344623
[Report]
>>536344692
 
>Redacted Breakthrough
eww
 
Anonymous
8/23/2025, 1:00:06 PM
No.536344692
[Report]
>>536345532
 
>>536344623
ive never seen grenade spam like it
 
 
Anonymous
8/23/2025, 1:04:38 PM
No.536344987
[Report]
 
>played BF6 beta, thought Empire State felt too much like a CoD map
>decide to reinstall BF4 after and queue for Conquest Large
>get fucking Metro and Locker back to back
 
Anonymous
8/23/2025, 1:08:43 PM
No.536345234
[Report]
 
yeah fuck this the portal servers are laggy and jank dice were right to make the new ones reset after every match fuck every faggot shilling this shit your custom servers have shit internet fuck you
 
Anonymous
8/23/2025, 1:09:06 PM
No.536345257
[Report]
 
I’m already almost on page 3 in the pass and there’s 6 more weeks of challenges, is it supposed to be this fast?
 
Anonymous
8/23/2025, 1:13:44 PM
No.536345532
[Report]
 
>>536344692
I have, on the last point of Exposure with the server room where the way in is two narrow hallways from a tunnel and a balcony
 
 
Anonymous
8/23/2025, 1:15:23 PM
No.536345645
[Report]
 
Holding the last point on Iwo Jima for 700 tickets is basically like being on a farming server if the US refuses to coordinate
 
Anonymous
8/23/2025, 1:27:36 PM
No.536346403
[Report]
>>536346643
 
>-95%
Didn't see myself ever buying 2042 but I guess there's no reason not to now.
 
Anonymous
8/23/2025, 1:30:52 PM
No.536346643
[Report]
 
>>536346403
I think its a must buy because you'll enjoy 6 so much more when it finally comes out
 
 
Anonymous
8/23/2025, 1:40:49 PM
No.536347280
[Report]
>>536348031
 
Insane that we reached the point where we have openly confessed redditors in this thread and still mind their opinions
 
Anonymous
8/23/2025, 1:43:26 PM
No.536347475
[Report]
 
actually actually actually braindead retarded design that you dont start with suppressor + thermal sight unlocked
makes game absolutely braindead easy to play
 
if you play bf2042 you support this btw
 
Anonymous
8/23/2025, 1:51:30 PM
No.536348031
[Report]
 
>>536347280
>pretending reddit is le bad to fit in in 2025 
 
Anonymous
8/23/2025, 1:51:39 PM
No.536348045
[Report]
>>536349338
 
>XP required per pass point increases over time
 
Anonymous
8/23/2025, 2:00:04 PM
No.536348631
[Report]
 
>>536219601 (OP)
>mandatory mixed race and gender squads
Haha, swedecucks just couldn't help themselves
 
 
Anonymous
8/23/2025, 2:07:32 PM
No.536349192
[Report]
 
Why is everyone so ass on this game
 
Anonymous
8/23/2025, 2:09:35 PM
No.536349338
[Report]
>>536349609
 
>>536348045
if i remember correctly (the last time i played it was 4 years ago) it should reset at the start of the new week
 
 
Anonymous
8/23/2025, 2:13:05 PM
No.536349609
[Report]
 
>>536349338
that's a relief
 
 
Anonymous
8/23/2025, 2:16:09 PM
No.536349827
[Report]
>>536350093
 
>le just grind 250 kills with a gun until you're not at a DECISIVE disadvantage 
whoever thought of this should kill themselves unironically
 
>>536349827
All post 2010 BF games are like this save 1 and V, if you're a launchlet you suffer.
 
 
Anonymous
8/23/2025, 2:21:43 PM
No.536350250
[Report]
 
>>536350093
>V
for infantry maybe, you're fucked if you dare try to level vehicles from scratch in V.
 
 
>>536350093
not bf6, in the beta i could get max mastery in maybe 2 games per weapon.
in 2042 i have 0 reason or desire ot use anything but the AK because why would i want to spend 10 games with a handicapped weapon
 
 
Anonymous
8/23/2025, 2:26:08 PM
No.536350583
[Report]
>>536350720
 
>>536350427
You know that was just because it was a beta right? The full game won't be anywhere near as fast. And it'll likely be longer as there'd be more attachments too.
 
 
Anonymous
8/23/2025, 2:26:22 PM
No.536350594
[Report]
>>536350720
 
>>536350427
They want people to reach mastery in the beta which only lasts 8 days maximum, of course it's easy in the beta. It's not going to be the same in the full release.
 
 
Anonymous
8/23/2025, 2:28:04 PM
No.536350720
[Report]
>>536351639
 
 
Anonymous
8/23/2025, 2:30:09 PM
No.536350881
[Report]
 
>>536303242
This is set in modern times. Some grilboss soldiers aren't that unrealistic.
 
 
Anonymous
8/23/2025, 2:35:20 PM
No.536351272
[Report]
>>536352782
 
>>536293885
>locked
Yikes y'all! I've had to clean up some VERY problematic posts here. All from new accounts or accounts with very low karma!
 
 
Anonymous
8/23/2025, 2:40:11 PM
No.536351639
[Report]
 
 
Anonymous
8/23/2025, 2:54:34 PM
No.536352782
[Report]
 
>>536351272
They didn't even leave a message saying that. Just silently lock it and pretend it didn't happen.
 
 
damn, this general is dead dead
 
Anonymous
8/23/2025, 3:16:03 PM
No.536354504
[Report]
 
>>536354317
Then stop playing recon and revive it
 
 
Anonymous
8/23/2025, 3:16:18 PM
No.536354529
[Report]
 
>>536319498
I don't want to try, maaaan. I just wanna' like sMoKe a bOwL after raising 30 kids, going to school and working 2,000 hours a week, maaaan.
 
 
Anonymous
8/23/2025, 3:16:37 PM
No.536354559
[Report]
 
>>536354317
Because the beta was pure shit and this serie is dead
 
 
Anonymous
8/23/2025, 3:21:22 PM
No.536354945
[Report]
 
 
Anonymous
8/23/2025, 3:21:55 PM
No.536354974
[Report]
 
>>536347518
Battlefield 6 players were actively supporting one such irl, even before the game was released
 
 
I just saw the changes regarding the movement. Yeah I'm late. Are you guys complaining about it or was it really just CoD players getting mad that they can't do bunny hops anymore in BF?
 
Anonymous
8/23/2025, 3:25:24 PM
No.536355261
[Report]
 
>>536347518
if you breath the air you support them too so stop breathing
 
 
Anonymous
8/23/2025, 3:28:21 PM
No.536355521
[Report]
 
>>536355168
I think it's complete bullshit. This serie needs to evolve
 
 
Anonymous
8/23/2025, 3:30:18 PM
No.536355685
[Report]
 
>>536355168
in my 20 hours of gameplay didn't see anything close to some of the insane movement that was possible, but I'm glad it wont be possible now, since overtime people would have learnt it and taken advantage of it ruining games
 
 
breakthrough is better than conquest in 2042 the maps are way too fucking big
 
Anonymous
8/23/2025, 3:34:42 PM
No.536356039
[Report]
 
>>536354317
because you are a tourist from a gacha spam/vt/ranny general. most generals on this board don't function like twitch chat
 
 
Anonymous
8/23/2025, 3:40:08 PM
No.536356475
[Report]
 
>>536355168
it was a marketing move and it worked if you look at the popular discussion platforms
in reality they aren't really doing anything besides making it so you can't spam jump, which nobody does outside of what i guess was an exploit
 
 
Anonymous
8/23/2025, 3:40:14 PM
No.536356483
[Report]
 
>>536356016
I like breakthrough more because it feels like an actual war instead of tiny groups running around the map randomly
 
 
Anonymous
8/23/2025, 3:44:36 PM
No.536356854
[Report]
 
>>536356016
Its funny because Breakthrough on the big maps is great, breakthrough on the smaller maps is a bigger clusterfuck them metro. Serious V Grind vibe
 
 
Anonymous
8/23/2025, 3:54:15 PM
No.536357724
[Report]
 
Fuck yeah, I unlocked the rare Placeholder Desc
 
Anonymous
8/23/2025, 3:55:09 PM
No.536357809
[Report]
>>536358310
 
2042 is harsh for new players, there's so much random bullshit happening all the time and all kinds of fucking weird gadgets that just kill you and you don't know how they work or where they come from
 
Anonymous
8/23/2025, 3:56:47 PM
No.536357956
[Report]
>>536358838
 
why are they all wearing hockey gear?
 
>>536357809
the main disadvantage you have is that you dont have silencer on your gun + you lack the wallhack sight. apparently all the guns you get later are better as well like no recoil, so you're not going to unlock the actual good gun + real attachments for a veeeery long time
 
 
Anonymous
8/23/2025, 4:03:02 PM
No.536358517
[Report]
 
>>536358310
I ended up playing hardcore matches on portal because of that, and I can just chill and rack up some easy kills without too much of bullshit
 
 
Anonymous
8/23/2025, 4:06:31 PM
No.536358838
[Report]
 
>>536357956
they're not batman
 
 
Anonymous
8/23/2025, 4:09:30 PM
No.536359117
[Report]
>>536359554
 
here's your new battlefield skin bro
 
Anonymous
8/23/2025, 4:13:55 PM
No.536359554
[Report]
>>536359621
 
>>536359117
That's a big skin
 
 
Anonymous
8/23/2025, 4:14:38 PM
No.536359621
[Report]
>>536360385
 
>>536359554
yeah, maybe too big
I'm not sure I could handle it
 
 
Anonymous
8/23/2025, 4:22:43 PM
No.536360385
[Report]
 
>>536359621
i dont get it
 
 
Anonymous
8/23/2025, 4:23:44 PM
No.536360474
[Report]
>>536360961
 
>>536358310
>24/7 breakthrough redacted
>select weapon
>get 50+ kills every game
grinding unlocks is literally brain off in this game
 
 
Anonymous
8/23/2025, 4:24:44 PM
No.536360567
[Report]
 
>redditsirs can't stop seething about /ourguy/
 
Anonymous
8/23/2025, 4:25:15 PM
No.536360620
[Report]
>>536360831
 
i hate that through grinding for bf6 skins i've indirectly became addicted to 2042 and genuinely enjoying my account progression fuck sake (((dice))) have done me up like the good little consumerist piggy i am
 
Anonymous
8/23/2025, 4:27:35 PM
No.536360831
[Report]
>>536361617
 
>>536360620
What skins? Are there BF6 cosmetics you unlock in 2042? Anything like that in BF5 or BF1?
 
 
Anonymous
8/23/2025, 4:28:58 PM
No.536360961
[Report]
>>536361468
 
>>536360474
>cmon bro just a quick 2-3 hour grind in bot lobbies until you can start having fun ;)
nah, i just log off at that point and go play something else
 
 
Anonymous
8/23/2025, 4:34:08 PM
No.536361468
[Report]
 
>>536360961
they have real players too
 
 
Anonymous
8/23/2025, 4:35:40 PM
No.536361617
[Report]
>>536364765
 
>>536360831
nah it's just the final free 2042 battlepass that has some vehicle skins, some player skins and a few unknown items iirc. it's 60 tiers and like 5-6 of them are bf6 related
 
 
Anonymous
8/23/2025, 4:38:40 PM
No.536361914
[Report]
 
how many tiers have you unlocked? i'm at 25
 
Anonymous
8/23/2025, 4:41:44 PM
No.536362208
[Report]
>>536362324
 
 
Anonymous
8/23/2025, 4:42:50 PM
No.536362324
[Report]
 
>>536362208
This the guy with the funny youtube thumbnails?
 
 
Anonymous
8/23/2025, 4:49:51 PM
No.536363081
[Report]
 
 
Anonymous
8/23/2025, 4:50:16 PM
No.536363127
[Report]
 
>no suppression in 2042
That's a hard pass from me dawg, I don't care what kind of reward treadmill there is
 
Anonymous
8/23/2025, 4:56:47 PM
No.536363745
[Report]
 
these are going to be some of the rarest skins ever because nobody in their right mind is grinding bf2042
 
Anonymous
8/23/2025, 4:58:04 PM
No.536363889
[Report]
 
Zavod: Graveyard Shift
 
>>536361617
BF6 related, but they're not actually things that carry over to BF6?
Unless I'm getting something neat for BF6 I don't get why people are getting this 2042 BP
 
 
Anonymous
8/23/2025, 5:07:59 PM
No.536364880
[Report]
>>536364982
 
>>536364765
It's a free BP that unlocks a few skins in BF6
 
 
Anonymous
8/23/2025, 5:09:02 PM
No.536364972
[Report]
 
>>536364765
They do carry over.
Some people think that's worth playing (and sometimes buying) 2042 for.
 
 
Anonymous
8/23/2025, 5:09:05 PM
No.536364982
[Report]
 
>>536364880
Oooooh that makes more sense. I'll grab 2042 and grind this stupid bullshit then.
 
 
>needing to unlock pretty much everything is enjoyable
>certain weapons and attachments are simply more powerful thus if you don't have them you are at a disadvantage and people are okay with this
when did modern players became so retarded?
 
Anonymous
8/23/2025, 5:10:14 PM
No.536365085
[Report]
 
how the fuck do you get more c5 in 2042
 
Anonymous
8/23/2025, 5:11:44 PM
No.536365252
[Report]
 
>>536365013
Its especially terrible in 2042 because of the live attachment switching meaning you can put on all the good shit and just swap depending on the situation. You'll end up never having any downsides.
 
 
Anonymous
8/23/2025, 5:15:34 PM
No.536365637
[Report]
>>536366652
 
>>536365013
you unlock one of the best weapons in the game at like level 20 or something
 
 
Anonymous
8/23/2025, 5:25:28 PM
No.536366620
[Report]
 
you now remember the commander leaderboard on battlelog for bf4
 
Anonymous
8/23/2025, 5:25:47 PM
No.536366652
[Report]
>>536367452
 
>>536365637
who's asking?
 
 
Anonymous
8/23/2025, 5:27:57 PM
No.536366903
[Report]
 
>>536324074
SVK two-tapped people from any distance, retard
 
 
Anonymous
8/23/2025, 5:28:59 PM
No.536367013
[Report]
 
>31 pips in one Conquest match
feelsgoodman
 
Anonymous
8/23/2025, 5:32:49 PM
No.536367452
[Report]
>>536368423
 
>>536366652
the person crying about having to grind for a weapon to compete, is 4 games really a grind?
 
 
>the F2000 doesn't have a simple red dot option
fucking DICE morons
 
Anonymous
8/23/2025, 5:40:48 PM
No.536368331
[Report]
 
>>536367630
iron sights nice doe
 
 
>>536367452
>100 hours into bf4
>still haven't unlocked majority of weapons and attachments
>""""""""""""4""""""""""""" games
fucking kill yourself then go back
 
 
Anonymous
8/23/2025, 5:42:46 PM
No.536368545
[Report]
 
>>536368423
>>100 hours into bf4
>>still haven't unlocked majority of weapons and attachments
ev&oe all you need is the AN-94 which you start with right away
 
 
>buy bf2042
>spawn
>get killed by tank
>spawn
>get killed by chopper
thanks for reminding me why I hate bf4
vehicles are playing against each others and soldiers are just watching
there are too many vehicles on the maps and a good vehicle player will just be unkillable and carry the match
now will steam approve my 3 hours refund
 
>>536367630
Isn't it supposed to have a built-in reflex sight or am I thinking of some other similar kind of gun
 
 
Anonymous
8/23/2025, 5:48:32 PM
No.536369204
[Report]
 
 
Anonymous
8/23/2025, 5:49:22 PM
No.536369287
[Report]
>>536370445
 
>>536368781
>buy bf2042
>sperg out about bf4 
 
Anonymous
8/23/2025, 5:50:45 PM
No.536369459
[Report]
 
>>536368781
>now will steam approve my 3 hours refund
lmao retard, why didn't you set up an alarm at 1h55min
 
 
Anonymous
8/23/2025, 5:51:50 PM
No.536369565
[Report]
>>536370445
 
>>536368781
just kill them
 
 
Anonymous
8/23/2025, 5:52:48 PM
No.536369652
[Report]
 
>>536368962
it does have its unique sight, it's a bit much magnification for my likes though
 
 
Anonymous
8/23/2025, 5:56:40 PM
No.536370048
[Report]
>>536378881
 
nothing to see here
 
Anonymous
8/23/2025, 6:00:14 PM
No.536370418
[Report]
 
>>536368781
NOOOOO PLS DON'T UNINSTALL YOU'RE MAKING THE LITTLEBIRD PILOTS MISS OUT ON THEIR FREE DOPAMINE THEY NEED THEIR 100 KILL GAMES FOR THEIR DOPAMINE
 
 
Anonymous
8/23/2025, 6:00:31 PM
No.536370445
[Report]
 
>>536369287
because its obvious this game tries to be like BF4 rather than BF1 and 5 which didnt have this issue
my second match had a chopper with 109 kills and 0 deaths, this is how i remember most matches on bf4
>>536369565
takes too many rockets to kill a tank
I also tried the guided rocket but this shit deals no damage
 
 
why is /bfg/ afraid of movement demons?
 
Anonymous
8/23/2025, 6:06:42 PM
No.536371101
[Report]
 
>beams you faster than riley from a distance of 100 meters with m4a1
>then switches to the spam pistol and headshots your 3 squadmates
>slowly turns around and walks away
how do you respond without sounding mad
 
Anonymous
8/23/2025, 6:07:18 PM
No.536371171
[Report]
>>536371380
 
does bf6 have respawn timers and are those timers in waves, as going in the same cycles for everyone so multiple people respawn at a time like some of the older games, or is it like 2042 where you just fucking respawn instantly nonstop because this is pure fucking ass and has ruined the game
 
can't wait to see the burst buff bros
 
Anonymous
8/23/2025, 6:08:35 PM
No.536371316
[Report]
>>536372980
 
>>536371035
people who defend this just want to play quake but with their opponents having broken legs so they can just dance around them
 
 
Anonymous
8/23/2025, 6:08:59 PM
No.536371365
[Report]
>>536372285
 
streamers are niggers
 
Anonymous
8/23/2025, 6:09:07 PM
No.536371380
[Report]
 
>>536371171
6 has respawn timers
 
 
Anonymous
8/23/2025, 6:09:23 PM
No.536371402
[Report]
>>536372285
 
>>536371314
that is the best scope in the game
 
 
Anonymous
8/23/2025, 6:12:32 PM
No.536371743
[Report]
>>536374209
 
>>536368423
you're just bad, no need to take it out on me m8
 
 
Anonymous
8/23/2025, 6:12:51 PM
No.536371783
[Report]
 
>>536371314
2042 guns have zero recoil compared to this, the fact that dice is adding even more recoil is funny i bet they wont add any to the controllers but mkb only
 
 
Anonymous
8/23/2025, 6:17:46 PM
No.536372285
[Report]
 
 
im glad the devs are listening. battlefield has always been about grounded boots on the ground, gritty realism milsim-lite gameplay.
 
Anonymous
8/23/2025, 6:20:25 PM
No.536372587
[Report]
 
Daily reminder if you're having trouble with vehicles it's because the soflam is currently bugged removing a huge vehicle counter
Plz report bug to dice and ea and twitter and stuff
 
>>536372562
yeah this is obviously the same thing as niggers tapping C while sprinting to gain an extra 40mph with a reduced profile
 
 
Anonymous
8/23/2025, 6:24:08 PM
No.536372980
[Report]
>>536373605
 
>>536371316
>their opponents having broken legs so they can just dance around them
the exact same movement options you have*
 
 
Anonymous
8/23/2025, 6:24:24 PM
No.536373008
[Report]
 
>>536372831
slidefags aren't capable of critical thinking
dropshotting is retarded shit btw
 
 
Anonymous
8/23/2025, 6:24:26 PM
No.536373014
[Report]
 
>>536372562
ive played 2042 and 6 and all this shit is just way too fast paced and chaotic, the older games would have players forming natural battle lines and marching across the map with each other just incidentally,in near perfect lines pretty frequently, and capturing and defending bases with groups of people youd happen to spawn with or run into on the way, this shit is just a bunch of spastic zoomers zooming around crouch sliding and shooting each other in the back of the head and respawning instantly and doing it again forever nonstop with absolutely zero cohesion or cooperation
this is pure brainrot adhd garbage
 
 
>>536372831
>tapping C while sprinting to gain an extra 40mph
the sprint is the slowest its ever been, and sliding doesn't make you go faster.
 
 
Anonymous
8/23/2025, 6:26:57 PM
No.536373287
[Report]
 
Bring back stamina.
 
Anonymous
8/23/2025, 6:28:04 PM
No.536373425
[Report]
>>536373968
 
>>536373169
the maps are also the smallest they've ever been and now players have access to an input device that aims for them and reduces recoil automatically. next cope please
 
 
Anonymous
8/23/2025, 6:28:28 PM
No.536373465
[Report]
>>536373681
 
>>536373169
>and sliding doesn't make you go faster.
but 99% of buttslide schmoovement troons want it to give you a speed buff?
 
 
Anonymous
8/23/2025, 6:29:40 PM
No.536373605
[Report]
>>536373681
 
 
>>536373465
>makes up a new goalpost after xer previous one was debunked instantly
>>536373605
nobody is stopping you from sliding and hopping, retard
 
 
Anonymous
8/23/2025, 6:31:11 PM
No.536373771
[Report]
>>536373968
 
 
Anonymous
8/23/2025, 6:31:39 PM
No.536373828
[Report]
>>536373968
 
>>536373681
>nobody is stopping you from sliding and hopping, retard
the entire discussion is about the fittingness of ass sliding in a game franchise that historically did not have it
 
 
Anonymous
8/23/2025, 6:32:02 PM
No.536373858
[Report]
 
Sliding and jumping should stop the slider's autoaim from working. I'd love to see how many people slide if that change ever happened
 
>>536373425
what does that have to do with your retarded cope you made up?
>>536373771
every player has the same movement option, retard
>>536373828
if this game franchise was about including what it did have, it would have jumping that has x3 the vertical mobility it has now, while giving you VASTLY more air control than it gives you now. you would get out played EVEN HARDER by schmoovers
 
 
Anonymous
8/23/2025, 6:35:17 PM
No.536374209
[Report]
 
>>536371743
is this really the quality of baits nowadays? here is your (You) i guess
 
 
Anonymous
8/23/2025, 6:35:30 PM
No.536374234
[Report]
>>536374569
 
>>536373968
you failed to read my post correctly yet you keep doubling down and replying
 
 
Anonymous
8/23/2025, 6:38:07 PM
No.536374545
[Report]
 
>>536371035
They're slow camper boomers who think peak BF gameplay is prone with a bipod
 
 
Anonymous
8/23/2025, 6:38:14 PM
No.536374558
[Report]
>>536374927
 
>>536373968
most schmoovement fags are too braindead to figure out vouzou/dolphindiving/bhopping, which is why ass sliding in 100 percent of the games it is added to is literally just pressing one button while sprinting.
 
 
Anonymous
8/23/2025, 6:38:17 PM
No.536374569
[Report]
>>536374707
 
>>536374234
TL: i made up a cope that was BTFO immediately, then tried to move goalposts
 
 
Anonymous
8/23/2025, 6:39:36 PM
No.536374707
[Report]
>>536374927
 
>>536374569
you are like a retarded child
i accept your concession
 
 
Anonymous
8/23/2025, 6:41:33 PM
No.536374927
[Report]
>>536375094
 
>>536374558
blame controller niggroids
tap strafing was nerfed because the game is a controller hellscape where pro teams use a controller monkey because it has literal aimbot at close range and you need your controller aimbot player to counter the enemy's controller aimbot players
>>536374707
>i win da argument cuz i sez it
LOL, you are trying to run away after you realized your copes get BTFO immediately
 
 
2042, the undisputed GOAT Battlefield
 
Anonymous
8/23/2025, 6:42:58 PM
No.536375094
[Report]
>>536375228
 
>>536374927
next time you reply to someone make sure to re-read the post to ensure you fully grasp what is said
 
 
Anonymous
8/23/2025, 6:43:23 PM
No.536375127
[Report]
 
>>536374958
im playing 2042 right now just because it was $3 and im sick of the same old maps from bf4
its still fucking garbage and they completely squandered all of its potential to appeal to braindead zoomers
 
 
stop playing 2042 you fucking tourists.
i cant start a portal server because the game is too busy REEEEEE
 
>controllers can aim for you
>controllers can reduce recoil for you
>controllers can lead shots for you
where do controllers go from here? they clearly need more assists than this
 
Anonymous
8/23/2025, 6:44:07 PM
No.536375228
[Report]
 
>>536375094
next time you cry about your cope being BTFO don't make it so obvious
 
 
Anonymous
8/23/2025, 6:44:47 PM
No.536375308
[Report]
 
 
Anonymous
8/23/2025, 6:44:49 PM
No.536375309
[Report]
 
Bros what the fuck why didn't you tell me about bolty only BF1 servers. This shit is fucking peak as hell. Feels way more authentic than weird not-WW1 automatics and grenade launchers...Plus it's operations so it's a ton of fun.
 
Anonymous
8/23/2025, 6:45:25 PM
No.536375381
[Report]
 
>>536375183
>controllers can control you 
 
Anonymous
8/23/2025, 6:45:28 PM
No.536375385
[Report]
 
>>536374958
>>536375137
i hope the packs are actually good cosmetics ive been grinding for 2 days im only at 14/60 of the pass it better be worth it
 
 
Anonymous
8/23/2025, 6:46:17 PM
No.536375474
[Report]
 
>>536375183
it needs a "riley mode"
imagine how fun it would be if randomly it would snap aim to players instantly for a few seconds while you hold down the trigger, like it's simulating the player "popping off", while rumbling the controller and having its lights flash for extra badassery, maybe have your favorite streamer subscriber alert sound play as well
 
 
Anonymous
8/23/2025, 6:47:52 PM
No.536375658
[Report]
>>536376014
 
>>536372562
This webm proves the opposite of the point you want to make. The other guy has to stop shooting while he jumps because BF2 didn't allow you to shoot while in the air. It's nothing like even post nerf BF6 where you can still slide around blasting people, you're just less accurate doing it.
 
 
Anonymous
8/23/2025, 6:50:49 PM
No.536376009
[Report]
>>536376405
 
>>536375496
>>536375891
holy based we got camos to grind for. i wonder what the mastery camos are
 
 
Anonymous
8/23/2025, 6:50:52 PM
No.536376014
[Report]
 
>>536375658
usually when i do tricky movement its because i want to live, you can do dolphin movement and bhop + air control while you head towards the cover while throwing medpacks for yourself in front of you in bf2 it was kino
 
 
Anonymous
8/23/2025, 6:52:01 PM
No.536376153
[Report]
>>536376317
 
I want service medals for guns again
especially if they do the bronze -> silver -> gold thing
 
Anonymous
8/23/2025, 6:53:24 PM
No.536376317
[Report]
>>536376451
 
>>536376153
you'll get what you are given bitch
 
 
Anonymous
8/23/2025, 6:54:14 PM
No.536376405
[Report]
>>536377468
 
>>536376009
as long as it isnt corny reactive animated skins...
 
 
Anonymous
8/23/2025, 6:54:22 PM
No.536376417
[Report]
>>536376521
 
>doing some retarded challenge that I don't want to do in order to unlock progression
>game auto joined me to a custom server and I didn't realize it so nothing I did counted and I have to do it ALL OVER AGAIN IM SOF UCKING PISSED REEEEEEEEEEEEEEEEEEEE
 
Anonymous
8/23/2025, 6:54:42 PM
No.536376451
[Report]
 
>>536376317
they better give me what I want, or else
 
 
>COLA UND FORTNITE YIPEEEEEEEEEEEEEEEEEEEEEEEEEEEEEEEEEEEEEEEEEEEEEEEEEE
literally every faggot playing this game has to constantly dance around like a spaz, what causes this?
>trying to shoot a rocket, spastic retard makes it impossible
>back up and some guy comes and kills me in the middle of flying through the air like a spaz
is there just zero accuracy penalties for anything? everyones constantly dancing, jumping, sliding, zooming, this is so trash
 
Anonymous
8/23/2025, 6:55:20 PM
No.536376521
[Report]
 
>>536376417
Portal servers let you complete challenges bruh
 
 
Anonymous
8/23/2025, 6:55:32 PM
No.536376540
[Report]
 
I think if you play the offline bot shit on Breakthrough, you can just cap the first flag and get 2 tokens, restart and do it again. Not quite sure how to exploit it.
 
Anonymous
8/23/2025, 6:55:53 PM
No.536376578
[Report]
 
>>536375891
gonna slap that red/grey/white on my lmg to show nerds i mean BUSINESS
 
 
Anonymous
8/23/2025, 6:56:03 PM
No.536376605
[Report]
>>536376774
 
>>536376508
unc is crashing out holy
 
 
>>536375496
>>536375891
can we please have a gold camo
please
I love gold so much
I don't care if it takes 10,000 kills
please
 
 
Anonymous
8/23/2025, 6:57:42 PM
No.536376774
[Report]
 
 
>>536376709
If they do a gold camo, it needs to look good on every gun, not that shitty "spray painted" look lots of games do. And then, they need to stop right there. No crystal camo, no animated bullshit, no blueprints with octopus legs and shit.
 
 
Anonymous
8/23/2025, 6:59:52 PM
No.536377030
[Report]
>>536377558
 
>>536375183
Weird, I tried BF6 with a controller and noticed absolutely no aim assist
 
 
Anonymous
8/23/2025, 7:00:32 PM
No.536377118
[Report]
 
>>536376918
I agree my brotha, diamond camos and animated camos are ugly as hell
 
 
Anonymous
8/23/2025, 7:01:30 PM
No.536377218
[Report]
 
>>536376918
>it needs to look good on every gun, not that shitty "spray painted" look lots of games do.
yeah, there needs to be some contrast, keep the mag, bolt, safety, barrel, pins etc black instead of 100 percent coverage
 
 
Anonymous
8/23/2025, 7:03:50 PM
No.536377452
[Report]
 
it would be funny if they gave gold camos permanent glint even when you're not aiming, just a beacon telling everyone where you are, but also that you have gold camo, so it's still a flex
 
>>536376405
i honestly wonder what its going to be thats a lot more camos than 2042 its a surprising amount and it has a slider so theres more we dont see and theres multiple headers
its going to be something nice i bet whatever the mastery is i think there will be multiple of them too gold has to be one of them
 
 
Anonymous
8/23/2025, 7:04:43 PM
No.536377556
[Report]
>>536378146
 
ayo bruhhhhhhh these skins r like MAD FIRE bruhhhh EA COOKED
 
Anonymous
8/23/2025, 7:04:45 PM
No.536377558
[Report]
 
>>536377030
its there you're just retarded
it reduces the sensitivity of the thumbsticks when an enemy is being aimed at or close to at the least
 
 
>>536377468
>pic
Ehhhhh that sucks. Invert that. Make the actual frame gold, but not the little bits and pieces.
 
 
Anonymous
8/23/2025, 7:07:17 PM
No.536377834
[Report]
 
>>536376709
2042 has gold camos but you have to do the phantom program easter eggs to get them. its more fun than grinding kills imo
 
 
Anonymous
8/23/2025, 7:07:18 PM
No.536377837
[Report]
 
>>536377620
with how the previous mastery in 2042 is i only presumed they would do the same maybe im wrong 
森林 (Forest)
沙漠 (Desert)
白雪 (Snow)
海军 (Navy)
城市 (Urban/City)
其他 (Other)
i got chat gpt to translate the headers for the camos
 
 
Anonymous
8/23/2025, 7:08:19 PM
No.536377956
[Report]
 
>>536377468
>special cammos
I like the way narcos engrave and put gold on their guns, they're the new era warlords
 
 
Anonymous
8/23/2025, 7:08:23 PM
No.536377963
[Report]
 
as long as we dont get these fugly Black Ops 4 skins it'll be good
 
Anonymous
8/23/2025, 7:09:54 PM
No.536378146
[Report]
>>536379129
 
>>536377556
so true bestie
 
 
Anonymous
8/23/2025, 7:10:37 PM
No.536378232
[Report]
 
>HHURRRRR DURRRR WHAT AM I DOING
 
Anonymous
8/23/2025, 7:11:41 PM
No.536378374
[Report]
>>536378683
 
>>536377620
That'd be the way to go, but gold AK with wood is kind of a whole mood, as the kids say. Gold/Black is still swag, though.
 
 
Anonymous
8/23/2025, 7:13:51 PM
No.536378634
[Report]
 
hope we get skins like these
 
Anonymous
8/23/2025, 7:14:21 PM
No.536378683
[Report]
>>536378908
 
>>536378374
>>536377620
they wont do it that way its literally cod's gold camo
 
 
Anonymous
8/23/2025, 7:16:05 PM
No.536378881
[Report]
 
>>536370048
is this the aim assist?? lol
 
 
Anonymous
8/23/2025, 7:16:17 PM
No.536378908
[Report]
>>536379203
 
>>536378683
I like it though
 
 
Anonymous
8/23/2025, 7:16:37 PM
No.536378942
[Report]
 
in the span of 15 seconds i got killed by a mav, a superhind doing 100 0 kd and hovercraft, maybe i will stop playing
 
Anonymous
8/23/2025, 7:17:02 PM
No.536378993
[Report]
 
 
Anonymous
8/23/2025, 7:17:20 PM
No.536379026
[Report]
 
>>536371035
because (you) didn't play tribes, billions must move slow
 
 
Anonymous
8/23/2025, 7:18:00 PM
No.536379092
[Report]
>>536379203
 
>>536377468
it will be an easter egg if it happens
battlefield isnt about k/d nigger
 
 
Anonymous
8/23/2025, 7:18:23 PM
No.536379129
[Report]
 
>>536378146
wtf is that real
 
 
Anonymous
8/23/2025, 7:19:09 PM
No.536379203
[Report]
>>536379383
 
>>536378908
so lol i like the other, neither of us will get what we want, it will probably be something completely different 
>>536379092
explain T1 then and tell your mother im ready to milk her fat ass
 
 
Anonymous
8/23/2025, 7:19:33 PM
No.536379239
[Report]
 
 
Anonymous
8/23/2025, 7:21:02 PM
No.536379383
[Report]
>>536379542
 
>>536379203
>T1 is base on kil-ACK
wont be based on kills in 6
 
 
Anonymous
8/23/2025, 7:22:31 PM
No.536379542
[Report]
>>536380092
 
>>536379383
i didnt ask that little gup what is t1 in 2042 and how do you get it
 
 
Anonymous
8/23/2025, 7:27:31 PM
No.536380092
[Report]
>>536381870
 
>>536379542
>what is t1 in 2042 and how do you get it
no idea t.b.h.
 
 
>40k xp 
>2 pips 
jesus christ do not waste your time playing this after you complete your weeklies
 
Anonymous
8/23/2025, 7:29:51 PM
No.536380339
[Report]
 
>>536380241
Played like 12 hours and im still tier 12 on the season pass. It's fucked up
 
 
Anonymous
8/23/2025, 7:30:05 PM
No.536380360
[Report]
 
This place is going to be aids
 
i legitimately feel like my brain is melting trying to play this shit
RESPAWN SHOOT SPRINT DIE RESPAWN SPRINT DIE RESPAWN DIE RESPAWN SHOOT DIE RESPAWN SPRINT DIE RESPAWN SPRINT SHOOT SPRINT DIE
its just total incoherent randomness
 
Anonymous
8/23/2025, 7:31:53 PM
No.536380563
[Report]
>>536380943
 
>>536380407
>plays the worst map in 2042
>surprised is bad 
 
Anonymous
8/23/2025, 7:35:35 PM
No.536380943
[Report]
 
>>536380563
its the same on every map
 
 
Anonymous
8/23/2025, 7:38:58 PM
No.536381350
[Report]
>>536383236
 
>>536380407
uh you just explained the BF6 beta
 
 
Anonymous
8/23/2025, 7:40:20 PM
No.536381469
[Report]
 
>>536375137
>60k people online
>run into the same username 3 matches in a row on any given popular playlist 
 
Anonymous
8/23/2025, 7:40:23 PM
No.536381474
[Report]
>>536381595
 
Reminder that if you get to tier 27 on the battle pass before completing next week's challenges, then you can get to tier 60 by only doing the weekly challenges.
55 pips a week, so 5.5 tiers a week, 6 weeks left, so 33 tiers just from challenges gets you to tier 60.
 
Anonymous
8/23/2025, 7:41:23 PM
No.536381595
[Report]
>>536381709
 
>>536381474
thats great but even getting to fucking 27 is a chore
 
 
Anonymous
8/23/2025, 7:42:25 PM
No.536381709
[Report]
>>536382582
 
>>536381595
It is, but the fastest way of doing it is the ammo box portal servers. I'm at level 25 already so I'm just gonna keep doing it.
 
 
Anonymous
8/23/2025, 7:43:49 PM
No.536381870
[Report]
 
 
Anonymous
8/23/2025, 7:45:51 PM
No.536382120
[Report]
>>536382241
 
>>536380407
imagine irl war with no respawn
 
 
Anonymous
8/23/2025, 7:46:05 PM
No.536382147
[Report]
>>536382446
 
do u get bonus niggerpass points if u win da game
 
Anonymous
8/23/2025, 7:46:58 PM
No.536382241
[Report]
>>536382331
 
>>536382120
Sounds gay desu
 
 
Anonymous
8/23/2025, 7:47:36 PM
No.536382296
[Report]
>>536382656
 
>>536380407
go help your team battledadbro
 
 
Anonymous
8/23/2025, 7:48:01 PM
No.536382331
[Report]
 
 
Anonymous
8/23/2025, 7:48:48 PM
No.536382446
[Report]
>>536386397
 
 
>>536381709
dont you get xp capped?
 
 
Anonymous
8/23/2025, 7:50:30 PM
No.536382642
[Report]
 
 
Anonymous
8/23/2025, 7:50:38 PM
No.536382656
[Report]
 
>>536382296
how, we all respawn instantly whenever and wherever we want so we're all constantly spread out unless you respawn on a squadmate who is surrounded by enemies in every direction so you die instantly before figuring out wtf is going on
 
 
>played BF4 for the first time earlier after the BF6 beta
>might as well be a different game
128 players and Hainan Resort is less crowded than Peak with 64 players, no laser beam weapons or completely spastic movements and zooming around.
5h gameplay in BF4 was much better than my 20h in both Betas. Graphics didnt age well though.
 
Anonymous
8/23/2025, 7:55:42 PM
No.536383236
[Report]
 
>>536381350
the cqc maps in bf6 beta meant you could choose to NEVER die if you really played like a pussy
 
 
Anonymous
8/23/2025, 7:56:53 PM
No.536383394
[Report]
>>536383543
 
>>536382582
You get capped per minute or per few minutes or something, not per game. Throw like 5-10 ammo boxes, cap out the xp, wait for it to reset, throw more ammo boxes, repeat until the game ends.
 
 
Anonymous
8/23/2025, 7:58:11 PM
No.536383543
[Report]
>>536383897
 
>>536383394
how many pips you getting per game? i'm doing the aids heli lobby and repairing in the back
 
 
Anonymous
8/23/2025, 8:01:11 PM
No.536383897
[Report]
 
>>536383543
It feels like it varies a lot, sometimes I get 5, sometimes 10. Obviously it's harder the further into the pass you are. I quit the helicopter thing because it was hard and annoying to get into a heli with a good or willing pilot. Almost no one wants to fly. Ammo box servers are more consistent I think.
 
 
Anonymous
8/23/2025, 8:05:13 PM
No.536384314
[Report]
>>536385949
 
>>536382878
I just wish BF4 had actually good maps, idk why they had artists design the levels
 
 
Anonymous
8/23/2025, 8:05:32 PM
No.536384351
[Report]
>>536384640
 
>>536380241
yeah i'm just going into breakthrough portal servers and farming with TUGS placements. end game it comes up with 20 pips but it just doesn't count them
scam
 
 
Anonymous
8/23/2025, 8:07:59 PM
No.536384640
[Report]
>>536385416
 
>>536384351
It's not scamming you out of xp, it's lagging. Sometimes it shows you how many you got for the last 2 or 3 games at once, so you didn't actually get 20, you got 20 total for your last few games. Also, sometimes if you close and restart the game it'll show you the correct amount you have.
 
 
Anonymous
8/23/2025, 8:10:33 PM
No.536384930
[Report]
 
>>536382582
You do but you just keep playing and you begin to get more xp again
 
 
Anonymous
8/23/2025, 8:14:54 PM
No.536385416
[Report]
 
>>536384640
wtf
no wonder this game fucking sucks
 
 
Anonymous
8/23/2025, 8:19:33 PM
No.536385949
[Report]
 
>>536384314
because BF4 was rushed out just to justify capitalizing on BF3's success. And then to make it seem different they designed it around the forced "levolution" gimmick
 
 
Anonymous
8/23/2025, 8:23:02 PM
No.536386361
[Report]
 
 
Anonymous
8/23/2025, 8:23:20 PM
No.536386397
[Report]
 
>>536382446
youre lying you lil neeger
 
 
Anonymous
8/23/2025, 8:30:44 PM
No.536387297
[Report]
 
>>536382878
BF4 only goes up to 64 players. You're playing with 64 players, not 128. Resort is also pretty pie-shaped, and smaller than Peak end-to-end, so you get more points to rotate through. If you want the Peak experience, go to Zavod 311. The center two points are always a clusterfuck, and the far points are almost always empty, sans a squad sometimes trying to back-cap. But unlike Zavod, where the center points play pretty much identical to each other, D and C on peak play very distinctly from one another. 
I genuinely think a lot of people have forgotten just how much of a cluster BF4 could turn into. Remember the elevator camping on the Resort roof? The bloodbaths on top of the Shanghai tower? A lot of that panned out to be more fun today because they spent a bunch of time balancing and fixing the game, and there were a lot of idiot players that just got bored and left. BF6's weekend wasn't just the oldhat Battlefield players who play BF4 now, it was everyone: CoD kiddies, engagement farmers, streamers looking for content, niche shooter gamers, dudes who have never played a modern BF game other than 2042, and so on. A lot of the clusterfucking in the beta was because the players sucked, chasing engagements in the most populated points and ignoring every other point getting capped under their nose. Once the playerbase figures out teamplay, things will naturally get better as long as the game itself isn't busted like 2042 was, and so far, it doesn't seem like it is.
 
 
Anonymous
8/23/2025, 8:46:09 PM
No.536389215
[Report]
 
>>536294423
this is incredibly important for gameplay. thanks for this! grow the fuck up
 
 
Anonymous
8/23/2025, 9:26:39 PM
No.536394239
[Report]
 
gotta say. i fucking hate 2042